| 作者:臧雨宸 林伟军 苏 畅
(1 中国科学院声学研究所)
(2 中国科学院大学)
本文选自《物理》2021年第11期

摘要 声波是在弹性介质中传播的经典机械波。当声波在物体表面发生反射、折射、散射等效应时,会与物体产生动量与能量的交换。这种交换在宏观上表现为声波对物体施加力的作用,称为声辐射力,瑞利和朗之万两位科学家正是声辐射力的最早发现者。经过一百多年的探索,声辐射力的基本理论和研究方法已经得到极大的丰富和发展,成为声学的前沿与热点问题。与此同时,在生物医学、材料科学、纳米科学等领域,基于声辐射力的无损精准操控技术正受到越来越多的关注,展现出巨大的应用前景。
关键词 声辐射力,声悬浮,声操控,声辐射力弹性成像,声辐射力天平
1 什么是声辐射力
19世纪中叶,电磁学的集大成者麦克斯韦在完善电磁场理论后预言:光是一种电磁波,当光入射到物体表面时,会对物体施加压力,称为 光压 。1901年,俄国物理学家列别捷夫首次用实验测得了光压的存在,有力地证明了电磁场的物质性。在此基础上,科学家们利用光压理论成功解释了彗星出现彗尾的现象。和电磁波不同, 声波是在弹性介质中传播的经典机械波 ,反映了由于声源振动而引起的弹性介质周期性的膨胀与压缩。与其他波动一样,声波也能携带动量与能量。当声波在传播过程中遇到障碍物时,会在物体表面产生反射、折射、散射等物理效应,并与物体发生动量与能量的交换,这种交换在宏观上表现为声波对物体的力的作用,称为 声辐射力 。
根据声场的动量守恒定律可以推导得到声辐射力的一般表达式为

其中,d = d,为物体表面的法向单位矢量,为物体表面,<>称为平均声辐射应力张量,其具体表达式为

其中,和分别表示声压和质点速度,表示二阶单位张量,和分别是流体的密度与纵波声速,< >表示对物理量求时间平均。正因为声辐射力是一个时间平均量,故而又被称为稳态声辐射力。
从(2)式不难看出,声辐射力由两部分组成。其一是声场平方项的贡献,对应着(2)式的第一项。在线性声学的范围内,声压在一个周期内正负值恰好完全相抵。然而我们知道,描述声波的三个基本方程——运动方程、连续性方程和介质的本构方程都是非线性的,如果将这些非线性项考虑进来,声压的正负分量便不会完全抵消,在时间平均后会出现不为零的“直流”分量。图1形象地显示了随着传播距离的增加,空气中声压级为140 dB、频率为1000 Hz的声波产生的非线性波形畸变,从上至下分别对应着马赫数(质点振速与声速之比)为0.002、0.003和0.004的情况。从图中可以看出,随着马赫数的增加,声波的间断距离明显减小,即非线性畸变更加显著。其二是流体动量流的贡献,对应着(2)式的第二项,这一项与声场的非线性无关。值得一提的是,电磁场是由严格线性的麦克斯韦方程组描述,其辐射力仅仅源于电磁场动量流的存在,与非线性无关。从这点来看,声辐射力的产生机理要更加复杂一些。

图1 空气中声压级为 140 dB、频率为 1000 Hz 的声波随着传播距离的增加发生了非线性畸变
声辐射力是声场的二阶量,因而一般情况下产生的声辐射力很小。例如对130dB(相当于火箭发射点附近的声强)的声波,其产生的声辐射压还不到0.1Pa,但当声压级增加到174 dB时,声辐射压可以达到1000 Pa。由此看来,声辐射力主要在高声强作用下较为显著。
2 声辐射力的研究脉络与方法
早在20世纪初,声学界的两位集大成者瑞利和朗之万就分别提出了声辐射力的概念。瑞利对声辐射力的描述可以总结为:在平面波传播的情况下,随流体质点一起运动的表面上受到一个不为零的平均压力;假设该流体具有相同的平均密度但处于静止状态,后者也将承受一个平均压力,前者与后者之差定义为 瑞利声辐射力 。可以看出,瑞利声辐射力是针对无限大流体介质中的一维平面行波而言的,实际状态下,这样的条件过于苛刻,很难得到满足。但从线性声学的角度出发,在一个理想刚性壁的管中,如果管子的直径小于四分之一波长,则其中只有平面波传播,从而为瑞利声辐射力提供了一个可以实现的物理图像。后来,朗之万取消了这一限制,重新定义了可以适用于有限宽波束的声辐射力:声场中随流体质点一起运动的物体表面上受到的时间平均力与该物体后面未被扰动流体中的压力之差称为朗之万声辐射力。
然而不可否认的是,上述两位科学家提出的声辐射力理论都比较抽象,与实际的声操控还相去甚远。1934年,加拿大物理学家King首次利用严格的散射理论计算了理想流体中刚性球受到的声辐射力,为之后的声辐射力研究打下了重要的理论基础。后来,日本科学家Awatani、Yoisoka、Hasegawa等人用同样的方法研究了弹性球、弹性柱等常见模型在行波和驻波场中的声辐射力,给出了若干富有价值的理论结果。进入20世纪90年代,随着超声换能器技术的不断发展,使用各种新型声波进行微粒的声操控与声捕获已经成为可能。于是,以 高斯波束 为代表的聚焦超声下的粒子声辐射力成为一时的研究热点。1990年,佛蒙特大学的吴君汝教授计算得到了聚焦波束作用下球形和柱形粒子的声辐射力,并进行了实验验证。21世纪以来,Marston、Mitri等人将声辐射力的研究拓展到 贝塞尔波束 领域,以期充分利用贝塞尔波束的非衍射特性。其中,负向声辐射力的发现尤为值得关注,它从理论上论证了利用单声束制成的声镊子进行粒子捕获的可能。随后,Silva等人将声辐射力的计算推广到任意波束。近年来,随着声操控技术的不断发展,复杂模型和复杂边界下的声辐射力研究成为了新的热点,本文作者所在团队在此方面也有一些进展。
综合来看, 目前声辐射力的研究方法大致可以分为散射法和数值法 。其中,散射法基于严格的波动理论,可以得到有利于参数化分析的解析解,但当模型较为复杂时计算比较繁复,因此散射法主要用于高斯声束、贝塞尔声束等作用下圆柱、球等规则物体的声辐射力计算。利用散射法可以计算得到平面行波场对刚性球的声辐射力随无量纲频率的变化关系,是声波的波数,刚性球的半径,结果表明,刚性球的声辐射力随着的增加先增大而后趋于稳定。当声场比较复杂、物体形状不规则时,利用散射法推导声辐射力的解析解往往是很困难的,此时可以考虑借助纯数值的方法来计算,如有限差分法、有限元方法、边界元方法等,其中应用最广泛的是有限差分法。该方法直接从声波的三个基本方程出发,不需要任何形式的导出方程,对所研究对象的形状和尺寸没有任何限制,但计算所消耗的资源较大。2010年,中国科学院深圳先进技术研究院蔡飞燕等人利用有限差分法计算了弹性柱的声辐射力特性,其结果与解析解符合得很好。2015年,陕西师范大学孙秀娜等人运用该方法分析了离轴情况下刚性球的声辐射力,结果表明刚性球在高斯声场中的声辐射力随着粒子离轴距离的增大而减小。
此外,在高频和低频情况下,还可以分别利用声线法和梯度法进行简化处理。高频条件下,物体的尺寸远大于声波波长,此时声波的波动性可以忽略,只需考虑其粒子性即可。因此,我们可以利用声线的疏密来表征声能量的强弱,从而用射线理论来计算此时的声辐射力。2005年,Lee等人最早利用声线理论研究了流体介质中任意位置粒子的声辐射力特性,从理论上证实了声捕获的可能。低频条件下,物体的尺寸远小于声波波长,此时物体对声场的影响可以忽略,可以认为声能密度在空间是连续分布的,因而声辐射力可以近似表示为某种势函数的空间梯度,如同电场力可以表示为电势能的空间梯度一样。前苏联科学家Gor′kov最早计算得到了低频情况下声辐射力所对应的时间平均势函数,从而大大简化了声辐射力的运算。
3 对抗重力的声悬浮
从古至今,人们一直渴望能够摆脱地面重力的束缚,像小鸟一样在空中自由翱翔。明代的万户是世界上第一个想到借助火箭推力升空并付诸实践的人,但却为此付出了生命的代价。近代的工业革命促进了热气球、飞机等飞行器的相继问世,无疑让人们实现了亘古的飞天梦想。然而,人们与重力的对抗才刚刚揭开序幕。1901年,英国科幻小说家赫伯特·乔治·威尔斯在《月球上最早的人类》一书中最早提出了反重力装置的概念,他设想有一种能够屏蔽引力的金属叫“卡弗质”,只要把它放在飞船下面,就可以屏蔽地球引力。他制造了一艘游艇,在下面屏蔽了地球引力,上面向月球打开引力,游艇就把他送上了月球。遗憾的是,迄今为止这种梦幻式的宇宙航行还没有实现,人们还是在地球上费尽九牛二虎之力设法对抗地球引力,通过加大能源的消耗来实现“反重力”,让自己飞向茫茫太空。
“卡弗质”的出现也许还在很遥远的未来,但 摆脱重力的悬浮技术 已经变成触手可及的现实。在航天工业和材料科学等领域,无容器环境对研究凝聚态物理是非常重要的实验条件。目前地面上模拟空间无容器环境的方法主要有自由落体方法和悬浮方法。与自由落体方法相比,悬浮方法可以获得持续的微重力和无容器状态,因而应用更加广泛。 常见的悬浮方法主要有气动悬浮、电磁悬浮和 声悬浮 。 气动悬浮的悬浮力来源于气体掠过表面时的动量减少,其稳定性较差。电磁悬浮的稳定性很好,但只适用于导电体与磁体。而声悬浮技术对材料的物理限制较少,且较为稳定。

图2 声波使Kundt管中的尘埃微粒有序悬浮跳动
有趣的是,历史上的声悬浮完全诞生于一次意外的偶然。1866年,年仅27岁的德国物理学家Kundt在进行固体和气体的声速测量实验时意外发现:谐振管中的声波能够让尘埃颗粒有序地悬浮和舞动,这些灰尘微粒有序的悬浮跳动正是声悬浮。图2是Kundt当时所用谐振管的示意图,管内两列振幅相同、传播方向相反的行波叠加形成驻波场,波节处声压为零,微粒始终保持静止,其余位置处的微粒将来回跳动,其中波腹处的声压最强,微粒跳动最剧烈。Kundt也因此成为发现声悬浮现象的第一人,但当时人们并不十分清楚这一现象的产生机理。直到1934年King给出理想流体中刚性球声辐射力的计算结果,揭示了声悬浮来源于高声强作用下的非线性现象。1964年,美国明尼苏达州立大学的Hanson等人基于King的理论制造了第一台用于研究单个液滴动力学行为的声悬浮器。1975年,美国科学家Whymark利用声悬浮实验研究了铝、玻璃等聚合物在无容器条件下的熔化和凝固过程。1992年,科学家在航天飞机上利用超声驻波场产生辐射压力使材料浮起不接触容器壁溶解,合成了用于制造非可视域低损耗光纤的高纯度玻璃材料。经历了一个多世纪的发展,声悬浮从一项偶然的发现逐渐发展成为了一种成熟的技术手段,为各种材料的无容器处理和液滴动力学等领域的研究开拓了广阔的新天地。

图3 小球稳定悬浮在驻波场的波节下方
声悬浮技术中最关键的两点是悬浮位置和悬浮能力 ,我们以最简单也是最常见的单轴式声悬浮系统为例作一简单说明。在稳定的一维驻波场中,声压的波节位置对应着时间平均势函数的极小值点,也是声辐射力取零值的位置。当不考虑微小粒子的重力时,粒子将稳定悬浮于驻波场的波节处。在考虑粒子重力的情况下,必须借助一定的声辐射力来克服自身的重力,此时的稳定平衡位置将会稍稍偏离驻波场的波节,如图3所示。有必要指出,声辐射力是一个瞬时变化的物理量,这里的声辐射力取零是时间平均的效果。由于声波一个周期的时长很短,我们肉眼根本观察不到小球瞬时的快速振动,而只能看到其运动的平均效应,从而认为其在声场中保持稳定的平衡。悬浮*力主能**要体现为该系统可以悬浮物体的最大密度。为了提升悬浮能力,往往需要增加发射换能器的声压振幅,并对发射端和反射端进行相应的优化设计。此外,当谐振模式较低,声压波节较少时,悬浮能力也会得到一定的增强。2002年,西北工业大学解文军等人成功实现了对地面上密度最大的固体铱和密度最大的液体汞的稳定声悬浮(图4),从而证明了原则上可以对地面上的任意物质进行声悬浮。该课题组还利用声悬浮装置进行了液滴物性参数的非接触反演测量研究,包括密度、粘性系数、表面张力和比热等,并对悬浮液滴的动力学行为进行了理论计算与实验观测。

图4 地面上密度最大的固体铱(a)和密度最大的液体汞(b)的声悬浮
4 声镊子和声马达
4.1 声镊子
日常生活中,我们经常会用镊子来抓取那些肉眼可见但用手却抓不住的小物体,但对于细胞、分子等微小粒子的操控,普通的镊子就无能为力了。20世纪70年代,美国科学家阿什金(A. Ashkin)最早提出可以利用光的辐射压力对微小物体施加力的作用。1986年,他成功将这一设想变成了现实,制成了世界上第一台 用激光来实现粒子操控的装置,称为光镊子 。现如今,光镊子已经被广泛运用到病毒、细菌、细胞等微粒的无创操控中,大大促进了生物技术的发展,阿什金教授也因此荣获2018年诺贝尔物理学奖。
尽管如此,光镊子仍然具有自身的局限性。首先,光镊子对样本的透明性要求很高;其次,聚焦激光的高能量往往会引起粒子的局部升温从而造成对样品的损伤。在阿什金制成光镊子仅仅5年后,吴君汝教授便成功进行了 声镊子 的设想与实验,他采用两个平行对立放置的3.5 MHz聚焦超声换能器形成驻波场,实现了对直径为270μm的乳胶粒子和蛙卵的捕获和操控,首次证实了声镊子的可行性。诚然,声波的能量远不能与激光相比拟,但声波可以在固体、流体等任意介质中传播,不受介质电磁特性和透明性的影响。另一方面,其能量与工作频率和医学超声成像系统的参数相当,可以实现对单个细胞或颗粒的操控,并确保生物组织和目标粒子有足够的安全性。

图5 利用声表面波实现对微粒的排列和操控,其中(a),(b)是放置在芯片上的声镊系统,(c),(d)和(e),(f)分别是驻波场作用下对微粒的一维和二维操控
驻波场具有较强的空间能量梯度 ,因而更容易产生明显的声辐射力来实现对特定微粒的捕获。当微粒落入这样的声场中,其在声辐射力的作用下将被推到并锁定在时间平均势函数的极小值位置,如同被镊子牢牢夹住一样。在此基础上,通过调节声场改变波腹和波节的分布,从而将微粒移动到理想的位置。从操控的维度来看,声镊子既可以实现一维和二维粒子的空间排列,也可以实现粒子在三维空间的移动变换。此外,由于声波波长的尺度跨度很大,原则上声镊子可以操控从纳米到厘米尺寸的所有微粒,甚至还可以操控流体介质,形成特定的流场环境。2009年,美国宾州州立大学的Shi等人基于声表面波的原理,利用两个相对放置的叉指换能器产生驻波声场,实现了对微小粒子的一维和二维排列与操控,如图5所示。随后,该团队又利用叉指换能器和单层微流控通道实现了芯片上液滴的分类和排序,在芯片上实现了液滴微流控技术。

图6 利用高频超声实现对细胞的捕获。在换能器激发声场之前,细胞位于距离势阱中心 50 μm 处(a),当激发声场后,细胞受到辐射力的牵引作用向势阱中心移动(b),(c),最终在势阱中心处再次保持静止(d)
驻波声场至少需要一组换能器,或一个换能器与一个反射面,在实际的声操控中这样的条件往往很难得到满足。与驻波场声操控相比,单波束声镊子的设备更加简单,受到了研究人员的广泛青睐。2009年,南加州大学的Lee等人用正弦信号驱动中心频率为30 MHz的铌酸锂压电换能器来捕获轴线上的微粒,发现当水中的球形粒子偏离轴线时,声辐射力会将其拉回到轴线上。这一回复力现象为单波束声镊子提供了理论依据。随后,他们在声线理论的基础上,使用30 MHz的高频聚焦超声成功捕获了直径为126 μm的油酸微粒,又利用100 MHz的高频超声成功实现了对细胞量级粒子的声捕获,如图6所示。2016年,Ma等人基于微粒在行波场中的共振特性,在声表面波微流控腔体内实现了对粒子的精确筛选。2017年,Chen等人通过改变激励频率制成“变尺度”声镊子,从而可以操控不同尺度大小的微粒。2018年,Zhao等人在PZT圆片上利用不同扇区的声波干涉效应产生近似的贝塞尔声束,通过其负向声辐射力形成的势阱捕获了亚毫米尺度的微粒。同年,英国布里斯托尔大学Drinkwater教授和西班牙纳瓦拉公共大学Marzo博士在美国国家科学院院刊(PNAS)上首次展示了多粒子的独立悬浮与操控,该设备被称为全息声镊子(HAT)。HAT包含一个由256个直径均为1cm的扬声器组成的阵列,阵列单元之间有约23 cm的间隔,并且工作在40 kHz的超声频段。通过调节声波的物理特征,成功实现了二维和三维空间的声波牵引技术,使25颗直径在1—3 mm的聚苯乙烯泡沫塑料小球执行了一系列令人惊叹的空中动作(图7)。Marzo博士在接受西班牙科学新闻周刊的采访时称,他希望未来能通过全息声镊子在微观尺度上操纵3D细胞并搭建出二维培养皿中无法存在的立体生物学结构。倘若这一设想变为现实,无疑将成为结构生物学领域的又一次伟大革命。

图7 利用全息声镊子实现三维空间的声波牵引
总体来看,与技术相对成熟的光镊子相比,目前的声镊子在灵敏度方面还存在一定的劣势,但我们有理由相信,随着科学家们从原理、装置和应用等方面对声镊子技术进行改良与拓展,声镊子必将朝着更高精度、更成熟、实用性更强的方向发展。
4.2 声马达
声波不仅可以携带动量,还可以携带角动量,我们将携带角动量的声场称为涡旋声场。 涡旋声场在传播过程中会产生波阵面绕轴的扭转,从而使其传播相位关于声束中心呈现螺旋变化的关系。定义拓扑荷数或声场阶数为一个波长的传播距离内波阵面发生扭转的次数,图8显示了拓扑荷数取不同值时声场的波阵面形态图。显然,当=0时,涡旋声场将退化为普通的平面波场。此外,拓扑荷数的正负表示波阵面的扭转方向。当拓扑荷数非零时,我们称声场携带轨道角动量(OAM)信息。与电磁波不同,流体中的声波是不存在偏振现象的,因而不存在自旋角动量(SAM),其轨道角动量就是最终的总角动量。

图8 拓扑荷数取不同值时声场的波阵面形态
当声波与物体之间发生动量的传递时,宏观上表现为声辐射力的作用。我们自然地想到, 声波能否与物体发生角动量的传 递,从而表现为力矩的作用? 答案是肯定的, 这种力矩称为声辐射力矩或声辐射转矩 ,最早由美国学者Maidanik于1958年提出。与声辐射力有所不同,声辐射力矩的产生必须具备两个条件:其一,声场是涡旋声场;其二,物体能够产生一定的声吸收。华盛顿州立大学的张黎坤教授和Marston教授系统总结了声辐射力矩的理论框架,并从理论上证明了对在轴对称目标而言,声辐射力矩正比于声吸收功率、声场的拓扑荷数,反比于声波的角频率。2012年,邓迪大学的Demore等人利用1000个阵元的换能器阵列产生不同阶的贝塞尔涡旋声场来操控水中的吸声圆片,首次从实验上验证了声辐射力矩和声吸收功率的正比关系。同年,Silva和Mitri等人成功推导出了任意涡旋声束对在轴球形粒子声辐射力矩的表达式,并以贝塞尔波这一最常见的涡旋声束为例进行了仿真。近年来,张黎坤教授课题组又详细分析了贝塞尔声束对离轴物体的声辐射力矩特性和力矩反转的机理。本文作者所在团队首次在三维声辐射力矩的问题中引入阻抗边界,分析了涡旋声场对边界附近粘弹性球壳的力矩。

图9 在铜板上刻蚀的阿基米德螺旋线,用其实现了声涡旋
利用声辐射力来操控微粒运动的技术称为声镊子,利用声辐射力矩来驱动微粒转动的技术则被形象地称为声马达。 声马达的出现扩充了现实中声操控的自由度,大大丰富了微粒运动的类型与方式。声马达技术的关键是涡旋声场的产生,目前来看主要有三种方式。第一种方法是通过表面螺旋结构的声源实现声涡旋。2016年,武汉大学刘正猷教授课题组在铜板上刻蚀了阿基米德螺旋线,成功获得了贝塞尔涡旋声场(图9),并驱动水中的聚苯乙烯颗粒呈环状分布。2020年,该课题组基于同样的原理利用硅基片制作声涡旋透镜,成功操控了虾卵在声场中的转动,其观测到的动力学特性与理论符合得很好。该方法具有技术简单和成本低的优势,但存在难以调节声场参数的困难,且在低频情况下庞大的结构尺寸限制了其在实际中的应用。第二种方法是通过有源相控阵技术实现声涡旋。2016年,西北工业大学洪振宇课题组利用64阵元换能器产生二维贝塞尔涡旋声场实现了对聚苯乙烯颗粒和水组成的两相混合物的操控(图10)。当颗粒尺寸较小时,会随流体一起旋转从而实现声涡旋的可视化。相控阵技术可以灵活地调节声场和改变参数,但对每个换能器的电路均需要独立控制,成本较为昂贵。第三种方法是通过声人工结构和超材料实现声涡旋。2016年,*京大南**学程建春教授课题组利用声学共振原理,通过在厚度和半径都远小于声波波长的平面状共振超表面中有效地调控由声学杂化共振所引起的等效声波数分布,将入射的平面声波转换为携带轨道角动量的涡旋声场(图11)。该方法基于声学超构材料的特殊声学特性和亚波长尺度的几何优势,有利于产生更稳定、宽频带且可灵活调控的涡旋声场。

图10 利用64阵元换能器阵列产生贝塞尔涡旋声场,实现了微流控的精确操控

图11 利用声学共振结构产生声涡旋
基于声涡旋的声马达技术开辟了新的操控自由度,因而已经逐渐成为声操控领域的热点问题。顺便指出,声涡旋除了具备在声操控、声悬浮等领域向物体传递角动量的力学特性外,在声学通信领域也具有巨大的应用潜力。携带不同OAM的涡旋声场之间彼此正交,恰好对应着不会发生混叠的不同信道。倘若OAM能够与传统的多路复用传输系统兼容,则有望实现水下通信技术领域的巨大变革。
5 声辐射力弹性成像
人们很早就发现了生物组织的弹性信息与其病理状况紧密相关。汉代医圣张仲景的《伤寒杂病论》中就对胸腹部的按诊进行了详细的论述,现已成为诊断和治疗疾病的重要依据。尽管如此,单纯依靠手指的触摸去定性地感知组织的弹性无疑对医生的经验有较高的依赖,甚至不同的医生会得出截然不同的诊断结果。此外,对于体内较深部位的器官,人工按诊也无法准确获知其弹性和硬度的信息。为了弥补传统按诊法的缺陷,人们致力于发展多种对组织的成像方法,希望能够精确有效地反演出组织的弹性信息,在这一需求背景下, 超声弹性成像 方法应运而生。
根据激励源的不同,我们可以将目前在临床上广泛使用的超声弹性成像方法分为两大类。第一种是准静态压缩弹性成像,最早由美国教授Ophir和日本学者Yamakoshi于20世纪90年代提出。该方法通过在组织外表面施加一定的压力使人体组织发生形变,再利用B超波束对其进行扫描监测产生组织的应变图。这种方法的局限性在于它仍然只能探测到浅表的组织信息并且容易受到边界条件的影响。此外,它无法给出组织硬度的具体数值,只能反映和背景组织相对比的一个相对大小。第二种是基于声辐射力的动态弹性成像技术,该技术使用超声波对组织施压,很好地克服了传统准静态压缩弹性成像中无法对深部组织成像的问题以及易受边界条件影响的不足,受到了国内外的广泛关注。声辐射力弹性成像主要可以细分为谐波运动成像(HMI)、剪切波弹性成像(SWEI)和声辐射力脉冲成像(ARFI)等手段,这里分别对它们作简要介绍。

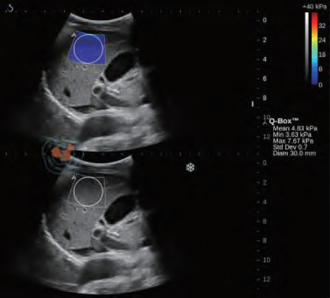
图12 慢性肝病患者的肝脏剪切波弹性成像及定量分析图。下图是原始的成像图,上图的蓝色区域则是在成像区域内选取直径为3 mm的圆形定量检测区域进行弹性模量的检测
谐波运动成像最早由Maleke等人提出。 通过探头产生的超声波对组织施加周期性的声辐射力,使组织产生谐波运动。 通过获取组织被激发前后的B超图像并对其进行运动估计,可以间接反映组织的弹性状况。该方法可以准确反映深部组织的局部弹性状况,但由于需要在激发信号的同时监测组织的运动,因而采集到的B超信号容易受到激发信号的严重干扰,这是该成像方法迄今为止尚未得到完美解决的主要问题。当声辐射力作用在组织上时会激发出剪切波,剪切波弹性成像正是通过检测这一剪切波的传播来达到成像的目的,最早由美国学者Sarvazyan和Emelianov提出。他们利用高强度聚焦超声探头产生声辐射力,在人体组织中产生了明显的剪切波,并运用磁共振成像方法监测该剪切波的传播情况。由于剪切波速与人体组织的粘弹特性紧密相关,因此通过检测剪切波的传播速度等参数可以获取组织的弹性信息。图12显示了某一慢性肝病患者的肝脏弹性成像图。声辐射力脉冲成像技术最早由杜克大学的学者Nightingale等人提出,该方法通过高能聚焦超声探头在局部组织中产生短暂的高强度声辐射力,从而推动组织产生一定的应变,再通过追踪这些微小应变和剪切波的传播来判断组织的粘弹特性。研究人员发现,组织对于脉冲声辐射力的瞬态响应直接相关于局部区域的硬度大小,而通过求解亥姆霍兹方程的反问题方法可以量化组织中剪切波的波速。Nightingale等通过详细的数值仿真和体模研究证实了声辐射力脉冲成像的可行性,并得到了与传统B超图像相比更高的对比度和分辨力。如今的声辐射力脉冲成像已在临床上具备多种脏器检查的能力,图13显示了某位良性纤维瘤患者的乳腺声辐射力脉冲成像图。

图13 乳腺良性纤维瘤患者的声辐射力脉冲成像图
基于声辐射力的弹性成像技术是对传统准静态弹性成像技术的重大突破,使得弹性成像对较深部位或有局部遮挡的组织器官也有了一定的用武之地,在离体成像实验和临床诊断治疗中均显示了良好的应用前景。当然,如何提升成像速度、改善成像质量、确保剂量安全性也是亟待解决的重要问题。随着技术的不断发展,相信声辐射力弹性成像技术将会在不久的将来更好地造福人类。
6 声辐射力天平
声学中,我们将 声源在单位时间内向外辐射的声能量定义为声功率 。超声功率的测量是声学研究中的热点问题,对评估超声设备的安全风险、控制超声设备的辐射剂量、确保超声诊断和治疗过程的可控性与安全性有着重要意义。目前,关于声功率的测量方法主要有声辐射力法、声光法、量热法等,其中 声辐射力法 是国际电工委员会(IEC)推荐的首选测量方法,也是目前唯一国际公认的标准方法。早在1976年,波兰科学院的Zieniuk和英国萨里大学的Chivers就对声辐射力法和量热法进行了详细的比较分析,认为前者的适用范围更广、测量更加简洁有效。

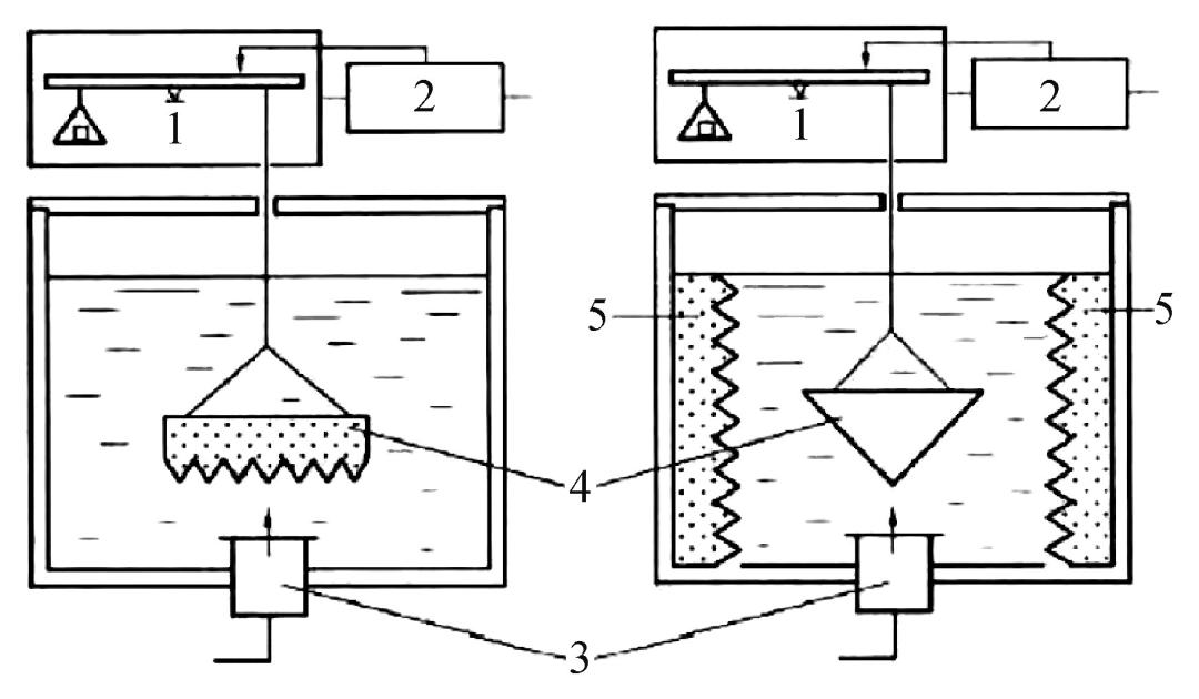
图14 利用全吸收靶(左)和全反射靶(右)测量声功率的实验装置示意图
利用声辐射力测量声功率的装置被称为声辐射力天平 。对于小振幅声波而言,在横向尺寸不受限制的行波传播方向上,两种介质的分界面或声场不均匀处存在单向的稳态声辐射力。事实上,这一压力正是前文所述的朗之万声辐射力,单位面积上的声辐射力称为声辐射压。对理想的平面行波而言,声辐射压和声强、波速存在关系:

其中,是声波的能量密度。在测量中,将全反射靶或吸收靶放置于水中声场里感知声能流,并用天平来精确测量此时靶受到的声辐射力。最后,将声辐射力换算成声功率即得到最终的测量结果。图14给出了利用全吸收靶和全反射靶测量声功率的实验装置示意图。全反射靶和全吸收靶的主要区别在于靶的结构特性不同。全反射靶通常是用薄金属皮制成的中空凸圆锥体,其锥角为90°,它能将接收到的超声波能量几乎完全反射回去。全吸收靶的表面则是由许多锯齿形吸声尖劈排列而成,从而能够吸收绝大部分的声能量。图15显示了两种靶的实物照片。对于全吸收靶测量而言,声功率和辐射天平的读数满足关系= ,其中是测量当地的重力加速度;对于全反射靶测量而言,上述关系变为= /(2cos),其中是声束在圆锥形全反射靶上的入射角。当然,在声吸收不可忽略时,我们还应当计及声波在水中的吸收声衰减。

图15 全吸收靶(左)和全反射靶(右)的实物照片
2012年,上海交通大学寿文德等人提出利用声辐射力天平测量电声器件参数的方法,并给出了平面活塞型、球面聚焦型和圆柱面聚焦型换能器的实验测量结果。近年来,他们又提出一种基于凸球面吸收靶的声辐射力天平测量方法,成功测量了相控阵换能器的发射功率。2013年,北京理工大学沈洋等人首次针对平板倾斜放置时的声辐射力天平测量装置进行了详细的分析,给出了理论计算结果和相应的实验验证,大大简化了对传统声辐射力天平测量的实验要求。2014年,黄鸿鑫等人利用声辐射力天平法制成了声功率测量仪。
7 结束语
声辐射力既是声场传递动量的反映,也是声波非线性的重要体现。 历经了一个多世纪的探索与发展,关于声辐射力的研究仍然方兴未艾。一方面,不少学者已经给出了各种模型下声辐射力的大量计算结果,为实际的声操控提供了必不可少的理论基础。另一方面,宽频声场的动态声辐射力、多粒子的声辐射力和血管壁等复杂边界下的声辐射力等成为了新的热点,使得声辐射力的基础理论研究与实际操控结合得更加紧密。同时,随着声涡旋理论的发展,基于轨道角动量的声辐射力矩开辟了新的声操控自由度,让这一领域更加呈现出生机盎然的发展前景。
在生命科学、材料科学、纳米科学等领域,对微观粒子的无损精准操控已经成为不可或缺的核心技术。随着这一技术的不断发展,人们已经不仅仅满足于根据固定的声场信息来操控特定微粒,而是试图面向特定应用场景、根据不同的操控需求反演所需要的声场结构和操控系统,实现对操控对象的实时精准操控。在图像反馈技术和控制技术的辅助下,声操控正逐渐走向微型化、自动化与智能化。另一方面,物体的复杂动力学特性暗含了其本身的物理参数信息,利用声辐射力反演其物性参数对精准操控和非接触测量有重要的理论指导意义。作为声操控的物理基础,声辐射力这只看不见的“手”也将会在众多领域中有更多用武之地。
参考文献
[1] Hasegawa T , Saka K , Inoue N et al . J. Acoust. Soc. Am. , 1988 , 83 : 1770
[2] King L V. Proc. Roya. Soc. London Ser. A , 1934 , 147 : 212
[3] Awatani J. J. Acoust. Soc. Jpn. , 1953 , 9 : 140
[4] Yosioka K. Acta Acust. United Ac. , 1955 , 5 : 167
[5] Yosioka K , Hasegawa T , Omura A. Acustica , 1969 , 22 : 145
[6] Hasegawa T , Yosioka K. J. Acoust. Soc. Am. , 1969 , 46 : 1139
[7] Hasegawa T , Watanabe Y. J. Acoust. Soc. Am. , 1978 , 46 : 1733
[8] Hasegawa T. J. Acoust. Soc. Am. , 1979 , 65 : 32
[9] Wu J R , Du G H. J. Acoust. Soc , Am. , 1990 , 87 : 997
[10] Marston P L. J. Acoust. Soc. Am. , 2006 , 120 : 3518
[11] Marston P L. J. Acoust. Soc. Am. , 2009 , 125 : 3539
[12] Mitri F G. Ann. Phys. , 2008 , 323 : 2840
[13] Mitri F G. Ultrasonics , 2009 , 49 : 794
[14] Mitri F G. J. Phys. A : Math. Theor. , 2009 , 42 : 245202
[15] Mitri F G. Eur. Phys. J. E , 2009 , 28(4) : 469
[16] Silva G T. J. Acoust. Soc. Am. , 2011 , 130 : 3541
[17] Baresch D , Thomas J , Marchiano R. J. Acoust. Soc. Am. , 2013 , 133 : 25
[ 18] Sapozhnikov O A , Bailey M R. J. Acoust. Soc. Am. , 2012 , 133 : 661
[19] Silva G T. IEEE Trans. Ultrason. Ferroelectr. Freq. Con trol , 2015 , 62 : 576
[20] Wang J , Dual J. Ultrasonics , 2012 , 52 : 325
[21] Qiao Y P , Zhang X F , Zhang G B. J. Acoust. Soc. Am. , 2017 , 141 : 4633
[22] Qiao Y P , Zhang X F , Zhang G B. Wave Motion , 2017 , 74 : 182
[23] Qiao Y P , Shi T Y , Zhang X F. Wave Motion , 2018 , 83 : 111
[24] Hasheminejad S M , Sanaei R. J. Comput. Acoust. , 2007 , 15 : 377
[25] Mitri F G. Ultrasonics , 2016 , 66 : 27
[26] Mitri F G. J. Appl. Phys. , 2015 , 118 : 214903
[27] Mitri F G. Wave Motion , 2015 , 57 : 231
[28] Mitri F G. EPL , 2015 , 112 : 34002
[29] Mitri F G. Ultrasonics , 2017 , 74 : 62
[30] 王明升,欧阳杰,刘浩 等 . 应用声学, 2020 , 39 : 550
[31] Zang Y C , Lin W J , Su C et al . Chin. Phys. B , 2021 , 30 : 044301
[32] Zang Y C , Lin W J. Results Phys. , 2020 , 16 : 102847
[33] Cai F Y , Meng L , Jiang C X et al . J. Acoust. Soc. Am. , 2010 , 128 : 1617
[34] 孙秀娜,张小凤,张光斌 等 . 陕西师范大学学报 ( 自然科 学版 ) , 2015 , 43 : 28
[35] Lee J W , Ha K L , Shung K K. J. Acoust. Soc. Am. , 2005 , 117 : 327 3
[36] Gor′kov L P. Sov. Phys. Doklady , 1962 , 6 : 773
[37] Kundt A. Ann. Phys. Chem. , 1866 , 127 : 497
[38] Hanson A R. Rev. Sei. Instrum. , 1964 , 35 : 1031
[39] Whymark R R. Ultrasonics , 1975 , 13 : 251
[40] Hatano H. IEEE Trans. Ultrason. Ferroelectr. Freq. Con trol , 1994 , 41 : 772
[41] Jackson D P , Chang M H. Am. J. Phys. , 2021 , 89 : 383
[42] Xie W J , Cao C D , Lu Y J et al . Phys. Rev. Lett. , 2002 ,89 : 104304
[43] Ashkin A. Phys. Rev. Lett. , 1970 , 24 : 156
[44] Ashkin A , Dziedzic J M. Appl. Phys. Lett. , 1971 , 19 : 283
[45] Ashkin A , Dziedzic J M. Science , 1975 , 187 : 1073
[46] Ashkin A , Dziedzic J M. Science , 1987 , 235 : 385
[47] Ashkin A. Proc. Natl. Acad. Sci. USA , 1997 , 94 : 4853
[48] Wu J R. J. Acoust. Soc. Am. , 1991 , 89 : 2140
[49] Shi J J , Daniel A. Lab Chip , 2009 , 9 : 2861
[50] Li S. Anal. Chem. , 2013 , 85 : 5468
[51] Lee J , Teh S Y , Lee A et al . Appl. Phys. Lett. , 2009 , 95 : 073701
[52] Lee J W , Lee C Y , Shung K K. IEEE Trans. Ultrason. Ferroelectr. Freq. Control , 2010 , 57 : 2305
[53] Lee J W. Biotechnol. Bioeng. , 2011 , 108 : 1643
[54] Ma Z , Collins D J , Guo J et al . Anal. Chem. , 2016 , 88 : 11844
[55] Chen X Y , Lam K H , Chen R M et al . Biotechnol. Bio eng. , 2017 , 114 : 2637
[56] Zhao L R , Kim E S. Focused ultrasound transducer with electrically controllable focal length. Proceedings IEEE Micro Electro Mechanical Systems , 2018 : 1088
[57] Marzo A , Drinkwater B W. PNAS , 2019 , 116 : 84
[58] 梁彬,程建春 . 物理, 2017 , 46 : 65 8
[59] Maidanik G. J. Acoust. Soc. Am. , 1958 , 30 : 620
[60] Zhang L K , Marston P L. J. Acoust. Soc. Am. , 2011 , 129 : 1679
[61] Zhang L K , Marston P L. Phys. Rev. E , 2011 , 84 : 065601
[62] Zhang L K , Marston P L. J. Acoust. Soc. Am. , 2011 , 129 : 238 1
[63] Demore C E M , Yang Z Y , Volovick A et al . Phys. Rev. Lett. , 2012 , 108 : 194301
[64] Silva G T , Lobo T P , Mitri F G. EPL , 2012 , 97 : 54003
[65] Mitri F G. Phys. Rev. E , 2012 , 85 : 026602
[66] Mitri F G , Lobo T P , Silva G T. Phys. Rev. E , 2012 , 86 : 059902
[67] Zhang L K. Phys. Rev. Appl. , 2018 , 10(3) : 034039
[68] Gong Z X , Marston P L. Phys. Rev. Appl. , 2019 , 11 : 064022
[69] 臧雨宸,林伟军,苏畅 等 . 声学学报, 2021 , 46 : 92
[70] Zang Y C , Lin W J , Zheng Y F et al . J. Sound Vib. , 2021 , 509 : 116261
[71] Wang T , Ke M , Li W et al . Appl. Phys. Lett. , 2016 , 109 : 123506
[72] Zhang R Q , Guo H L , Deng W Y et al . Appl. Phys. Lett. , 2020 , 116 : 123503
[73] Hong Z , Zhang J , Drinkwater B W. Phys. Rev. Lett. , 2015 , 114 : 21430 1
[74] Jiang X , Zhao J J , Liu S L et al . App. Phys. Lett. , 2016 , 108 : 203501
[75] Ophir J , Cespedes I , Ponnekanti H et al . Ultrasonic Imag ing , 1991 , 13 : 111
[76] Maleke C , Konofagou E E. Phys. Med. Bio. , 2008 , 53 : 1773
[77] Sarvazyan A P , Rudenko O V , Swanson S D et al . Ultra sound Med. Bio. , 1998 , 24 : 1419
[78] 曾婕,吴莉莉,郑荣琴 等 . 中华超声医学杂志, 2012 , 9 : 781
[79] Nightingale K , Soo M S , Nightingale R et al . Ultrasound Med. Bio. , 2002 , 28 : 227
[80] 欧冰,罗葆明,智慧 等 . 中国医疗器械信息, 2012 , 6 : 18
[81] Zieniuk J , Chivers R C. Ultrasonics , 1976 , 14 : 161
[82] 杨德俊,陈沈理,何卓斌 等 . 电子质量, 2018 , 7 : 90
[83] 寿文德,余立立,胡济民 等 . 声学技术, 2012 , 31 : 107
[84] 寿文德,贾龙洋,吉祥 等 . 声学技术, 2019 , 38 : 629
[85] 沈洋,胡亚琴,胡毅 . 科协论坛, 2013 , 12 : 201
[86] 黄鸿新,徐红蕾,胡昌明 等 . 实验技术与管理, 2014 , 31 : 79
转载内容仅代表作者观点
不代表中科院物理所立场
来源:中国物理学会期刊网
编辑:fiufiu