林志伟 唐晓伟 董建鹏
中交一公局集团有限公司海外事业部
摘 要: 本文主要介绍UTM投影的原理、UTM投影与高斯-克吕格投影的差异,分析计算UTM投影引起长度变形,并对如何抵偿变形量探讨以及喀麦隆雅杜项目在UTM投影下独立坐标系建立过程的简述。
关键词: UTM投影;高斯-克吕格投影;长度变形;独立坐标系;
随着国家经济的发展和一带一路的政策鼓励,国内企业承接国外工程也越来越多,同时大批国内测量专业队伍在海外从事测量工作,为设计单位及施工单位提供可靠的数据。
我们国内通常使用的是高斯-克吕格(GaussKruger)投影(以下简称高斯投影),但世界上大部分国家和地区使用的是UTM投影,以喀麦隆雅杜高速公路项目为例,业主方所提供的平面控制起算点是经由喀麦隆国家测绘局收集到由法国FugroGeold SAS公司在2011年6月施测的三个GPS控制点,该成果引用ITRF 2008大地坐标框架,采用GRS 80椭球参数,UTM投影方式,所以我们必须熟悉和了解UTM投影的特点及在UTM投影下独立坐标系统建立,以便投影长度变形值满足根据《工程测量规范》所规定的不大于2.5cm/km的要求。
1 高斯投影与UTM投影的区别
高斯投影与UTM投影都是横轴墨卡托投影演变而来的,两者主要的区别如下:
1.1 投影几何方式不同
高斯投影是“等角横切椭圆柱投影”,投影后中央经线保持长度不变,即比例系数为1;UTM投影是“等角横轴割圆柱投影”,圆柱割地球于南纬80度、北纬84度两条等高圈,投影后两条割线上没有变形,中央经线上长度比为0.9996。
1.2 分带方式不同
两者的分带起点不同,高斯投影自0度子午线起每隔经差6度自西向东分带,第一带的中央经度为3°;UTM投影自西经180°起每隔经差6度自西向东分带,第一带的中央经度为-177°,UTM投影带号与高斯投影带号相差30,故高斯投影的第1带是UTM的第31带。
1.3 计算结果不同
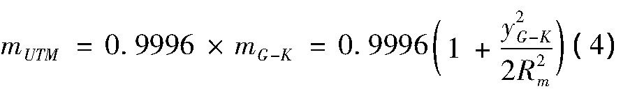
两者主要差别在比例因子上,高斯投影中央经线上的比例系数为1,UTM投影为0.9996。高斯投影与UTM投影可近似采用xUTM=0.9996×xG-K,yUTM=0.9996×yG-K,进行坐标转换(注意:如坐标纵轴西移了500km,转换时必须将y值减去500km乘上比例因子后再加500km)。
2 UTM投影变形相关计算公式
根据UTM投影与高斯投影主要存在一个中央经线投影长度比不一样,导致同一地区采用两种方式投影变形有差别。故可以根据xUTM=0.9996×xG-K,yUTM=0.9996×yG-K公式推导出UTM的长度比和投影长度变形比公式。
2.1 长度比公式:

2.2 用平面坐标(x,y)表示UTM投影长度比m的公式
根据高斯投影的平面坐标(x,y)表示长度比mG-K:

因为

2.3 UTM投影长度比mUTM如下:

把公式(3)带入公式(4)中整理后:

根据长度变形系长度比差值为1,可得UTM投影长度变形:

3 UTM投影变形量分析计算及独立坐标系的建立
3.1 变形量计算
同样以喀麦隆雅杜高速项目为例。由于项目线路呈东西走向,且项目一期路线较长(控制网全长约110km),而且地形高差较大(东西高差最大约600m),本项目位于东经9°10'至东经11°30',业主提供的控制点成果采用的中央子午线经度为9°;中心纬度约为3°58',最大高差600多米,测区平均高程约为510m。
为了更好的满足施工测量,首先要选择确立合理平面控制网的坐标系,以保证投影长度变形值不大于2.5cm/km的要求。坐标系根据长度投影变形值大小来确定,长度投影变形值由以下两部分组成:
(1)归算到测区投影面上的改正(简称归化改正),改正公式为:

式(7)中S为归算边长;Hm为测区平均高程值,单位为m;H0为投影面的高程值;R为地球半径,单位为m。
(2)投影到参考椭球面上的改正(简称UTM投影改正),改正公式为:

式(8)中S0为投影归算边长;ym为归算边两端点横坐标平均值;Rm参考椭球面平均曲率半径。
(3)每km长度投影总变形量公式为:

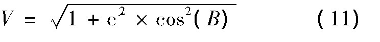
本项目采用的是GRS 80椭球参数,长半轴a=6378137m,短半轴b=6356751.956m,以下列举相关参数计算公式:
(4)第二偏心率公式:

(5)第二基本维度函数:

(6)极点处子午线曲率半径:

(7)参考椭球面平均曲率半径:

通过业主提供的相关已知数据及以上公式可以求得Rm=6356959.035m;V=1.003347803925,取测区平均高程为高程投影面,欲使投影改正值的绝对值小于2.5cm/km,通过式(9)可以求出横坐标Y的取值范围及变形曲线图,y取值范围约为:


,转化为经差即约为(1°34',1°40'),(-1°40',-1°34'),UTM投影变形图(见图1)。

图1 UTM投影变形曲线图 *载下**原图
如不以测区平均高程作为投影面时,可以通过式(9)可以得出ym与HO-Hm的归化改正关系略图(见图2)故我们可以同时利用UTM投影改正和归化改正来限制误差值,以保证《工程测量规范》中所规定的长度变形不大于2.5cm/km。

图2 归化改正关系图 *载下**原图
3.2 独立坐标系的建立
以喀麦隆雅杜高速公路为例,根据已算出的曲率半径及高程投影面为0m,通过公式(9)计算得出结果:雅杜高速公路项目抵偿前变形量δ=15.1cm/km,远大于《工程测量规范》所要求的2.5cm/km,无法满足施工放样精度要求(相对误差小于1/40000),需进行抵偿。
一般常用的抵偿方案有以下三种方案:
(1)改变投影面HO,选择合适的投影高程面以抵偿边长投影到参考椭球面的长度变形;
(2)改变中央子午线位置,即改变ym位置,按图1所示得ym取(174km,185.3km)最合适,以抵偿椭球面距离归算到UTM投影面的长度变形;
(3)即改变中央子午线位置又改变抵偿高程投影面HO,以抵偿边长经两项归算改正的变形;
经计算分析,由于变形量比较大无法通过方案1、2进行抵偿,需采用第三种方案,即中央子午线经度改为10°,抵偿高程投影面设为1950m,UTM投影长度变形值为-1.1cm/km,符合《规范》所要求的。(注:在进行GPS静态数据处理时,需把业主所提供的控制点的平面坐标进行换带转换。)
4 结语
在进行GPS静态数据解算之前一定要通过测区所在位置及投影方式来计算分析投影长度变形值是否符合《工程测量规范》中所规定的2.5cm/km,来选择合适的中央子午线和抵偿高程投影面,才能保证测区控制网的精度,以对设计和施工提供精度保障。也同时希望本论文可以为其他的测量工作者在海外项目工作中提供了解UTM投影原理及长度变形值分析计算的参考。
参考文献
[1] GB 50026-2007,工程测量规范.
[2] 孙祥元,梅是义.控制测量学.武汉:武汉大学出版社,2003.
[3] 熊忠招,浅谈UTM投影下独立坐标系的建立.地理空间信息,2010(2):41-43.
[4] 叶达忠,龙华.国际工程测量的UTM投影变形及抵偿分析.广西师范学院学报:自然科学版,2009(26):90-93.

声明: 我们尊重原创,也注重分享。有部分内容来自互联网,版权归原作者所有,仅供学习参考之用,禁止用于商业用途,如无意中侵犯了哪个媒体、公司、企业或个人等的知识产权,请联系删除,另本头条号推送内容仅代表作者观点,与头条号运营方无关,内容真伪请读者自行鉴别,本头条号不承担任何责任。