调制种类和各种调制原理
将传输的信息加载于激光辐射的过程称为激光调制。光调制指的是使光信号的一个或几个特征参量按被传送信息的特征变化,以实现信息检测传送目的的方法。光调制可分为强度调制、相位调制、偏振调制、频率和波长调制。下面将分别介绍各种调制的原理和方法。
光强度调制
光强度调制是以光的强度作为调制对象,利用外界因素使待测的直流或缓慢变化的光信号转换成以某一较快频率变化的光信号,这样,就可采用交流选频放大器放大,然后把待测的量连续测量出来。
光相位调制
利用外界因素改变光波的相位,通过检测相位变化来测量物理量的原理称为光相位调制。光波的相位由光传播的物理长度、传播介质的折射率及其分布等参数决定,也就是说改变上述参量即可产生光波相位的变化,实现相位调制。
光偏振调制
利用偏振光振动面旋转,实现光调制最简单的方法是用两块偏振器相对转动,按马吕斯定理,输出光强为 I=I0cos2α,式中I0为两偏振器主平面一致时所通过的光强;α为两偏振器主平面间的夹角。
频率和波长调制
利用外界因素改变光的频率或光的波长,通过检测光的频率或光的波长的变化来测量外界的物理量的原理,称为光的频率和波长调制。
电光调制
利用电光效应实现的调制叫电光调制。电光调制的物理基础是电光效应,即是某些晶体在外加电场的作用下,其折射率将发生变化,当光波通过此介质时,其传输特性就受到影响而改变。调制晶体是电光调制器的核心部件,它按一定的方向加工成圆柱体或长方形体状。
电光调制器利用电光效应工作的光调制器,将信息加载于激光的过程称之为调制,完成这一过程的装置称为调制器,其中激光称为载波;起控制作用的低频信息称为调制信号,电光调制属于外调制,即在激光器外的光路中进行调制。目前光通讯领域所用的电光调制器大多是铌酸锂材料做得光波导强度调制器。
电光调制的分类
电光调制按其调制的性质可以分为调幅、调频、调相及强度调制等。
• 振幅调制:就是使载波的振幅随着调制信号的规律而变化的震荡,简称调幅;
• 调频和调相:频率调制和相位调制,就是光载波的频率或者相位随着调制信号的变化规律而改变的震荡,因为这两种调制波都表现为总相角ψ(τ)的变化,因此统称为角度调制。
• 强度调制:就是光载波的强度(光强)随调制信号规律而变化的激光震荡。

激光调制通常多采用强度调制形式,这是因为接收器(探测器)一般都是直接的响应其所接收的光强度变化的缘故。
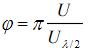
图1是典型的电光强度调制器示意图,电光晶体(例如KDP晶体)放在一对正交偏振器之间,对晶体实行纵向运用,则加电场后的晶体感应主轴x1′、x2′方向,相对晶轴x1、x2方向旋转45°,并与起偏器的偏振轴P1成45°夹角。

图1纵向电光强度调制器示意图(电光晶体KDP)
通过计算得到检偏器输出的光强I与通过起偏器输入的光强I0之比为

当光路中未插入1/4波片时,上式的j即是电光晶体的电光延迟。且

所以
称
为光强透过率(%), 它随外加电压的变化如图2所示 I0

图2光强透过率随外加电压变化图
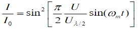
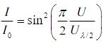
如果外加电压是正弦信号

则透过率为

该式说明,一般的输出调制信号不是正弦信号,它们发生了畸变,如图2中曲线 3所示。如果在光路中插入1/4波片,则光通过调制器后的总相位差是(π/2+φ),因此有
é
2
工作点由O移到A点。在弱信号调制时,
,上式可近似表示为

可见,当插入1/4波片后,一个小的正弦调制电压将引起透射光强在50%透射点附近作正弦变化,如图2中的曲线4所示。 从而实现了输出调制信号相对于输入信号的线性响应。
声光调制
声光调制的物理基础是声光效应,声光效应是指光波在介质中传播时,被超生波场衍射或散射的现象。介质的折射率周期变化形成折射率光栅时,光波在介质中传播就会发生衍射现象,衍射光的强度、频率和方向等将随着超生场的变化而变化。声光调制是利用声光效应将信息加载于光频载波上的一种物理过程,调制信号是以电信号(调幅)形式作用于电-声换能器上,将相应的电信号转化成超声场,当光波通过声光介质时,由于声光作用,使光载波受到调制而成为“携带”信息的强度调制波。声光调制器是由声光介质,电-声换能器,吸声(或反射)装置及驱动电源等组成。

超声波是一种弹性波,当它通过介质时,介质中的各点将出现随时间和空间周期性变化的弹性应变。由于弹光效应,介质中各点的折射率也会产生相应的疏密周期性变化。这样声光介质在超声波的作用下,就变成了一个等效的相位光栅,当光通过有超声波作用的介质时,相位就要受到调制,其结果如同它通过一个衍射光栅,光栅间距等于声波波长,光束通过这个光栅时就要产生衍射,这就是声光效应。衍射光的强度、频率和方向将随超声波而变化。声光调制器就是利用这一原理而实现光束调制或偏转的。
声波在介质中传播分为行波和驻波两种形式,行波所形成的声光栅其栅面是在空间移动的。介质折射率的增大和减小是交替变化的,并且以超声波的速度向前推进。介质中折射率的变化如图3所示,在声光介质中,两列相向而行的超声波(其波长、相位和振幅均相同)产生叠加,在空间将形成超声驻波。声驻波形成的声光栅在空间是固定的。声波在一个周期T内,介质将两次出现疏密层,且在波节处密度保持不变,因而折射率每隔半个周期(T/2)在波腹处变化一次,即由极大值变为极小值,或由极小值变为极大值,在两次变化的某一瞬间介质各部分折射率相同,相当于一个不受超声场作用的均匀介质。

图3介质中折射率随超声波的变化图
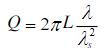
按照超声波频率的高低和介质中声光相互作用长度的不同,由声光效应产生的衍射有两种常用的极端情况:拉曼—奈斯(Raman-Nath)衍射和布拉格衍射。衡量这两类衍射的参量是

式中,L是声光相互作用长度;λ是通过声光介质的光波长; λs是超声波长。当Q≤0.3时,为拉曼—奈斯衍射。当Q≥4π时,为布拉格衍射。而在0.3<Q<4π的中间区内,衍射现象较为复杂,通常的声光器件均不工作在这个范围内。
1.拉曼-奈斯衍射
在超声波频率较低,且声光介质的厚度L又比较小的情况下,当激光垂直于超声场的传播方向入射到声光介质中时,将产生明显的拉曼-奈斯声光衍射现象,如图4所示。在这种情况下,超声光栅类似于平面光栅,当光通过时,将产生多级衍射,而且各级衍射的极大值对称分布在零级条纹的两侧,其强度依次递减。

图4拉曼-奈斯衍射图
假设频率为Ω的超声波是沿x1方向传播的平面纵波,波矢为Ks,则如图4所示,在介质中将引起正弦形式的弹性应变 相应地将引起折射率椭球的变化,声光介质在超声波作用下,折射率沿x1方向出现了正弦形式的增量,因而声光介质沿x1方向的折射率分布为

如果光通过这种折射率发生了变化的介质, 就会产生衍射。 根据理论分析,各级衍射光的衍射角θ满足如下关系:

相应于第m级衍射的极值光强为
式中,Ii是入射光强,
V=2Π(∆n)Mλ表示光通过声光介质后, 由于折射率变化引起的附加相移,Jm(V)
是第m阶贝塞尔函数, 由于
所以,在零级透射光两边,同级衍射光强相等,这种各级衍射光强的对称分布是拉曼-奈斯型衍射的主要特征之一。相应各级衍射光的频率为ω+mΩ,即衍射光相对入射光有一个多普勒频移。 超声驻波的情况
在光电子技术的实际应用中,声光介质中的超声波可能是一个声驻波,在这种情况下,介质中沿x1方向的折射率分布为 n(x1,t)=n0+(Δn)MsinΩtsin Ksx1 光通过这种声光介质时,其衍射极大的方位角θ仍满足
λssinθ=mλ m=0, ±1, …
各级衍射光强将随时间变化,正比于J2m(VsinΩt),以2Ω的频率被调制。这一点是容易理解的:因为声驻波使得声光介质内各点折射率增量在半个声波周期内均要同步地由“+”变到“-”, 或由“-”变到“+”一次, 故在其越过零点的一瞬间, 各点的折射率增量均为零,此时各点的折射率相等, 介质变为无声场作用情况, 相应的非零级衍射光强必为零。此外,理论分析指出,在声驻波的情况下,零级和偶数级衍射光束中, 同时有频率为ω,ω±2Ω,ω±4Ω,… 的频率成分;在奇数级衍射光束中,则同时有频率为ω±Ω,ω±3Ω,… 的频率成分。
2 .布拉格衍射
在实际应用的声光器件中,经常采用布拉格衍射方式工作。 布拉格衍射是在超声波频率较高,声光作用区较长,光线与超声波波面有一定角度斜入射时发生的。 这种衍射工作方式的显著特点是衍射光强分布不对称,而且只有零级和+1或-1级衍射光,如果恰当地选择参量,并且超声功率足够强,可以使入射光的能量几乎全部转移到零级或1级衍射极值方向上。 因此, 利用这种衍射方式制作的声光器件,工作效率很高。

图5布拉格衍射图
布拉格衍射光强
由光的电磁理论可以证明,对于频率为ω的入射光, 其布拉格衍射的±1级衍射光的频率为ω±Ω, 相应的零级和1级衍射光强分别为
ø
式中,V是光通过声光介质后,由折射率变化引起的附加相移。 可见,当V/2=π/2I0=0,I1=Ii。这表明,通过适当地控制入射超声功率可以将入射光功率全部转变为1级衍射光功率。根据这一突出特点,可以制作出转换效率很高的声光器件。
电光调制器EOM种类
电光调制器有很多种,根据不同的标准可以分成不同的类别:
• 根据电极结构不同,EOM可以分为集总参数调制器和行波调制器;
• 根据波导结构不同,EOM可以分为Mach-Zehnder干涉式强度调制器和定向耦合式强度调制器;
• 根据通光方向与电场方向的关系,EOM可以分为纵向调制器和横向调制器。纵向电光调制器具有结构简单、工作稳定(与偏振无关),不存在自然双折射的影响等优点,其缺点是半波电压太高,特别在调制频率较高时,功率损耗比较大;KDP晶体横向电光调制的主要缺点是存在自然双折射引起的相位延迟,可采用“组合调制器”的结构予以补偿。

LN电光波导相位调制器结构示意图

M-Z干涉仪波导调制器结构示意图

定向耦合式强度调制器结构示意图
声光与电光技术的应用
一、声光技术的应用
1 、声光技术在信号处理中的应用
随着微电子技术的发展,要求信号处理系统具有实时并行处理的能力。数字信号处理技术虽然发展迅速,但在实现并行处理方面也受到一定的局限性。而唯有光学系统具有高度的并行处理能力和特有的宽带性能。因此本质上就具有并行处理能力的光学和具有高效率换能器的结合——声光器件就显示出了巨大的优势,声光器件能够在高密度的信号环境中实现多通道瞬时并行快速处理,并越来越多地应用的军事领域,如敌方信号的无源拦截与分析,雷达信号处理,扩频通信和数据传输等领域。
声光信号在信号处理中的应用分为两大类,即在频域和时域中的应用。声光信号处理在频域领域通过频谱分析和傅立叶变换来实现。在时域里通过信号的卷积和相关来实现。
2 、声光技术在光计算领域的应用
早在上一世纪60年代,人们就开展了光计算的探索研究。由于受到科学技术发展水平的制约,在研究光计算元器件方面并没有明显的进展。随着模拟声光信号处理的成功,以及声光器件本身的并行处理能力,同时还具有大的时间带宽积等特点,因此利用声光器件就有可能实现对信号的并行快速处理能力。因此适合用于各种声光代数处理器,以及各种新型声光逻辑元件。
由于声光布拉格衍射光的强度为输入光强度与衍射效率之积,因此可以利用声光器件实现乘法运算。把其中的一个乘数的电信号加入到声光压电换能器上,于是在声光介质中就会产生一个可动的声学衍射光栅,其衍射效率正比于驱动信号强度,而代表另一乘数的电信号则用来调制光源,则光源输出光强度正比于该乘数。当光束按布拉格角入射到声光池时,就与声光发生互作用,产生衍射光。此衍射光的强度正比于入射光强度与衍射效率之积,因此它代表了了个乘数之积。若采用多路声光器件和多路激光输入,则可同时完成多路乘法,因此,利用声光布拉格池作为信号处理器,在本质上具有并行处理和流水线的特点,具有高速并行处理能力。其缺点是输出的可分辨点数受到声光布拉格池的时间带宽积的限制。
利用声光布拉格池可以实现矩阵-矢量乘法,矩阵-矩阵乘法,三重矩阵积,求矩阵本征值等基本代数运算。可以用来求解线性方程组和微分方程等。人们已经提出了各种不同的代数处理器,如:
• 单换能器声光矩阵乘法器
• 多换能器声光矩阵乘法器。
• 数字声光精密矩阵乘法器。
• 系数声光乘法器
• 用于求解线性代数方程组的并行声光脉动处理器
• 用于求解三角线性代数方程组的并行声光脉动处理器。
3 、声光技术在军事领域的应用
声光器件在军事上也有广泛应用,利用声光技术制作的雷达波谱分析器,可以使外来的雷达信号与本机内半导体激光器产生的振荡信号经混频,放大后,驱动声光调制器,产生超声波,当外来信号变化时,超声波长也变化,衍射光的角度也变化,反映在二极管列阵上,从而识别敌方雷达信号。同时,各种新型结构的声光器件,如时间积分以及混合时间、空间、频率多路复用的声光相关器的出现,大大拓展了声光相关器的能力及灵活性。
4 、声光技术在其他领域的应用
随着激光技术、光通信技术、光学传感等利用激光技术进行测量技术的飞速发展,声光器件在上述领域的应用越来越广泛。
声光器件在激光领域的应用主要是利用声光作用对激光束的调制和偏转控制来实现激光束的快扫描。声光器件具有无机械振动,高速和寿命长的特点,缺点是没有电光器件调制速度快。但声光器件具有温度稳定性高,消光比大等优点。因此声光器件广泛应用于激光记录,测量和显示等领域。如激光大屏幕显示,激光传真,激光打印等,此外在激光技术中还利用声光器件调Q,锁模作用来实现激光的调Q及锁模,以获得高功率的超短脉冲。
在光通讯和光纤传感技术中,主要利用声光器件的移频作用实现相干光通讯和干涉性光纤传感,是光线陀螺等高灵敏度,高精度光纤传感器中的关键器件。其突出的优点是把声光互作用和光纤相结合,做成光纤声光器件。
近年来,声光器件以其性能优越、品种繁多,逐步形成是具有突出特点的新型光电子器件。其中,声光调制器、Q开关、锁模器、移频器、偏转器、可调滤光器、超声流量计等在不同领域得到快速发展和广泛应用。其中根据报道,利用声光技术的新型激光精密照排机,使照排速度更快,照排精度更高,操作功能更强,在印刷排版业有良好的应用前景。
二、电光技术的应用
利用电光效应对光束进行调制的过程称为电光调制,电光调制技术的在二十世纪六十年代,人们已经利用电光效应进行光束调制和偏转,现以在光扫描、光存储、光显示等领域中有广泛的应用。
1 、电光调制在光通信中的应用
通信系统是将用户的信息(例如语言、图像和数据等) 利用电光调制到载送信息的载波上,然后经传播介质将载有信息的载波传送到接收方,接收方再用解调的手段,从载有信息的载波中将接收方所需的用户信息取出。光通信是以光作为载波,以大气或光纤作为传输介质,通过调制使用户信息加载于光波上,接收方由光接收器鉴别并还原成原来的信息。同声光调制一样,电光调制属于外调制。
激光器发射出去的光束是一种不载有任何信息的连续光波,这种光波经过电光调制器,可以使一个随时间变化的电信号转换成光信号,经大气或光纤传至光接收机。由于外调制方法不需要使用半导体器件组成的驱动电路,其调制速率不受器件工作速率的限制,因此,调制速率比内调制的调制速率要高出一个数量级,对光源的影响也小。而且采用外调制方法有利于使用集成光路技术制造集成光发射机,在未来的高速率、大容量的光纤通信中具有广阔的发展前景。
电光调制方法的优点
在于:时间响应快,反应灵敏,可做高速电光开关;除光源和电源外,其它部分可集中装在一个小盒里,尺寸较小。但工作电压过大,对器件性能参数要求较高,在一定程度上限制了它的应用范围。
2 、电光调制在激光调Q中的应用
激光调Q是将激光能量压缩到宽度极窄的脉冲中发射,从而使光源的峰值功率可提高几个量级。这种强的相干辐射光与物质相互作用,会产生一系列具有重大意义的新现象和新技术,是进行科学研究以及激光测距、激光雷达、高速全息照相等应用技术的重要光源。
利用晶体的电光效应,可以做成电光Q开关调制器,其工作过程为:YAG晶体在氙灯的光泵下发射自然光,通过偏振器后,变成沿X方向的线偏振光,若电光晶体上未加调制电压,光沿轴线方向(光轴) 通过晶体,其偏振状态不发生变化,经全反射镜反射后,再次通过调制晶体和偏振器。电光Q开关处于“打开”状态。如果在调制晶体上施加π/4电压,由于电光效应,沿X方向的线偏振光通过调制晶体后,两分量之间便产生π/2的相位差,经全反射镜反射再次通过调制晶体,又会产生π/2的相位差,往返一次共产生π相位差,合成后得到沿Y方向的线偏振光,无法通过偏振器,电光Q关处于“关闭”状态。因此,如果在氙灯刚开始点燃时,事先在调制晶体上加上λ/ 4 电压,使谐振腔处于“关闭”的低Q值状态,阻断激光振荡的形成。等到激光上能级反转的粒子数累积到最大值时,突然撤掉晶体上的λ/4电压,使激光器瞬间处于高Q值状态,产生雪崩式的激光振荡,就获得峰值功率极高的巨脉冲激光输出。电光调Q具有开关时间短(约10-9s),效率高,调Q时刻可以精确控制,输出脉冲宽度窄(10~20 ns) ,峰值功率高(几十MW以上)等优点,是目前应用较广的一种调Q技术。
3 、电光调制在激光测距中的应用
常用的激光测距可分为连续波激光测距和脉冲激光测距两种。He-Ne激光器发出的连续光,经过电光调制器,其光强度受到调制,它的两个峰值之间的间隔,正好是电振荡的半个波长。调制光射向设置有反射镜的目标,反射回来的光被专门的接收器所接收,测出在此路程中有多少个半波长及其余数,即可得出目标的距离。脉冲激光测距则是利用经过电光调Q的激光器对目标发射一个或一系列很窄的光脉冲,测量光脉冲到达目标再由目标返回接收机的时间,由此计算出目标的距离。连续波激光测距发射功率低,测距大多数用于合作目标。脉冲激光测距发射功率高,测距能力强,精度高,目前*用军**的大部分都是脉冲激光测距仪。主要用于地形测量、战场前沿测距,坦克及火炮的测距,测量云层、飞机、导弹以及人造卫星的高度等。