一
这世界,存在七大数学难题
这世界真的有最难的数学题吗?
有,而且每一个问题都被悬赏一百万美元。
公认的世界七大数学难题如下:
1、NP完全问题
简单讲是说一些非确定性问题,是否可以通过逻辑运算得出结果,有点“万物皆可计算”的感觉。
2、黎曼猜想
研究质数分布规律,伟大的黎曼故意来折腾人的,华裔科学家张益唐2022年仅仅因为往前推进了一步,就让全世界啧啧惊叹。
3、霍奇猜想
艰深的拓扑学难题,M理论的数学表达。去赚100w美金比证明这个容易多了。
4、BSD猜想
对有理域上的任一椭圆曲线,其L函数在1的化零阶等于此曲线上有理点构成的Abel群的秩。如果不是数学博士,建议躲得远远的。
5、杨-米尔斯存在性和质量缺口
证明量子Yang-Mills场存在,并存在一个质量间隙。杨振宁先生就因为这个bug,被泡利问得大汗淋漓。
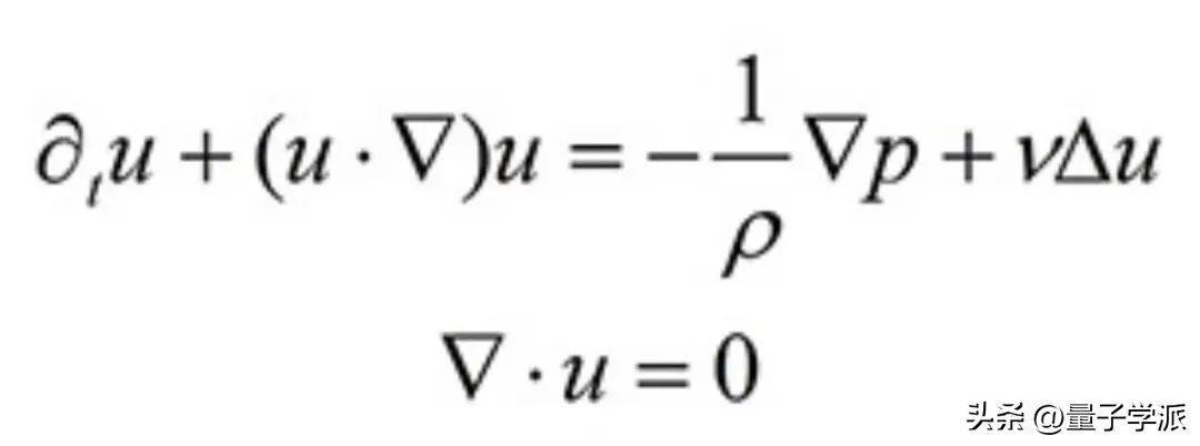
6、N-S方程
纳维-斯托克斯方程,描述粘性不可压缩流体动量守恒的运动方程:简称N-S方程。几代数学天才的接力,才有了今天这个经典公式。
7、庞加莱猜想
七大难题中唯一被证明的,证明的人是俄罗斯数学家格里戈里·佩雷尔曼。
如果没有逆天智商,这七道题如同天书,能理解看懂都是一件难事。
二
N-S方程,最难解的物理学方程
数学,它被称作是上帝描写自然的语言。
在描写自然(物理现象)的这些数学语言里,又有很多不同类型。
- 经典力学的数学语言,例如f=ma有若纯真秩语,如同诗经。
- 电磁学的数学语言,麦克斯韦方程流畅自然,和谐统一。
- 热力学的数学语言,dS≥0则是大言稀声,有大哲风范。
- 量子力学的数学语言,则就显得有点朦胧且晦涩。
除此之外,还有一个领域的数学语言,神秘、深邃且遥远。
那就是N-S方程表达的流体力学,克雷数学研究所是这样描述:
“起伏的波浪伴随蜿蜒穿梭的小船,湍急的气流和 喷气式飞机 伴飞。数学家和物理学家深信,无论是微风还是湍流,都可以通过理解 N-S方程 的解,来对它们进行解释和预言。 数学理论 若要前行,就是要解开隐藏在N-S方程中的奥秘。”

人类得到N-S方程的过程并不容易:
第一数学家族的伯努利开始提出“伯努利方程1.0”;
大数学家欧拉引入微积分进行升级改造;
数学天才柯西接着提出“九维张量方程”;
1845年,才最终有了现在完整的“伯努利方程4.0(N-S方程)”。
将N-S方程的参数部分展开,它是一个非线性偏微分方程,求解非常困难和复杂。
流体力学和空气动力学的求解,只能通过简化方程而得到近似解。
三
三大流派,都在求解N-S方程
不管N-S方程的求解有多难,总有很多人去追求答案。
这与100万奖金没有关系,因为这个方程对人类太重要。
因为有水和空气的地方就有流体力学,宇宙万物皆流动。
对于科学家来说,不找出流体运动的规律,科学就少了一块重要拚图。
所以,无数科学家一直在寻求答案,致力求解流体力学的精确解。
屈指算来,主要分为三大流派。
第一个流派是科学派。
这一派主要以大科学家为主,这些人相信凭借自己大脑就可以找到通用公式。
1859年,麦克斯韦提出速度分布方程,把三维问题降低到一维问题。
玻尔兹曼则从微观世界入手,基于统计力学架起一座连接微观与宏观的介观尺度桥梁:玻尔兹曼方程。
他们试图从微观世界寻求宏观世界的运动轨迹,破解不可预测的流体之谜。

第二个流派是实验派。
他们通过建立数学模型求解,什么样的流体就用什么样的模型来计算,这世界没有实验解决不了的问题。
著名实验派包括以下:
❶雷诺实验
将瞬间速度分解成随时间统计平均速度和脉动速度。
❷RANS模型
假设漩涡具有粘性特质,并且假设九维张量等于漩涡粘性乘以流体的变形量。
❸涡粘模型
用涡粘性系数的方法来模拟湍流流动,通过涡粘度将雷诺应力和平均流场联系起来。

第三个就是工程派。
这一派是站在实验派的肩膀之上,直接用产品进行验证求解。
他们动手能力极强,通过创造具体的科学具象来提供大数据,然后归纳反向验证N-S方程。
工程派里最具标志性的行业之一就是汽车行业,而汽车工程中最值得一提的 品牌要属路特斯。

路特斯创始人 柯林·查普曼
1948年,柯林·查普曼打造了第一台赛车,迄今已有74年。
路特斯是N-S方程的优秀解题者。
路特斯将空气动力*运学**用到了极致,创造了完美驭风的赛车,让多数人实现了在地面“飞行”的梦想。
路特斯究竟是如何做到的?
四
“速度与激情”之两大原理
工程学的本质,就是向科学和数学的无限接近。
路特斯作为赛车制造者,它要追求的是赛车的超级性能。
对于赛车来讲,因为要尽可能提高速度,最终要解决的问题就与流体力学相关。
因此,从物理学上必须考虑两大原理:
第一原理是 牛顿第二定律f=ma ,也就是加速度与质量成反比。
第二原理是物体在 速度V 时风中的 受力F 与粘度和湍流有关。
这两大原理都和N-S方程有关,
要获得极致的“速度与激情”,就要根据原理做出科学应对。
首先是第一原理,牛顿第二定律f=ma。
其实f=ma可以看作是N-S方程的一个特殊极简化版,而N-S方程也可以看作是牛顿第二定律的流体版本。
牛顿第二运动定律告诉我们:
质量x加速度 = 力
它描述了物体的速度在外力作用下会如何改变在N-S方程中,等式左右两边各参数的变化。

从第一原理可以看出,如果动力不变的情况下,赛车要获得好的性能,轻量化是必要条件。
重量更轻,不仅能跑得更快,也能更好地操控车的行驶。
而在伦敦大学学习结构工程专业的柯林·查普曼,对这一理论有更深入的理解,这个天才工程师在这一方面下足了功夫,将这一大原理巧妙地应用在汽车设计与生产过程中。
自创立以来,路特斯出产的每一辆车,都践行着轻量化的理念。
1957年 ,第一款量产公路跑车Elite,采用玻璃纤维轻量化复合材料打造的单体壳车身;
1962年 ,引领“跳灯”风潮的Elan,是路特斯第一款采用玻璃钢车身配合骨干式车架底盘的公路跑车;
1974年 ,4座GT跑车Elite,其玻璃纤维混合车身使用真空辅助树脂填充(VARI)技术,在实现减重方面再度精进;
……

路特斯Elite
这些在经典跑车上采用的所有新材料,进行的所有减重设计,都体现了路特斯对极致驾控的追求以及所付出的努力。
同时,这些追求简单而优雅的设计,也是路特斯极简设计的创新表达。
创始人柯林·查普曼曾说:
“Simplify, then add lightness”。
极简,然后才是轻量化。
Type 25 上将底盘骨架融于车身的单体壳设计;
Type 49 上将发动机作为受力结构部分的创新设计;
Type 78 将车身化为地面效应的“文氏管”设计。
这些领先时代的极简化设计,在演绎路特斯性能美学的同时,更核心的目的是为实现极致驾控。
五
路特斯的进化之路:第一原理与极致驾控
路特斯在“轻量化”方面,一直严格遵循第一原理。
这也是在燃油车赛车时代,路特斯创下辉煌成绩的重要原因。
不过对于路特斯而言,轻量化只是手段,极致驾控才是目的。

但时代已经变了,燃油车不再统治一切,电动车时代扑面而来。
无论是赛车还是跑车,都不得不面对这个历史转折。
电动车时代来临,超跑新赛道开始了。

路特斯秉承一贯的创新气质,主动切换到电车新赛道。
在电车时代,决定路特斯能否达到“极致驾控”的核心,依旧离不开轻量化。
在不少人看来,受限于电池包与电动机等部件的自身质量,轻量化一直是纯电动汽车无法提及的痛。
但纯电超跑SUV路特斯Eletre,完全传承了路特斯追求的造车艺术,它将轻量化和空气动力学发挥到一种新的极致:
1、车身轻量化:整车减重8%,白车身减重10%,底盘减重30%;
2、轻薄羽翼主题:内饰通过 超薄设计 和 1K碳纤维 材质最大限度的体现出视觉轻量化理念;
3、沿袭 千万级纯电超跑Evija 的孔隙设计理念,为Eletre打造7组Race-Aero风道;
在以上这些所有能力的应用下,路特斯Eletre整车达到了336.49的推重比,傲视同级双电机车型和4.0T燃油车。
孔隙设计理念,让路特斯Eletre实现了驭风降阻与性能美学的平衡。
六
全球首款纯电超跑SUV:第二原理与数学解
第二原理是物体在速度V时风中的受力F与粘度和湍流有关。
按照流体力学,
F可分解为外部常量和无量纲量的乘积:F=1/2ρV2SCD
其中CD与N-S方程中的湍流和粘度密切相关。
基于N-S方程的第一原理与第二原理的结合,才能成就新的工程学奇迹。
雨燕的飞跃,猎豹的奔跑,旗鱼的滑翔。
这些动物既不是最轻的,也不是动力最强的,
只是它们在进化中寻找到了最优的数学解。
那是自然世界里最美妙的均衡,所以它们在驾驭自己时能达到一种美和速度的极致。
与代数中的数学解不一样,工程学的数学解往往由很多因素综合决定。
以纯电超跑SUV路特斯Eletre为例,
它工程学的数学解由增强动力,减少质量,弱化阻力,协调性、安全性这些来综合决定。
路特斯Eletre的气动仿真计算,刷新了汽车行业计算量的极限。
路特斯空气动力学团队历时4年,与设计团队共同打磨不断调整细节,并通过反复计算、验证,才有了如今路特斯Eletre的顶尖空气动力学性能。
路特斯Eletre在追寻轻量化的同时,革新了量产纯电SUV领域在空气动力学上的设计应用。
首先,它将一切“风中的灵感”,化为前行的引擎。
主动尾翼、主动进气格栅、分体式破风尾翼、7组Race Aero风道,组成了一身“驭风套装”。
这身“驭风套装”,本质上就是在化解 F=1/2ρV2SCD 的阻力系数。
同时也给路特斯Eletre提供了超越同级的极致净下压力。
路特斯Eletre能够实现在日常驾驶中0.26的超低风阻系数和最大90Kg的净下压力。相比传统豪华运动型SUV均值,风阻系数提升21.2%,下压力提升202%。
其次,对超跑来说,除了提升性能给车辆提供足够强大的动力,他们同样追求强劲的加速度。
根据第一原理,就需要实现轻量化,这就需要尽可能优异的重量分配、超低重心、以及高下压力。
轻量化的车身、超薄仪表台实际、钢铝混合材料……,
都是路特斯Eletre为得到更强劲的加速度所做的努力。
同时,减少车身向两侧产生的涡流与湍流,尽量让第二原理对车的运动减少影响。
文丘里效应表明,在高速流动的气体附近会产生低压,从而产生吸附作用,这也是制作“ 文氏管 ”的基本原理。
路特斯Eletre整车都可以看成是一个大号的“文氏管“:破风造型的前脸、流体设计的线条、平整化的车底……

这些设计,能让路特斯Eletre在行驶时牢牢地“吸”在地面上,实现更稳定的操控。
可以说,路特斯Eletre近乎完美地应用了空气动力学设计。
正是由于对第一原理与第二原理的结合,
路特斯利用空气动力学实现了极致驾控。
而实现极致驾控背后,其实是在寻求最合适的数学解。
相比赛车,超跑在性能层面注重安全和效率,以及更好的可操控性。
“速度”这项性能指标,只是在实现这一切性能诉求之后自然而然的综合结果。
从数学的角度出发,如果真的没有办法找到完美答案,那就寻找一个近似解。
工程虽然与数学本身有一定距离,但本质上两者是相通的。
谁读懂了N-S方程,谁就可能造出最优秀的产品。
谁造出最优秀的产品,谁就可能是N-S方程的最优解。
它们的优雅和美,是一致的。
七
路特斯Eletre的超跑之路:顶级配置
延续极致驾控之魂,是路特斯一直坚守的信条。
一直以来,路特斯坚持不懈地求解最难的题,只为做出最优秀的产品。
通过遵循第一原理和第二原理,路特斯Eletre在整体空气动力学性能上实现了有效提升。
而在电动化时代,路特斯为这道最难的数学题做出了新的答案。
全球首款纯电超跑SUV ,路特斯Eletre以无可争议的顶级配置刷新纯电SUV驾控、性能认知,它的每一点都很能打。

赛道灵魂
提供 S+、R+ 两种动力版本,毫不妥协的空气动力学,均匹配四驱系统。其中S+版本最大功率 612Ps ,最大扭矩 710N·m ,R+版本最大功率达到了 918Ps ,最大扭矩 985N·m 。
驾驭极致
都市、赛道、山路全地貌 从容应对 ,智能防侧倾控制,电子主动稳定杆实时计算仅需 2毫秒 ,主动后轮转向,空气悬架+CDC连续阻尼可调减震器带来更高舒适感,智能动态控制系统实现真正的人车合一驾控体验。
智控未来,五感提升
专属EPA架构, 4颗 激光雷达+双英伟达超算芯片,双第三代骁龙座舱平台+Unreal 3D虚幻引擎,HMI,全系标配英国顶级KEF音响, 全系标配PDLC智能全景天幕。
更强大的动力系统,更智能的控制系统,当然也能带来更极致的驾控体验。
路特斯的一切都是为了纯粹驾驶,为了驾驶者在公路上、赛道上都能获得更极致的驾控体验。
八
N-S方程与驾控之美
在我们身边,有一个看不见的平行时空。
她神秘深邃,但与我们生活却息息相关。
这个平行世界,就是抽象至美的数学世界。
数学无处不在:
飞驰而过如羚羊挂角一样完美的赛车弧线,那些在天空中飞行的民航客机,还有足球运动员踢出的弧线球。
这些现象背后,其实都能与数*联学**系起来。

N-S 方程是一组确定性方程,它的解也是由初始条件和边界条件唯一确定的。
而造成看似不确定的因素,在于 N-S 方程是一个混沌系统。
任何对初始条件的有限精度的测量,都会造成最后预测上巨大的差异。
那它到底没有确定解呢?
我们现在并不知道,但有一点可以确定。
越优雅的超级跑车,它越是最美的数学解。
爱因斯坦说过,纯数学使我们能够发现概念和联系这些概念的规律,这些概念和规律给了我们理解自然现象的钥匙。
N-S方程展现出一种无与伦比的美——简单、深邃与纯粹。
这是数学本身散发出来的那份优雅,它勾勒出纯电超跑SUV路特斯Eletre一样令人目眩神迷的弧线。
同样,那如飞矢一样驰骋在赛道里的超级跑车,它本身也就是第六大数学难题N-S方程的优秀答案。
