
“游泳健 身了解一下伐? ”夏天慢慢逼近,冬天存的脂肪就要藏不住了。 为了美美地迎接夏天,许多人选择游泳作为瘦身运动。
回忆起我最初学游泳的时候,教练是先从蛙泳开始教。慢慢的,蛙泳已经满足不了我,于是我自行解锁了仰泳、自由泳等其他泳姿。不同泳姿之间的差距还是蛮大的:有些轻松就能入门,有些则要花点功夫;有些更费腿,有些则更费手臂。
这些泳姿是怎么发展而来的,什么造成了不同泳姿在体验上的差别,泳姿技术中蕴含哪些力学原理, 今天我们就来聊一聊泳姿。

说一说你的入门泳姿是哪一种吧!
图源: sohu.com
01 不同泳姿的发展历程
现代竞技游泳分为 蛙泳 、 蝶泳 、 爬泳(自由泳) 、 仰泳 这四个泳姿。
蛙泳 ,是一种古老的泳姿,没有人能说清楚它具体发源于什么时候。早在石器时代的壁画上,就能看到类似于蛙泳姿势的描绘。顾名思义,蛙泳很像青蛙的游泳方式,尤其是蹬腿-收腿的动作。

早在石器时代人类就已经会蛙泳了
图源:Bradshaw Foundation
在 一些 波涛汹涌的 野外环境,蛙泳就十分合适。比如,1875年,英格兰人Matthew Webb成为有记载以来首位游泳横渡英吉利海峡的人,他采用的正是蛙泳姿势。

蛙泳
图源:britannica.com
蝶泳 ,可以说是由蛙泳发展而来。在20世纪30年代,游泳运动员和教练注意到,当收回手臂时,如果把手抬出水面,而不是像蛙泳一样保持在水下,会游得更快。于是,蝶泳的手臂动作便被创造出来。Henry Myers成为首个在整个比赛中使用这一动作的运动员。
不久之后,David Armbruster和Jack Sieg发展了著名的“海豚腿”动作——双腿并拢并像鱼尾一样上下移动。将海豚腿与手臂动作结合,便形成了蝶泳。

蝶泳
图源:britannica.com
最初,蝶泳的姿势被很多运动员用在蛙泳比赛中。但这比传统的蛙泳快得多,就有些不公平了。于是到了1952年,国际泳联将蝶泳划分为一种独立的泳姿,并建立了一套专门的规则。
爬泳 的源头众说纷纭。据说,在19世纪伦敦举行的一场游泳比赛中,被邀请来的两个印第安人采用手脚拍打水面的姿势赢得了比赛。这种姿势与当时欧洲常用的蛙泳完全不同,震惊了在场的观众。太平洋群岛的土著们也会采用这种姿势游泳。澳大利亚人Dick Cavill受到这些启发,进一步发展了爬泳的姿势。随后,爬泳在全世界迅速流行开来。

爬泳(自由泳)
图源:britannica.com
如今的自由泳比赛中,运动员其实可以采用任意泳姿进行比赛。但由于爬泳这种姿势被证明是最快的,所以被绝大多数运动员使用。 因此,我们通常也将自由泳与爬泳等同看待 。
仰泳 是从爬泳分出来的一个泳姿。它是现代竞技游泳中唯一躺着游的泳姿,也是唯一在水里出发的泳姿。最初,运动员仰泳时采取的是直臂姿势。直到20世纪30年代,澳大利亚运动员开始在仰泳时弯曲手臂,仰泳的速度得以提升。

仰泳
图源:britannica.com
02 你的入门泳姿是哪一种?
很多人的入门泳姿都是蛙泳,这是为什么呢?
蛙泳采用的是正面抬头呼吸。这与我们在陆地上的呼吸方式接近,而且可以把头抬出水面,从而 更自如地换气 。对于新手来说,在水里常因为不能换气而感到恐惧,这是非常不利的,因此,蛙泳能较快地帮助新手找到游泳时换气的感觉。
并且,蛙泳时手脚是左右对称地做动作,这使 身体容易在水中保持平衡 。此外,蛙泳动作之间有一段滑行间隙, 可以让新手快速找到节奏,建立起肢体的协调性,也不太容易感到疲乏 。
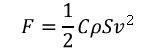
我们在游泳过程中,大多数力气都花在与阻力作斗争上。在空气或水等流体中,物体运动时受到的阻力F可以通过下列公式描述:

其中,ρ为流体的密度;S为物体在垂直于运动方向的投影面积(空气中是迎风面积,水中是阻水面积);v是运动的速度;C是阻力系数,和物体的整体形状与表面性质有关。
水的密度远远大于空气的密度,有着接近800倍的差距。 所以,相同速度下,在水中运动要比在陆地上运动费力许多。游泳的最高速度,也远比短跑、自行车等陆地运动低。
我们在学游泳时,教练会告诉我们要打平身子,这样才游得快。这也反映在上面这个阻力公式中。身子越是呈水平姿态,和前进方向形成的投影面积就越小。这意味着公式中的S越小,那么水对我们前进产生的阻力也就更小。所以,对于不同的泳姿来说,调整姿态以尽可能地缩小身体在前进方向上的投影面积,都是提升速度的重要诀窍。

躺平才能阻力小嘛~~~
图源:作者绘制
例如,在蛙泳中,向前收腿时,大腿不要收得太多,且让小腿藏在大腿后面,这样可以有效减少身体前进时受到的向后阻力。
反过来,当向后蹬腿时,如果将脚外翻,和水形成较好的角度,就能增大对水的投影面积,从而产生更大的阻力。这个阻力的方向是向前的,所以能起到更好的推进效果。

图源:zhihu.com
即使物体的阻水面积都相同,形状上的差异也会造成阻力上的巨大差别。 反映在上面的阻力公式中,就是阻力系数C的不同。各种形状中,流线型物体的阻力系数最小。比如,金枪鱼、海豚、鲨鱼等水里的“高速列车”,都拥有流线型的优美身躯。

不同形状的阻力系数,其中流线型(倒数第二个)最小
图源:x-engineer.org
所以,在游泳时要保持身体的平直和一定的紧张度,让自己尽可能接近一个流线型。比如,爬泳(自由泳)在打腿的时候需要伸直脚面。如果勾着脚,则会破坏身体的流线型,在身后产生大面积的漩涡,从而增大阻力。因此就有了自由泳费腿的说法。

打腿是练习自由泳的重要技术环节
图源:sohu.com
从阻力公式力我们还可以看出,阻力和速度的平方成正比。

也就是说,速度变为2倍,阻力是变为4倍;速度变为4倍,则阻力变为16倍!
这说明在水中的动作不是越快越有效 。 一些向前的动作,比如蛙泳的向前伸臂和收腿,则不能操之过急,否则将带来阻力的大幅上升,自身体力也会迅速下降。游泳也是“心急吃不了热豆腐”哦~
看完今天这篇文章,是不是燃起了去游泳锻炼的念头呢!希望这一点点力学原理,能让你的泳姿更加轻松自如!
— END —
作者:危安然,应用工程师,上海交通大学力学博士
编辑:He Huizi
转载内容仅代表作者观点
不代表中科院物理所立场
如需转载请联系原公众号
来源:上海科技馆
编辑:见欢