文章来源: 城市规划学刊(微信号:upforum),如需转载请联系原文平台。
作者:张艺帅 赵民 程遥
提要
我国各区域的发展条件和水平有着极大的差异性,城市群的发育和发展也有其阶段性和层级性,因而在规划目标和政策导向上不能一概而论。为此,在借鉴国内外相关研究的基础上,建构起以“网络联系”与“地域属性”分析相结合的网络模型和算法;进而按照所制定的城市群的识别规则,将所识别出的城市群分类为Ⅲ型城市群(初级发育阶段)、Ⅱ型城市群(中度发育阶段)、Ⅰ型城市群和超Ⅰ型城市群(较成熟阶段,分为两个层级)。为了加深对城市群本质意义的认知,对城市群的内部空间结构演化、产业组织特征等也做了解析。
关键词
城市群;网络联系;地域属性;识别和分类;政策启示

(全文刊登于《城市规划学刊》2020年第4期)
本文引用格式:张艺帅,赵民,程遥.. 我国城市群的识别、分类及其内部组织特征解析——基于“网络联系”和“地域属性”的新视角[J]. 城市规划学刊,2020(4): 18-27. ( ZHANGYishuai, ZHAO Min, CHENG Yao. Identification and Classification of Urban Clusters in China: The Perspectives of Network Connections and Local Attributes[J].Urban Planning Forum, 2020(4):18-27.)
城市群是国家参与全球竞争和世界经济重心转移的重要承载体(方创琳,2014)。2016年发布的国家“十三五”规划纲要谋划了全国城市群发展格局(图1),并作了宏观部署;2017年*党**的十九大报告也明确提出“以城市群为主体构建大中小城市和小城镇协调发展的城镇格局”。为了更好地落实中央的要求,在我国“十四五”规划纲要启动编制之际,本文再次审视城市群规划和发展问题——希冀科学地验证既有判断并获取新的认知和政策启示。

图1 “十三五”纲要提出的全国城市群总体发展格局
鉴于我国区域发展条件和水平的极大差异性,城市群的发育和发展必定有其阶段性和层次性,对其认定不能仅停留在“城市较为密集”的形态判断;同时,在规划目标和政策导向上亦不能一概而论。为此,本文在借鉴国内外相关研究的基础上,建构起以“网络联系”与“地域属性”分析相结合的网络模型和算法,并制定了城市群的识别规则,以实现对我国城市群的识别和分类。此外,为了加深对城市群本质意义的认知,还对城市群的内部空间结构演化、产业组织特征等做了解析。
1 相关研究综述
1.1 城市群理论研究与启示
1.1.1 国外的理论研究
19世纪末至20世纪,随着工业化和城市化的持续发展,各国学界和有关机构纷纷开展城市—区域问题研究,提出了诸多概念。例如英国的霍华德(Ebenezer Howard) 在提出田园城市的同时,也提出了城镇集群(town cluster) 概念;盖迪斯(Patrick Geddes) 则提出了“组合城市”(conurbation) 概念。国家层面,前苏联有“城市经济区”,美国有“大都市统计区”(metropolitanstatistics area),英国则有“地方行政区域结合体”(aggregates of localauthority area)(方创琳,2009)。这些概念均与城市群有一定联系。
1957年,法国地理学家戈特曼(Gottmann J,1957) 在研究美国东北海岸的都市区连绵化现象时,提出了“大都市带”(megalopolis) 概念,开创了现代城市群理论的先河。他还曾以2500万人口规模为标准,定义了当时的全球6个大都市带(其中包括我国的长三角地区)(Gottmann J,1976)。此后,斯科特(Scott A J, 2001) 提出了全球城市-区域概念,他认为全球城市-区域是全球化和本地化互动关系的连接点,是城市为应对日益激烈的全球竞争,与腹地区域内城市联合发展的一种空间形态。与传统的城市体系及城市群概念相比,城市-区域是一种产业阶段更为高级的城市集聚体,呈现出多中心、网络化的空间特征(赵渺希,黎智枫,钟烨,等,2016)。这一研究视野丰富了城市群概念的内涵。
随着经济全球化的兴起,1990 年代,卡斯特(Castells M) 提出了“流动空间”理论;进入21世纪以后,霍尔(Hall P) 等学者提出了多中心巨型城市-区域概念,并将泰勒(Taylor P) 等的全球和世界城市(GaWC) 连锁网络模型运用于大区域尺度,例如对西北欧8个巨型城市-区域的发展特征、成因机制、政策框架等的研究(Hall P G,Pain K,2006)。
1.1.2 国内的理论研究
我国对城市密集分布等经济地理现象的研究始于1950、1960年代,但直至改革开放后才趋于活跃。1983年,于洪俊、宁越敏在《城市地理概念》一书中介绍了戈特曼的理论,首次引入了“巨大城市带”概念(1983);此后,周一星(Zhou Yixing,1988) 提出了与“大都市带”相对应的中国概念——“大都市连绵区”,其定义为“大城市与周围地区保持强烈交互作用和密切社会经济联系, 沿一条或多条交通走廊分布的巨型城乡一体化区域”。而后,姚士谋(1992) 提出了城市群概念,认为城市群是“在特定地域范围内具有相当数量的不同性质、类型和等级规模的城市,依托一定的自然环境条件,以一个或两个超大或特大城市作为地区经济的核心,借助现代化的交通工具和综合运输网的通达性,以及高度发达的信息网络,发生与发展着城市个体之间的内在联系,共同构成一个相对完整的城市‘集合体’”,并认为当时中国拥有6个超大城市群及7个城镇密集区。此外,1998年颁布的《城市规划基本术语标准》(GB/T50280—98) 曾对“城市群”做过简要释义,即“一定地域内城市分布较为密集的地区”。
进入21世纪以后,经济全球化和信息化进程加快,加之深受“流动空间”等理论的启发,学界对城市群等新经济地理现象的认识也发生了嬗变。姚士谋等学者认为城市的相互联系作用更加强烈与紧密,地理距离作用逐渐弱化,城市群研究范式发生了“从中心地模式向网络化模式的转化”(姚士谋,周春山,王德,等,2016)。方创琳等对我国城市群形成和发育规律也做了深入探讨,提出城市群是指在特定地域范围内,以1个超大或特大城市为核心,由至少3个以上都市圈(区) 或大城市为基本构成单元,依托发达的交通通讯等基础设施网络,所形成的空间紧凑、经济联系紧密,并最终实现同城化和高度一体化的城市群体(方创琳,王振波,马海涛,2018)。朱小川等则在总结国内外学者界定与划分城市群的思路异同基础上,认为“城市间经济联系与相互作用是先于城市群而存在的,没有联系就没有城市群”(朱小川,吴培培,王伟,2016)。
1.1.3 理论启示
大体上,早先的研究较为强调特定空间范围内的城市密集和邻近等表征;后期的研究则更为重视城市单元之间的内在联系。与此对应,存在着“场所空间”与“流动空间”的不同研究视角;但两者并非是替代或迭代关系,而是有可能整合在一个研究框架内。正如卡斯特尔所言,随着信息社会的来临,资本、信息、技术等多种“流”要素环绕共筑了我们的社会;但在此过程中,“场所空间”并未消失,它与“流动空间”是全球化背景下产生的相互依存的空间形式(Castells M,1996)。据此,城市群作为我国城镇化的重要载体,应发挥“地方性”和“全国性”、甚至“全球性”功能,对其研究也应重视“场所空间”和“流动空间”的双重视角,并理解其综合性机理。
1.2 城市群划分标准及其方*论法**基础
城市群是一个复杂、开放的巨系统,其边界模糊,且处于动态的发展过程之中;因此有学者认为很难对其范围进行界定(陈守强,黄金川,2015)。多年来学界已经作了很多探索,但由于对城市群的认知与识别标准不同,所以划定标准也存在着较大差异。
在以往的研究中,对城市群的划分大致可分为“属性方法”(attribute approach)和“网络方法”(network approach)(表1)。前者较侧重于特定区域的城镇集聚和规模优势,或是基于多源数据直接建立指标体系,或是运用空间计量模型等方法获得判别指标;相关的指标包括总人口规模、城镇人口规模、GDP、非农产值、工业化水平等社会经济发展数据,以及兴趣点(Point of interest,POI)、夜间灯光数据等(周亮,赵琪,杨帆,2019;宁越敏,2011;张倩,胡云锋,刘纪远,等,2011;王丽,邓羽,牛文元,2013;代合治,1998;高晓路,许泽宁,牛方曲,2015);网络方法则强调特定区域内城镇节点之间的联系和分工,例如运用经济企业联系(赵渺希,黎智枫,钟烨,Derudder Ben,2016;张艺帅,赵民,王启轩,等,2018;张艺帅,赵民,2018;*子唐**来,李涛,李粲, 2017;程遥, 张艺帅, 赵民,2016)、互联网信息(王启轩,张艺帅,程遥,2018;陈群元,宋玉祥,2010;李长风,2014)、通信频次(高晓路,许泽宁,牛方曲,2015;董超,修春亮,魏冶,2014)、客运交通流(高晓路,许泽宁,牛方曲,2015;陈群元,宋玉祥,2010;罗震东, 朱查松, 薛雯雯,2015)、货运物流(王启轩, 程遥,2019) 等功能关联数据构建城市网络,对区域的城市体系、城市群空间结构加以识别,并对其分布特征和演化态势等加以阐释。

就方*论法**而言,属性方法对应于“场所空间”理论,建立在“中心地”“核心—边缘”等经典地理学基础之上,使用相对广泛,并具有常规统计数据可获性等优势,但并不一定能揭示城市间的真实联系。网络方法对应于“流动空间”思路,其实证性较强,近年得到了广泛应用;但这类基于流动空间理论框架的研究,其前提假设具有*界无**性或“去空间化”倾向,较适合全球大尺度的城市体系研究;在国家和区域尺度下,需要关注网络分析的极高空间敏感性。重要的是,在研究工作中要理解并力求克服其局限性(张艺帅,赵民,2018;程遥,李涛,2019)。
2 研究设计
2.1 研究的技术路线
为了克服单一研究视角可能产生的局限性,本文将场所空间与网络空间的研究思路综合起来,在经典的网络分析基础上增加对“邻近性”及“地域属性”的考量。
研究的具体技术路线如下:第一步,利用企业总部——分支关联数据,并在算法中融入邻近加权指标,从而建构起新的网络模型,以描绘全国城市-区域发展的总体图景,实现对全国城市群地域的初步识别;第二步,在上述工作的基础上,从城市等级关系、经济联系、城市数量、地理邻近、交通联系以及主要社会经济指标等角度综合评价各个城市群的发育阶段和发展水平;按照识别规则,将各个城市群分别归入Ⅲ型城市群(初级发育阶段)、Ⅱ型城市群(中度发育阶段)、Ⅰ型城市群(较成熟阶段);第三步,聚焦我国现阶段发育较成熟的Ⅰ型城市群,解析其空间结构演化特征、产业组织特征,以求深化对城市群内涵的认知。研究的逻辑过程如图2所示。

图2 研究的逻辑框图
2.2 研究数据与算法
本文研究中的企业数据采用中国工商企业数据库,数据收集截止日期为2018年12月,其中企业名录的范围覆盖全国31个省级政区(不含港澳台地区)。以往将经典社会网络(social network) 算法应用于城市网络关联评价时,一般只考虑流量联系,而忽略地域邻近的意义。为了克服这一缺陷,本研究在社会网络算法基础上,将地理邻近因子(诸如城市间的时间距离)作为加权变量而引入,以改良网络指标算法,从而获得网络联系与地域属性双重表征下的我国城市-区域发展的总体格局及城市群识别,主要指标如下所示:
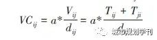
①邻近加权网络关联度:参考引力模型的经典公式

本研究在原有社会网络算法基础上,引入地域邻近性指标,可以得出城市节点i 与j之间的邻近加权网络关联度VCij为:

式中VCij为无向联系,a为邻近系数常数,dij为城市i 与j 之间的公路时间距离,该距离通过python程序在百度地图上获取。Vij 为两城市节点i与j之间的社会网络关联度T ij (正向) 与T ji (反向) 之和,数据的具体筛选及社会网络算法可参照相关研究(张艺帅,赵民,王启轩,等, 2018;张艺帅, 赵民,2018),在此不做赘述。由于网络计算结果需要按最大值进行标准化处理,故此处a 取1;本公式中,分子为加和计算,为保持公式中分子分母指数相同,分母中的时间距离指数取1(若指数取2,会使模型中邻近关联度大小随其上升快速衰减)。
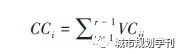
②邻近加权网络中心度:对于某城市节点i 而言,邻近加权网络中心度更能表征该城市在区域内的节点重要度,计算公式如下:

2.3 城市群识别规则
基于上文的阐释,以下从“网络联系”与“地域属性”两个维度来建立城市群识别规则。与网络联系对应的指标基本体现为经济联系,具体为表2中的①②③项;与地域属性对应的指标包括了地理邻近、城市数量及主要经社会济指标,具体为表2中的④⑤⑥项(表2)。

对城市群的识别按照如下规则:若满足指标①②④⑤,即若干城市已经围绕某个中心城市形成了一定程度的功能联系,并具有支撑功能联系的实体交通网络,但城市之间的关联度尚低,则将此类城市群归为初级发育阶段的Ⅲ型城市群,同时依据此规则识别城市群的扩展范围。若可同时满足指标①②③④⑤,即在前述特征基础上,非核心城市之间也产生了一定规模的功能联系,整体的网络关联已具雏形,则可将其归类为中度发育阶段的Ⅱ型城市群,同时依据此规则识别城市群的主体范围。综合各方专家对城市群划分标准的见解,在前述条件基础上,若某些城市群的经济社会发展水平已经能够达到⑥的门槛要求,则可将其定义为发育较成熟的Ⅰ型城市群。而后,从Ⅰ型、Ⅱ型城市群的扩展范围中,增补与核心城市毗邻且具有极强联系的城市,需满足与核心城市邻近网络关联度>7,且该关联大于城市群首位关联的70%,得到我国城市群识别的最终结果。
3 我国城市群的识别
3.1 全国城市-区域空间发展的总体格局
对全国城市-区域发展的总体格局做历时性分析,可以发现建设空间的演化非常显著;至2018年,已经可以从形态上识别出多个较为成型的城市群,这也就为下文单个城市群的识别提供了宏观图景(图3)。

图3 基于地域邻近性加权算法的我国城市-区域发展格局(2018 年)
根据本文的算法,全国城市网络中最强的城市间关联(前6位) 发生在上海—苏州、广州—佛山、深圳—广州、北京—天津、西安—咸阳、深圳—东莞之间,这个结果亦符合一般认知。这些城市之间空间邻近,社会经济发展已经实现了较高程度的一体化,这从一个侧面也印证了其所在的长三角、珠三角、京津冀等城市群已经较为成熟。
3.2 城市群的识别
基于全国城市-区域发展的总体格局,首先按照网络中心度与地域分布特征,遴选出各地区的核心及中心城市。然后依据前文所述标准,基于区域核心经济联系、地理邻近指标、城市数量等基础条件(表2的①②④⑤指标) 筛选出城市群,识别其类别,同时亦识别出其主体范围及扩展范围。识别结果如表3所示。

表3显示,本研究共识别出全国22个城市群,对照“十三五”规划提出的全国19个城市群的发展格局(图1),本文的识别结果与之大体相符,但也存在若干差异。例如,本文认为长江中游城市群尚未成型,当前仍是围绕着武汉、长沙、南昌三座省会城市各自形成相对独立的网络结构;规划中提出的北部湾城市群,也并未围绕北部湾与海南省西海岸形成相对完善的网络结构,大体上仅是围绕广西首府南宁而形成中部城市群,而海南则因建设自贸港成为了独立政策区域;东北地区的哈—长城市群也发育缓慢,目前所形成的只是围绕长春和哈尔滨这两个省会的相对独立结构。此外,天山北坡城市群的发育程度也偏低,存在较紧密联系的仅为乌鲁木齐市与昌吉州的若干县市。
3.3 城市群的分类
由于我国各个城市群之间的差别极大,发展诉求和潜能各异,因而对城市群加以分类具有重要意义。
在本研究识别出的城市群中,若未能识别出主体范围,即非核心城市间网络关联尚处于发展初级阶段的城市群,应划归为Ⅲ型城市群。处在这个阶段的城市群有11个,诸如中原城市群、山西中部城市群、黔中城市群等。
对其余可识别出主体范围的11个重点城市群(表4),依据本文所设定的门槛要求(表2指标⑥),再做进一步的分类识别:长三角、珠三角、京津冀、山东半岛、海峡西岸、成渝这6个城市群在人口规模、城镇化水平、GDP规模及人均GDP水平等方面均达到了本研究设定的Ⅰ型城市群标准,其余5个城市群则都可归入Ⅱ型城市群。在Ⅰ型城市群中,长三角、珠三角、京津冀的发育程度显著超过了其余3个城市群,故将其定义为超Ⅰ型城市群(表5,图4)。

图4 我国识别城市群分布示意(2018)
4 城市群的内部组织特征解析
城市群的本质意义在于其内部功能关联性。为了加深理解,下文首先以发展较为成熟的长三角、珠三角、京津冀,以及山东半岛、海峡西岸、成渝等城市群为对象,探究其内部空间结构演化、产业组织构成等特征。
4.1 城市群空间结构演化
首先是长三角、珠三角、京津冀城市群(图5)。自2008年起,在上海的引领下,长三角城市群的核心廊道不断强化和延伸,杭州、南京、苏—锡—常、宁波等重要城市也对城市群发展起了重要作用。至2018年,长三角核心廊道延伸至合肥,逐渐形成了层级化、扁平化、均衡化的网络空间结构;其中南京发挥了链接长三角东西两翼的节点作用。这一发展态势与国家关于长三角的发展战略基本契合。

图5 长三角、珠三角、京津冀三大城市群空间结构演化(2008、2013、2018)
珠三角虽然与长三角一样都有明显的“核心-边缘”结构,发展水平领先全国,网络结构日趋完善,但两者之间也存在显著差异:长三角依托上海这一具有全球影响力的中心城市,在“合—宁—沪—杭—甬”核心廊道的辐射带动能力支撑下,整个地区的网络化和面域化发展不断成熟,区域一体化发展与分工合作水平同步提高。珠三角则自始至终围绕湾区,以广州、深圳为核心,联动港澳,引领外围城市发展,逐渐形成了一个连绵发展和具有高度城市化水平的“巨型组合城市-区域”。
相比之下,京津冀的城市网络虽然也在迅速发育之中,但其区域空间组织的多中心均衡度仍较低,北京的强中心地位突出;在京津冀城市群内,无论是天津还是河北省会石家庄,均尚未能够有效分担北京在区域网络空间中的极核作用。但北京是国家首都,其区域辐射和引领作用应更为体现在全国层面,并发挥全球功能;在这个意义上,京津冀城市群的内部功能联系和分工亟需优化调整。
其次是山东半岛、海峡西岸、成渝城市群(图6)。山东半岛城市群是我国华东地区重要的城市群,南北对接京津冀和长三角城市群,西联中原城市群。以济南、青岛为双核心,整体城市网络正在逐步发育,非核心城市间的网络关联也有了雏形;但从网络关联强度来看,其内部围绕双核心的关联及中心城市之间的主廊道发育仍待加强。

图6 山东半岛、海峡西岸、成渝三大城市群空间结构演化(2008、2013、2018)
海峡西岸城市群以福州、厦门为双心引领,逐渐形成了由厦门、漳州、泉州、福州组成的沿海岸的多中心网络格局,其向西可辐射内陆腹地,向东则直接面向台湾地区,在促进祖国和平统一及两岸经济一体化等方面发挥重要作用。作为沿海高度开放地区,同时受制于多山地势,其多中心网络化格局将不断完善。
成渝城市群则是引领我国西部地区发展的重要增长极。从内部结构来看,该城市群拥有成都、重庆两座中心城市,但重庆的网络中心度及其对应的区域辐射能力远低于成都。未来如何发挥重庆直辖市的政策优势,与成都合理分工和协作,唱好成渝“双城记”,进而带动成渝城市群乃至西南地区腹地的高质量发展,将是需面对的重大挑战。
4.2 城市群内部分产业组织特征
产业经济是地区城市网络发育的关键因素,是城市和城市群健康发展的根本动力。仍采用中国工商企业数据库,以企业总部—分支机构的产业代码字段对若干重点城市群内部的分产业企业联系做分析,并绘制产业集群的图谱(图7,图中灰色线圈表示一个具有紧密产业链关系的簇群,灰色线圈和彩色圆的面积表明簇群/行业的联系度在城市群/某集群占比)。比较图中六个城市群的产业链构成,可发现有许多相似之处。例如从产业构成来看,建筑业(E) 及租赁和商务服务(L)、批发和零售业(F)等服务业是维系国民经济发展的基础产业,也是城市群内部围绕其组成产业簇群的重要支撑;再者,制造业(C) 与批发零售之间的关联性也极强,科研(M)、商务(L) 在其产业链的构成中也起到了关键作用,在长三角、珠三角等地显得更为突出,“世界工厂”地位可见一斑。

图7 长三角、珠三角、京津冀、海峡西岸、山东半岛、成渝六大城市群内部产业簇群示意
值得一提的是,围绕科研与技术服务(M) 所构成的产业簇群中,京津冀表现十分突出,这主要依托于北京的科研实力。2018年,北京的R&D支出经费在全国城市中一骑绝尘,其与GDP占比也很突出(图8)。从国际/国内创新排名认可度来看,北京也在各大权威榜单中名列前茅,长三角、珠三角主要城市的排名也相对靠前(表6)。这在一定程度表明,尽管当前我国不少科研领域距离世界顶尖水平仍有距离,但创新能力无疑将成为新时代引领我国城市群高质量发展的中坚力量。

图8 2018 年全国R&D 经费支出前15 强城市
5 结论
城市群的高质量发展和合理的规划引导,关系到我国经济社会发展的全局。城市群是一种空间现象,但经济社会发展规划和国土空间规划需要把握的绝非仅是城市群的外在形态。已经有许多研究阐述过城市群的功能性内涵;城市群本质上是一个经济社会、基础设施、生态环境等维度的命运共同体,制定城市群发展战略规划需要基于对城市群发展规律的科学研究和认知。
场所空间与流动空间是城市群空间研究中的两个视角,但二者并非截然对立,而是具有内在统一性。本文将地理邻近性因素作为加权参数融入“去空间化”的社会网络分析模型之中,形成了“网络关联”与“地域属性”的综合研究视角。从而可以更为清晰地揭示城市群内部空间组织的演化特征、城市群的空间边界变化等地域性特征,进而对我国城市体系的整体格局和城市群的发展阶段做出更为准确的描绘。
城市群的发育需要经历漫长的过程,并受制于诸多因素;对其发展水平和发展阶段的认识要基于客观评价。本文研究表明,我国现阶段发展较成熟的城市群数量还很有限;相当部分城市群仍处在初级发展阶段。即使在规划战略上希冀加快某些欠发达地区的城市群发展,但首先也要科学评估发展基础,合理确定发展目标和路径。
总之,要认清城市群发育的背后有着复杂的经济社会和资源环境因素,有着开发保护的共同利害关系和空间组织逻辑;并且不同地区发展条件和空间形态的差异巨大,有的趋于发展成为大都市连绵区,有的可建成“大湾区”;有的则缺乏内在的功能联系需求,即便看似城市较密集,但城市功能网络发育缓慢。因而,在国家发展规划和国土空间规划的制定中,既要审慎识别和认定城市群,更要准确分类和精准施策。
作者简介
张艺帅,同济大学建筑与城市规划学院,博士研究生
赵民,同济大学建筑与城市规划学院,高密度人居环境生态与节能教育部重点实验室,教授,博导,通讯作者
程遥,同济大学建筑与城市规划学院,高密度人居环境生态与节能教育部重点实验室,副教授
来源:城市规划学刊
注明:本公众号转载文章仅用于分享,不用于任何商业用途。如涉及版权问题,敬请后台联络授权或议定合作,我们会按照版权法规定第一时间为您妥善处理。
————————————
微信编辑:一米阳光