
一、电器安全标准
中国、日本、韩国的电饭煲电器安全标准见表1。

1、中国电器安全标准
当前我国电饭煲使用的电器安全标准为GB 4706.19- 2008《家用和类似用途电器的安全第2-15部分:液体加热器 的特殊要求》,该标准配合GB 4706.1-2005《家用和类似用 途电器的安全 第1部分:通用要求》使用,分别等同采用IEC 60335-2-15:2005和IEC 60335-1:2004,即我国的电饭煲安 全标准与IEC对应版本的标准是一致的,与新版IEC标准的 差异仅仅是版本的差异。
2、日本电器安全标准
日本电饭煲电器安全标准则是在参考IEC 60335的同时加入了本国自己的要求,差异化体现较为明显。
(1)注水试验
JIS C 9335-2-15日本液体加热器安全标准特殊要求的 15.201有如下要求:15.201装卸容器的时候,在拆下了容器的状态下,不应 受水的影响;通过下述试验检查其符合性;在拆下了容器的状态下,用以下的方法给该部分注入 100ml的水。水平放置电饭煲,利用如图1所示的装置给电饭煲的中心注水。

图1 注水实验
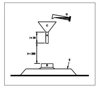
此时,在机身冷却了的状态下进行试验。在进行了以上处理之后,器具有可能无法经受16.3规定 的电气强度试验,而且爬电距离、电气间隙无法确保29章规定值的绝缘部分,通过目视检查确认不应有水迹。IEC 60335-2-15及EN 60335-2-15也有类似要求:15.103 电饭煲内部不应受水的影响。
通过下述试验检查其符合性:将电饭锅放在水平面上,取出盛米容器,用约含有1%氯 化钠的溶液30mL,通过内径8mm、长30mm、低端高于电饭 煲底部200mm的管子,在2s内倒入电饭锅内底部中心。
电饭煲应能承受16.3的电气强度试验。与日本安全标准的试验方法略有不同,溶液为1%的氯 化钠30mL,试验高度为200mm,如图2所示。

图2 30ML溢出试验视图
现行国标GB 4706.19-2008对电饭煲暂无此要求,2008 版安全国标GB 4706.19-2008将会根据新版的IEC标准进行 修订。
(2)电源插头
JIS C 9335-2-15日本电饭煲安全标准特殊要求的25.22 有如下要求:25.22除了JIS C 9335-1之25.22之外,增加:若器具在给电源线施加过度张力时,会导致烫伤等伤害,也可使用磁石式插头,如图 3所示。

图3 磁石式插头
3、韩国电器安全标准
韩国电饭煲电器安全标准适用情况与我国较为类似, 都等同采用IEC标准,差异也仅为与新版IEC标准的版本 差异。对应的KS C IEC 60335-2-15 :2013《家用和类似用 途电器的安全 液体加热器的特殊要求》等同IEC 60335-2- 15:2008 ,KS C IEC 60335-1:2013《家用和类似用途电器的 安全 第 1部分:通用要求》等同IEC 60335-1:2010 。2.4 小结 中日韩电饭煲安全标准基本一致,只是日本电饭煲安全 标准稍有差异,主要体现在注水试验及电源插头方面。
二、性能标准

(图文无关)
中国、日本、韩国的电饭煲性能标准见表 2 。

1、中国性能标准
我国现行电饭煲性能标准QB/T 4099-2008《电饭锅及 类似器具》,此标准适用于额定电压不超过250V,额定功率 不超过2000W,额定容积不超过10L的电饭煲及类似器具。
QB/T 4099-2008中主要要求如下:
(1)与食品接触材料的卫生要求;
(2)蒸煮容器的容积偏差要求,实际容积不小于额定 容积的95% ;
( 3)防粘涂层的附着力、耐磨性、防粘性;
( 4)保温温度,对于具有保温功能的电饭煲,其保温 温度应在65℃~80℃范围之间。测量进入保温状态后4h 、 4.5h 、5h温度的平均值,测温点仅一个点,距离锅底中心 20mm的位置;
(5)蒸煮均匀性;
(6)时间偏差,对于具有时钟功能的电饭煲,计时偏差应不大于120s/30d;
(7)气密性。2017年我国发布了QB/T 5129-2017《电磁加热电饭煲技 术要求及试验方法》,规定了电磁加热电饭煲的要求及试验 方法。
QB/T 5129-2017中主要要求如下:
(1)与食品接触材料的卫生要求;
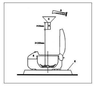
(2)防注水性能,1%氯化钠溶液100mL,如图4所示进 行注水,2s完成注水,注水1min后,容器加40%容积的水进 行烹饪到结束;

图4 注水示图
(3)小物件不启动性能;
(4)底部防水性能;
(5)电磁辐射,加权值不应超过30%;
(6)无容器识别;
(7)容器取放性能;
(8)保温温度,对于具有保温功能的电饭煲,其保温温 度不应低于60℃。方法同QB/T 4099-2008;
(9)蒸煮容器的容积偏差要求;实际容积不小于额定 容积的95%;
(10)防粘涂层的附着力、耐磨性、防粘性、耐久性、冷 热冲击;
(11)耐潮性能,在温度(40±2)℃,相对湿度95%的 试验箱中,额定电压供电,取出容器并保持盖子在打开状态 下保持至少2h;
(12)耐低温性能,在温度(-10±2)℃的试验箱中,额定 电压供电,取出容器并保持盖子在打开状态下保持至少2h;
(13)噪声,电饭煲工作时在非排气状态下产生的噪声 (声功率级)不大于55dB(A)。3.2 日本性能标准 日本现行电饭煲性能标准JIS C 9212-1993《电饭锅及电 子保温锅》,此标准适用于最大煮饭容量3.6L以下,额定功 率2kW以下,并主要用于家庭的电饭锅及电子保温锅,以及 最大保温容量3.6L以下,额定功率100W以下的家用电子保 温锅。
JIS C 9212-1993中除了性能要求外,还有结构、材料的 要求,绝大部分属于安全方面的要求,属产品综合性标准。下面主要介绍性能方面的相关要求:
(1)电源波动的影响;
(2)绝缘要求(常态绝缘电阻、耐压、溢流绝缘电阻、 注水绝缘电阻);
(3)温升要求(正常工作、非正常工作);
(4)限温装置要求;
(5)温度调节器要求;
(6)煮饭性能;
(7)保温性能,对于具有保温功能的电饭煲,其保温温 度应在67℃~78℃范围之间,无明显的烧焦、异味臭味以及 明显的颜色变黄现象。最大做饭容量做饭,保温12小时后测 试米饭温度,测量点如图5的内锅3处。

图5 保温温度测量点
各测量部位的最高温 度和最低温度的平均值与各测量值之差应在1.5℃范围内;
(8)电热线耐久性;
(9)锅盖开合耐久性:通电状态下1分钟10次的频率, 开合30000次,无使用障碍;
(10)拖线盘耐久性;
(11)电源线折弯;
(12)跌落冲击;
(13)保温、隔热材料耐燃性;
(14)内锅涂层耐磨性;
(15)定时、预约时间偏差。
3、韩国性能标准
韩国现行电饭煲性能标准KS C 9310-2013《电饭煲及保 温桶》,此标准适用于单相交300V以下,2kW以下的家用电 饭煲和300V以下,1kW以下的家用保温桶。JIS C 9310-1993中主要要求如下:
(1)煮饭性能;
(2)保温性能,同日本标准;
(3)锅盖开合耐久性,通电状态下1分钟10次的频率, 开合20000次,使用无障碍;
(4)电磁适合性;
(5)标识及使用说明书。
四、小结
我国电饭煲性能标准,目前现行有两份标准,对于电磁饭煲单独有一份标准,日韩无单独的电磁加热电饭煲性能标准;中日韩三个国家的电饭煲性能标准的差异比较大,尤其 是日本电饭煲性能标准,其属于产品综合性标准,其中包括性能、可靠性、安全等方面的要求,韩国电饭煲性能标准比 较简单,基本上就是煮饭性能及保温性能的要求,与日本标准基本一致。
中日韩三个国家的电饭煲性能标准主要差异:
(1)保温性能的保温温度及测试方法不同,日韩国家标准是一致的,我国电饭煲性能标准中无保温温度均匀性的要求;
(2)日韩国家的电饭煲性能标准中有锅盖开合耐久性要求,日本标准要求30000次,韩国标准要求20000次,我国的电饭煲性能标准无此要求;
(3)我国的电饭煲性能标准中对内锅涂层有附着力、 耐磨性、防粘性的要求,日本标准只有耐磨性的要求,测试方法也不同,我国标准要求是用二分之一最大煮饭量的生 米,搅拌转动26000次,日本标准要求是用海绵施加20N负荷,转动20000次,韩国标准中无内锅涂层的相关要求。
四、能效标准
中国、日本、韩国的电饭煲能效标准见表3。

1、中国能效标准
我国现行电饭煲能效标准GB 12021.6-2017《电饭锅能效 限定值及能效等级》,能效等级分为5等,具体要求见表4。

热效率计算公式:

η——热效率;1.16——常数;λ——修正系数,电磁感应加热的产品,取1.15,电热元 件加热的产品取1.0;内锅材质为非金属类的产品,取1.13, 对于电磁感应加热的非金属内锅类的产品,取1.15;G——试验前水量,kg;t2——试验后最高水温,℃;t1——试验前初始水温,℃;E——耗电量,W•h。对于内锅材质为金属类的电饭煲,其能效限定值为表4 中能效等级的4级;对于内锅材质为非金属类的电饭煲,其 能效限定值为表4中能效等级的5级。对于有两种或两种以 上内锅的产品,均应满足表4中对应的能效限定值。能效标识应体现热效率值、待机功率、保温能耗、内锅 材质,如图6所示。

图6 中国能效标识
2、日本能效法规
日本电饭煲能效法规要求,年能源消耗功率不能低于表5的基准值,从加热方式及煮饭容量进行了区分。

年能源消耗功率由以下公式计算:E={(A×NA)+(B×HB)+(C×HC)+(D×HD)}/1000 式中:E——能源消耗功率(kw•h/年);A——煮饭1次所需的耗电量(W•h/次);NA——1年煮饭的次数(次/年);B——保温1小时所需的耗电量(W•h/小时);HB——1年保温的时间(h/年);C——预约1小时所需的耗电量(W•h/小时);HC——1年的预约时间(h/年);D——待机1小时所需的耗电量(W•h/小时);HD——1年待机时间(h/年)。日本电饭煲能效法规要求说明书应标注:最大煮饭容 量、区分名、蒸发水量、年耗电量(年能源消耗功率)、1次煮 饭耗电量、保温1小时耗电量、预约1小时耗电量、待机1小时 耗电量,如图7所示。

日本领跑者计划规定了节能项目、节能标签样式及标 签内容,需标注节能标志、年能源耗电量、节能基准达成率、 预计年度电费,如图8所示。

图8 日本节能标签
3、韩国能效法规
韩国电饭煲能效等级分为5级,其中1级为最高,各等级产品的能效值应不低于表6的规定。

能效等级指标计算公式:

TEPS目标能耗标准按照表7。

1次做饭及保温耗电量计算公式:
E1=EC+Eh×6 式中:
E1——1次做饭及保温耗电量(W•h);
EC——做饭时耗电量(W•h);
Eh——保温1小时的耗电量(W•h);
6——保温6小时。
1人份耗电量计算公式:
ET=E1×150/M 式中:
ET——1人份耗电量(W•h/人份);
E1——1次做饭及保温耗电量(W•h);
M——做饭的大米重量(g);
150——1人份做饭的大米重量(g)。
使用1h的CO2排放量折算公式:
1小时耗电量(W•h) ×0.425;
年耗电量折算公式:
1次做饭及保温耗电量(W•h) ×438。
韩国电饭煲能效标识应标注:
1人份耗电量、1次做饭及 保温耗电量、使用1h的CO2排放量、年能源费用、能效能级。标签样式如图9所示。

图9 韩国能效标签
4、小结
我国电饭煲能效主要从热效率、保温能耗及待机能耗三个指标进行考评,分为5个等级,韩国电饭煲能效则是从能效等级指数及待机功率两个指标进行考评,也分为5个等 级,日本电饭煲能效未分等级,规定了不同煮饭容量的电饭 煲年能源消耗功率的限值。
日本领跑者计划规定了电饭煲节 能标签,我国及韩国电饭煲的也有能效标识要求。
中日韩电饭煲能效测定方法上有差异,我国电饭煲能效测定主要是加热水的热效率,日韩两国的测定方式比较接近, 考虑实际煮饭耗电量,日本电饭煲侧重的是年能源消耗功率, 韩国则是1人份耗电量与1人份目标耗电量进行比较分级。
四、结束语
本文通过对中日韩三个国家的电饭煲安全、性能、能效 标准内容的剖析,对三个国家的电饭煲产品标准差异进行了 解读。
中日韩三个国家的电饭煲产品标准,在安全标准上要 求基本一致,日本标准稍有差异,性能及能效标准上三个国 家的差异较大,尤其是能效标准。
