2020年一级建造师项目管理考试真题及答案解析
一、一级建造师项目管理2020年真题单项选择题(共70题,每题1分。每题的备选项中,只有1个最符合题意)
1.建设工程管理工作的核心任务是()。
A.质量管理B.安全管理C.目标控制D.增值服务
【答案】D
【解析】建设工程管理工作是一种增值服务工作,其核心任务是为工程的建设和使用增值
【来源】1010建设工程管理的内涵和任务
2.根据《建设项目工程总承包管理规范》,项目总承包方项目管理工作涉及()。
A.项目决策管理、设计管理、施工管理和试运行管理
B.项目设计管理、施工管理、试运行管理和项目收尾
C.项目决策管理、设计管理、施工管理、试运行管理和项目收尾
D.项目设计管理、采购管理、施工管理、试运行管理和项目收尾
【答案】D
【解析】项目总承包方项目管理工作涉及项目实施阶段的全过程,即设计前的准备阶段、设计阶段、施工阶段、动用前准备阶段和保修期。
【来源】1020建设工程项目管理的目标和任务
3.关于项目管理职能分工表的说法,正确的是()。
A.业主方和项目各参与方应编制统一的项目管理职能分工表
B.管理职能分工表不适用于企业管理
C.可以用管理职能分工描述书代替管理职能分工表
D.管理职能分工表可以表示项目各参与方的管理职能分工
【答案】D
【解析】管理职能分工表是用表的形式反映项目管理班子内部项目经理、各工作部门和各工作岗位对各项工作任务的项目管理职能分工。表中用拉丁字母表示管理职能。管理职能分工表也可用于企业管理。
【来源】1030建设工程项目的组织
4.下列工程项目决策阶段策划工作内容中,属于组织策划的是()。
A.设计项目管理组织结构
B.制定项目管理工作流程
C.确定项目实施期组织总体方案
D.进行项目管理职能分工
【答案】C
【解析】决策阶段组织策划的工作内容包括:①决策期的组织结构;②决策期任务分工;③决策期管理职能分工;④决策期工作流程;⑤实施期组织总体方案;⑥项目编码系统分析。
【来源】1040建设工程项目策划
5.下列工程项目策划工作中,属于实施阶段策划的是()。
A.项目实施期管理总体方案策划B.项目实施的风险策划
C.实施期合同结构总体方案策划D.生产运营期经营管理总体方案策划
【答案】B
【解析】A决策阶段组织策划;决策阶段合同策划;D决策阶段管理策划。
【来源】1040建设工程项目策划
6.与施工总承包模式相比,施工总承包管理模式在合同价格方面的特点是()。
A.合同总价一次性确定,对业主投资控制有利
B.施工总承包管理合同中确定总承包管理费和建安工程造价
C.所有分包工程都需要再次进行发包,不利于业主节约投资
D.分包合同价对业主是透明的
【答案】D
【解析】施工总承包管理模式与施工总承包模式相比在合同价方面有以下优点:
(1)合同总价不是一次确定,某一部分施工图设计完成以后,再进行该部分施工招标,确定该部分合同价,因此整个建设项目的合同总额的确定较有依据。
(2)所有分包都通过招标获得有竞争力的投标报价,对业主方节约投资有利。
(3)在施工总承包管理模式下,分包合同价对业主是透明的。
【来源】1050建设工程项目采购的模式
7.根据《建设工程项目管理规范》,项目管理实施规划应由()组织编制。
A.项目技术负责人B.项目经理
C.企业技术负责人D.企业负责人
【答案】B
【解析】
【来源】1060建设工程项目管理规划的内容和编制方法
8.根据《建筑施工组织设计规范》,关于施工组织设计审批的说法,正确的是()。
A.专项施工方案应由项目技术负责人审批
B.施工方案应由项目总监理工程师审批
C.施工组织总设计应由建设单位技术负责人审批
D.单位工程施工组织设计应由承包单位技术负责
【答案】D
【解析】施工组织总设计应由总承包单位技术负责人审批;单位丁[程施工组织设计应由施工单位技术负责人或技术负责人授权的技术人员审批,施工方案应由项目技术负责人审批;重点、难点分部(分项)工程和专项工程施工方案应由施工单位技术部门组织相关专家评审,施工单位技术负责人批准。
【来源】1070施工组织设计的内容和编制方法
【其他】夯实班、系统精讲班、深度精讲班、冲刺班、集训班、魔鬼训练营、点睛资料
9.施工过程中投资的计划值和实际值进行比较时,相对于工程合同价可作为投资计划值的是()。
A.投资估算B.工程结算
C.施工图预算D.竣工决算
【答案】A
【解析】在设计过程中投资的计划值和实际值的比较即工程概算与投资规划的比较,以及工程预算与概算的比较。
【来源】1080建设工程项目目标的动态控制
10.根据施工质量事故调查处理的一般程序,事故处理的最后一步工作是()。
A.提出事故鉴定结论B.提交事故处理结果
C.提交事故处理报告D.提出事故处理方案
【答案】C
【解析】施工质量处理程序:1.事故调查;2.事故的原因分析;3.制定事故处理的技术方案;4.事故处理;5.事故处理的鉴定验收;6.提交处理报告。
【来源】4050施工质量不合格的处理
11.项目各参与方沟通过程的五个要素是指沟通主体、沟通客体、沟通介体以及()。
A.沟通内容和沟通渠道B.沟通环境和沟通方法
C.沟通内容和沟通方法D.沟通坏境和沟通渠道
【答案】D
【解析】沟通过程五要素包括:沟通主体、沟通客体、沟通介体、沟通环境和沟通渠道。
【来源】1090施工企业项目经理的工作性质、任务和职责
12.取得建造师注册证书的人员是否担任工程项目施工的项目经理,取决于()。
A.建设行政主管部门B.建筑业企业
C.建设单位D.建设监理部门
【答案】B
【解析】大、中型工程项目施工的项目经理必须由取得建造师注册证书的人,员担任;但取得建造师注册证书的人员是否担任工程项目施工的项目经理,由企业自主决定。
【来源】1090施工企业项目经理的工作性质、任务和职责
13.某双代号网络计划如下图,关健线路有()条。

A.3B.1
C.2D.4
【答案】A
【解析】①-②-④-⑥-⑩-11;①-③-④-⑥-⑩-11;①-③-⑤-⑨-11。
【来源】3030建设工程项目进度计划的编制和调整方法
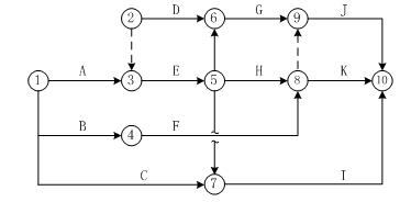
14.关于施工单位质量事故预防措施的说法,错误的是()。
A.控制建筑材料及制品的质量B.做好施工现场环境管理
C.对施工图进行审查复核D.选择正确的施工顺序
【答案】C
【解析】施工质量事故预防的具体措施:1.严格按照基本建设程序办事;2.认真做好工程地质勘察;3.科学的加固处理好地基;4.进行必要的设计审查复核;5.严格把好建筑材料及制品的质量关;6.对施工人员进行必要的技术培训;7.依法进行施工组织管理;8.做好应对不利施工条件和各种灾害的预案;9.加强施工安全与环境管理。
【来源】4050施工质量不合格的处理
15.住宅工程质量分户验收由()组织。
A.建设单位B.监理单位
C.施工单位D.质量监督单位
【答案】A
【解析】在住宅工程竣工验收前,建设单位应组织施工、监理等单位、依据国家有关工程质量验收标准,对每户住宅及相关公共部位的观感质量和使用功能等进行检查验收。
【来源】4050施工质量不合格的处理
16.在安全生产管理预警体系中,技术变化的预警属于()系统。
A.内部管理不良预警B.外部环境预警
C.预警信息管理D.事故预警
【答案】B
【解析】一个完整的预警体系应由外部环境预警系统、内部管理不良的预警系统、预警信息管理系统和施工预警系统四部分构成。外部环境预警包括:①自然环境突变的预警;②政策法规变化的预警;③技术变化的预警。
【来源】5020建设工程安全生产管理
17.建设工程项目全面质量管理中的“全面”是指()的管理。
A.工程质量和工作质量B.决策过程和实施过程
C.管理岗位和工作岗位D.全方位和全流程
【答案】A
【解析】建设工程项目的全面质量管理,是指项目参与各方所进行的工程项目质量管理的总称,其中包括工程(产品)质量和工作质量的全面管理。
【来源】4020建设工程项目质量控制系统
18.在编制施工成本计划时通常需要进“两算”对比,“两算”指的是()。
A.设计概算、施工图预算B.施工图预算、施工预算
C.设计概算、投资估算D.设计概算、施工预算
【答案】B
【解析】“两算”对比指的是施工图预算和施工预算。
【来源】2020成本计划
19.对建设工程项目整个实施阶段的进度进行控制是()的任务。
A.投资方B.DB总承包方
C.施工总承包管理方D.项目使用方
【答案】A
【解析】建设工程项目的总进度目标指的是整个工程项目的进度目标,它是在项目决策阶段项目定义时确定的,项目管理的主要任务是在项目的实施阶段对项目的目标进行控制。建设工程项目总进度目标的控制是业主方项目管理的任务(若采用建设项目工程总承包的模式,协助业主进行项目总进度目标的控制也是建设项目工程总承包方项目管理的任务)。
【来源】3020建设工程项目总进度目标的论证
20.根据《建设工程施工专业分包合同(示范文本)》,关于专业工程分包人责任和义务的说法,正确的是()。
A.分包人应允许发包人授权的人员在工作时间内合理进入分包工程施工场地
B.分包人必须服从发包人直接发出的指令
C.遵守政府有关主管部门的管理规定但不用办理有关手续
D.分包人可以直接与发包人或工程师发生直接工作联系
【答案】A
【解析】B、D选项错误:分包人须服从承包人转发的发包人或工程师与分包工程有关的指令。未经承包人允许,分包人不得以任何理由与发包人或工程师发生直接工作联系,分包人不得直接致函发包人或工程师,也不得直接接受发包人或工程师的指令。如分包人与发包人或工程师发生直接工作联系,将被视为违约,并承担违约责任。
C选项错误:遵守政府有关主管部广]对施工场地交通、施工噪声以及环境保护和安全文明生产等的管理规定,按规定办理有关手续,并以书面形式通知承包人,承包人承担由此发生的费用,因分包人责任造成的罚款除外。
【来源】6020建设工程合同的内容
21.下列建设项目信息中,属于经济类信息的是()。
A.工作量控制信息B.合同管理信息
C.质量控制信息D.风险管理信息
【答案】A
【解析】经济类信息包括:工作量控制信息、投资控制信息。B管理类信息;C技术类信息;D管理类信息。
【来源】7020建设工程项目信息的分类、编码和处理方法
22.在施工质量控制的基本环节中,作业活动过程质量控制包括()。
A.建设单位的质量控制和监理单位的质量控制
B.监理单位的质量控制和质量监督部门的质量控制
C.质量活动主体对工序质量偏差的纠正
D.质量活动主体的自我控制和他人监控
【答案】D
【解析】事中质量控制也称作业活动过程质量控制,包括质量活动主体的自我控制和他人监控的控制方式。
【来源】4030建设工程项目施工质量控制
23.根据《中华人民共和国建筑法》,工程监理人员发现工程设计不符合建筑工程质量标准或者合同约定的质量要求的,应当()。
A.报告总监理工程师B.报告建设单位要求设计单位改正
C.通知施工单位D.报告审图机构和建设行政主管部门
【答案】B
【解析】工程监理单位应当审查施工组织设计中的安全技术措施或者专项施工方案是否符合工程建设强制性标准。工程监理单位在实施监理过程中,发现存在安全事故隐患的,应当要求施工单位整改;情况严重的,应当要求施工单位暂时停止施工,并及时报告建设单位。施工单位拒不整改或者不停止施工的,工程监理单位应当及时向有关主管部门]报告。工程监理单位和监理工程师应当按照法律、法规和工程建设强制性标准实施监理,并对建设工程安全生产承担监理责任。
【来源】1110建设工程监理的工作性质、工作任务和工作方法
24.国际工程施工承包合同争议解决的方式中,最常用、最有效,也是应该首选的是()。
A.仲裁B.协商
C.调解D.诉讼
【答案】B
【解析】协商解决争议是最常见也是最有效的方式,也是应该首选的最基本的方式。
【来源】6070国际建设工程施工承包合同
25.建设工程质量监督机构对地基基础混凝土强度进行监督检测,属于政府质量监督中的()。
A.生产过程监督B.工程实体质量监督
C.工程质量行为监督D.施工管理状况监督
【答案】B
【解析】监督机构按计划在施工现场对建筑材料、设备和工程实体进行监督抽样,委托符合法定资质的检测单位进行检测。监督抽样检测的重点是涉及结构安全和重要使用功能的项目,例如,在工程基础和主体结构分部工程质量验收前,要对地基基础和主体结构混凝土强度分别进行监督检测;对在施工过程中发生的质量问题、质量事故进行查处。
【来源】4070建设工程项目质量的政府监督
26.下列计算方法中,不属于工程咨询合同咨询费计算方法的是()。
A.工程进度百分比B.人月费单价法
C.工程建设费用百分比D.按日计费法
【答案】A
【解析】工程咨询合同计价方式包括:人月费单价法、按日计费法、工程建设费用百分比。
【来源】6030合同计价方式
27.在采用因果分析图法进行质量问题原因分析,“混凝土振捣器损坏”属于()的因素。
A.人B.材料
C.机械D.环境
【答案】C
【解析】

【来源】4070建设工程项目质量的政府监督
28.某按单价合同进行计价的招标工程,在评标过程中发现某投标人的总价与单价的计算结果不一致,原因是投标人在计算时将钢材单价4000元/吨误作为2000元/吨。对此,业主有权()。
A.以总价为准调整单价B.以单价为准调整总价
C.要求投标人重新提交钢材单价D.将该投标文件作废标处理
【答案】B
【解析】单价合同的特点是单价优先,例如FIDIC土木工程施工合同中,业主给出的工程量清单表中的数字是参考数字,而实际工程款则按实际完成的工程量和合同中确定的单价计算。虽然在投标报价、评标以及签订合同中,人们常常注重总价格,但在工程款结算中单价优先,对于投标书中明显的数字计算错误,业主有权利先作修改再评标,当总价和单价的计算结果不一致时,以单价为准调整总价。
【来源】6030合同计价方式
29.某项目施工横道图进度计划如下表,如果第二层支设模板需要在第一层浇筑混凝土完成1天后才能开始,则有1天的层间技术间歇,正确的层间间歇是()。

A.Z1B.Z3
C.Z2D.Z4
【答案】B
【解析】第二层模板支设要在第一层混凝土浇筑完5天末,再等1天才开始。
【来源】超书题。
30.施工单位应定期组织事故发生时疏散及抢救方法的训练和演习,这体现了安全隐患治理原则中的()原则。
A.预防与减灾并重治理B.单项隐患综合治理
C.冗余安全度治理D.直接与间接隐患并治
【答案】A
【解析】预防与减灾并重治理原则:治理安全事故隐患时,需尽可能减少发生事故的可能性,如果不能安全控制事故的发生,也要设法将事故等级减低。但是不论预防措施如何完善,都不能保证事故绝对不会发
生,还必须对事故减灾作好充分准备,研究应急技术操作规范。如应及时切断供料及切断能源的操作方法;应及时降压、降温、降速以及停止运行的方法;应及时排放毒物的方法;应及时疏散及抢救的方法;应及时请求救援的方法等。还应定期组织训练和演习,使该生产环境中每名干部及工人都真正掌握这些减灾技术。
【来源】5020建设工程安全生产管理
31.某工程第三个月末时的已完工作实际费用(ACWP)为1200万元、已完工作预算费用(BCWP)为1000万元、计划工作预算费用(BCWS)为1500万元,根据赢得值法判断分析应采取的措施是()。
A.迅速增加人员投入B.增加高效人员投入
C.抽出部分人员,增加少量骨干人员D.用工作效率高的人员更换一批工作效率低的人员
【答案】B
【解析】

【来源】2030成本控制
32.关于横道图进度计划特点的说法,正确的是()。
A.可以识别计划的关键工作B.不能表达工作逻辑关系
C.调整计划的工作量较大D.可以计算工作时差
【答案】C
【解析】横道图计划表中的进度线(横道)与时间坐标相对应,这种表达方式较直观,易看懂计划编制的意图。但是,横道图进度计划法也存在一-些问题,如:
(1)工序(工作)之间的逻辑关系可以设法表达,但不易表达清楚。
(2)适用于手工编制计划。
(3)没有通过严谨的进度计划时间参数计算,不能确定计划的关键工作、关键路线与时差。
(4)计划调整只能用手工方式进行,其工作量较大。
(5)难以适应大的进度计划系统。
【来源】3030建设工程项目进度计划的编制和调整方法
33.某工程因脚手架坍塌造成960万元的直接经济损失,根据《生产安全事故报告和调查处理条例》,该事故属于()。
A.一般事放B.特别重大事故
C.重大事故D.较大事故
【答案】A
【解析】安全事故分级(死亡:3-10-30;重伤:10-50-100;直接经济损失:1000-5000-10000)
【来源】5030建设工程生产安全事故应急预案和事故处理
34.建设行政主管部门市场诚信信息平台上良好行为记录信息的公布期限一般为()个月。
A.3B.6
C.12D.36
【答案】D
【解析】不良行为记录信息的公布时间为行政处罚决定作出后7日内,公布期限一般为6个月至3年;良好行为记录信息公布期限一般为3年,法律、法规另有规定的从其规定。
【来源】6050建设工程施工合同实施
35.质量控制活动包括:①设定目标;②纠正偏差;③测量检查;④评价分析。正确的顺序是()。
A.①-②-③-④B.①-③-④-②
C.③-①-②-④D.③-④-①-②
【答案】B
【解析】质量控制是质量管理的一部分,是致力于满足质量要求的一系列相关活动。这些活动主要包括:
(1)设定目标:按照质量要求,确定需要达到的标准和控制的区间、范围、区域。
(2)测量检查:测量实际成果满足所设定目标的程度。
(3)评价分析:评价控制的能力和效果,分析偏差产生的原因。
(4)纠正偏差:对不满足设定目标的偏差,及时采取针对性措施尽量纠正偏差。
【来源】4010建设工程项目质量控制的内涵
36.项目管理机构进行成本核算,核算周期按()确定。
A.业主方的具体指示B.合同约定的核算周期
C.规定的会计周期D.项目实际施工周期
【答案】C
【解析】项目管理机构应按规定的会计周期进行项目成本核算。
【来源】2010成本管理的任务、程序和措施
37.下列施工成本管理措施中,不需要增加额外费用的是()。
A.组织措施B.合同措施
C.技术措施D.优化措施
【答案】A
【解析】组织措施是其他各类措施的前提和保障,而且一般不需要增加额外的费用,运用得当可以取得良好的效果。
【来源】2010成本管理的任务、程序和措施
38.关于“一揽子保险”(CIP)的说法,正确的是()。
A.内容不包括一般责任险B.不能实施有效的风险管理
C.保障范围覆盖业主、承包商及分包商D.不便于索赔
【答案】C
【解析】CIP是英文ControlledInsurancePrograms的缩写,意思是“一揽子保险”。CIP保险的运行机制是,由业主或承包商统一购买“揽子保险”,保障范围覆盖业主、承包商及所有分包商,内容包括劳工赔偿、雇主责任险、一般责任险、建筑工程一切险、安装工程一切险。
CIP保险的优点是:(1)以最优的价格提供最佳的保障范围。(2)能实施有效的风险管理。(3)降低赔付率,进而降低保险费率。(4)避免诉讼,便于索赔。
【来源】6040建设工程施工合同风险管理、工程保险和工程担保
39.为减少环境因素对施工质量的不利影响,施工企业主要采取()方法。
A.风险控制B.动态控制
C.跟踪管理D.静态控制
【答案】A
【解析】环境因素对工程质量的影响,具有复杂多变和不确定性的特点,具有明显的风险特性。要减少其对施工质量的不利影响,主要是采取预测预防的风险控制方法。
【来源】4030建设工程项目施工质量控制
40.关于施工项目成本表格核算法的说法,正确的是()。
A.人为控制因素少、精度高B.项目财务部门比较常用
C.方便操作、但覆盖面较小D.对核算工作人员的专业水平要求较高
【答案】C
【解析】表格核算法是通过对施工项目内部各环节进行成本核算,以此为基础,核算单位和各部门定期采集信息,按照有关规定填制--系列的表格,完成数据比较、考核和简单的核算,形成工程项目成本的核算体系,作为支撑工程项目成本核算的平台。这种核算的优点是简便易懂,方便操作,实用性较好;缺点是难以实现较为科学严密的审核制度,精度不高,覆盖面较小。
【来源】2040成本核算
41.双代号网络计划中,某工作最早第3天开始,工作持续时间2天,有且仅有2个紧后工作,紧后工作最早开始时间分别是第5天和第6天,对应总时差是4天和2天。该工作的总时差和自由时差分别是()。
A.3天,0天B.0天,0天
C.4天,1天D.2天,2天
【答案】A
【解析】自由时差=min{5-5,,6-5}=0;总时差=min{0+4,1+2}=3
【来源】3030建设工程项目进度计划的编制个调整方法
42.关于承包人施工合同分析内容的说法,正确的是()。
A.应明确承包人的合同标的
B.分析工程变更补偿范围,通常以合同金额的一定百分比表示,百分比值越大,承包人的风险越小
C.合同实施中,承包人必须无条件执行工程师指令的变更
D.分析索赔条款,索赔有效期越短,对承包人越有利
【答案】A
【解析】B选项错误:工程变更的补偿范围,通常以合同金额--定的百分比表示。通常这个百分比越大,承,包人的风险越大。
C选项错误:在合同实施中,如果工程师指令的工程变更属于合同规定的工程范围,则承包人必须无条件执行;如果工程变更超过承包人应承担的风险范围,则可向业主提出工程变更的补偿要求。
D选项错误:工程变更的索赔有效期,由合同具体规定,一般为28天,也有14天的。一般这个时间越短,对承包人管理水平的要求越高,对承包人越不利。
【来源】6050建设工程施工合同实施
43.施工项目的专项成本分析中,“成本支出率”指标用于分析()。
A.工期成本B.成本盈亏
C.分部分项工程成本D.资金成本
【答案】D
【解析】资金与成本的关系是指工程收入与成本支出的关系。根据工程成本核算的特点,工程收入与成本支出有很强的相关性。进行资金成本分析通常应用“成本支出率”指标,即成本支出占工程款收入的比例,通过对“成本支出率”的分析,可以看出资金收人中用于成本支出的比重。结合储备金和结存资金的比重,分析资金使用的合理性。
【来源】2050成本分析和成本考核
44.评价和诊断项目质量控制体系的有效性,一般由()进行。
A.项目监理单位B.项目管理的组织者
C.项目咨询单位D.第三方认证机构
【答案】B
【解析】项目质量控制体系的有效性-一般由项目管理的组织者进行自我评价与诊断,不需进行第三方认证,其评价的方式不同。
【来源】4020建设工程项目质量控制体系
【其他】夯实班、深度精讲、魔鬼训练营、点睛资料
45.工程项目管理信息系统中,属于进度控制功能的是()。
A.合同执行情况的查询和分析B.编制资源需求量计划
C.根据工程进展进行投资预测D.根据工程进展进行施工成本预测
【答案】B
【解析】进度控制的功能:
(1)计算工程网络计划的时间参数,并确定关键工作和关键路线。
(2)绘制网络图和计划横道图。
(3)编制资源需求量计划。
(4)进度计划执行情况的比较分析。
(5)根据工程的进展进行工程进度预测。
【来源】7030建设工程管理信息化及建设工程项目管理信息系统的功能
46.梁板类简支受弯混凝土预制构件进场时应进行()检验。
A.混凝土强度B.预埋件
C.结构性能D.灌浆强度
【答案】C
【解析】(2)梁板类简支受弯预制构件进场时应进行结构性能检验,结构性能检验应符合国家现行有关标准的有关规定及设计的要求。
【来源】4020建设工程项目质量控制体系
47.各工作间逻辑关系表及相应双代号网图如下图。图中虛箭线的作用是()。

A.联系B.区分
C.断路D.指向
【答案】A
【解析】虚箭线是实际工作中并不存在的一项虚设工作,故它们既不占用时间,也不消耗资源,一般起着工作之间的联系、区分和断路三个作用。
(1)联系作用是指应用虚箭线正确表达工作之间相互依存的关系。
(2)区分作用是指双代号网络图中每一项工作都必须用一条箭线和两个代号表示,若两项工作的代号相同时,应使用虚工作加以区分。
(3)断路作用是用虚箭线断掉多余联系,即在网络图中把无联系的工作连接上时,应加上虚工作将其断开。
【来源】3030建设工程项目进度计划的编制和调整方法
48.关于招标信息发布的说法,正确的是()。
A.投资1000万的工程施工招标可以采用不公开的方式发布信息
B.招标公告只能在中国招标投标公共服务平台发布
C.自招标文件出售之日起至停止出售之日止,最短不得少于5天
D.投标人必须自费购买相关招标或资格预审文件,未中标时予以退还
【答案】C
【解析】A选项错误:招标信息应当公开。
B选项错误:依法必须招标项目的招标公告和公示信息应当在“中国招标投标公共服务平台”或者项目所在地省级电子招标投标公共服务平台发布。
D选项错误:投标人必须自费购买相关招标或资格预审文件。招标文件或者资格预审文件售出后,不予退还。
【来源】6010建设工程施工招标与投标
49.根据《中华人民共和国担保法》,建设工程中采用的投标保函、履约保函属于()担保。
A.保证B.抵押
C.留置D.定金
【答案】A
【解析】A选项:保证又称第三方担保,是指保证人和债权人约定,当债务人不能履行债务时,保证人按照约定履行债务或承担责任的行为。
B选项:抵押是指债务人或者第三人不转移对所拥有财产的占有,将该财产作为债权的担保。债务人不履行债务时,债权人有权依法从将该财产折价或者拍卖、变卖该财产的价款中优先受偿。
C选项:留置是指债权人按照合同约定占有债务人的动产,债务人不履行债务时,债权人有权依法留置该财产,以该财产折价或者以拍卖、变卖该财产的价款优先受偿。
D选项:当事人可以约定一方向另一方给付定金作为债权的担保,债务人履行债务后,定金应当抵作价款或者收回。给付定金的一方不履行约定债务的,无权要求返还定金;收受定金的一方不履行约定债务的,应当双倍返还定金。
【来源】6040建设工程施工合同风险管理、工程保险和工程担保
50.下列分部分项工程中,必须编制单项安全技术措施的是()。
A.室内隔墙砌筑B.女儿墙钢筋绑扎
C.基坑混凝土内支撑拆除D.地下室外墙防水施工
【答案】C
【解析】
【来源】
51.下列项目成本分析所依据资料中,可以计算项目当前实际成本,并可以确定变动速度和预测成本发展趋势的是()。
A.统计核算B.表格核算
C.会计核算D.业务核算
【答案】A
【解析】
【来源】2050成本分析和成本考核
52.下列事件中,承包人不能提出工期索赔的是()。
A.开工前业主未能及时交付施工图纸B.异营常恶劣的气候条件
C.业主未能及时支付工程款造成工期延误D.因工期拖延,工程师指示承包人加快施工进度
【答案】D
【解析】D选项只能索赔费用。
【来源】6050建设工程索赔
53.下列建设工程项目进度控制措施中,属于经济措施的是()。
A.增加进度控制的岗位和人员B.编制资源需求计划
C.比较分析工程物资的采购模式D.分析施工技术的先进性和经济合理性
【答案】B
【解析】A组织措施,C管理措施,D建设措施
【来源】3040建设工程项目进度控制的措施
54.企业最高管理者对职业健康安全管理体系进行评价,称为()。
A.初始状态评审B.管理评审
C.内部审核D.合规性评价
【答案】B
【解析】管理评审是由组织的最高管理者对管理体系的系统评价,判断组织的管理体系面对内部情况和外部环境的变化是否充分适应有效,由此决定是否对管理体系做出调整,包括方针、目标、机构和程序等。
【来源】5020建设工程安全生产管理
55.关于双代号时标网络计划的说法,正确的是()。
A.时间坐标系方向可以垂直向上B.节点中心必须对准相应时标位置
C.可以用水平虚箭线表示虚工作D.时间坐标必须是日历坐标体系
【答案】B
【解析】双代号时标网络计划的一般规定:(1)双代号时标网络计划必须以水平时间坐标为尺度表示工作时间。时标的时间单位应根据需要在编制网络计划之前确定,可为时、天、周、月或季。(2)时标网络计划中所有符号在时间坐标上的水平投影位置,都必须与其时间参数相对应。节点中心必须对准相应的时标位置。(3)时标网络计划中虚工作必须以垂直方向的虚箭线表示,有自由时差时加波形线表示。
【来源】3030建设工程项目进度计划的编制和调整方法
56.根据《财政部关于印发
A.有助于工程形成的其他材料费B.为管理工程施工所发生的费用
C.工程定位复测费D.企业管理人员的差旅交通费
【答案】C
【解析】其他直接费用,是指施工过程中发生的材料搬运费、材料装卸保管费、燃料动力费、临时设施摊销、生产工具用具使用费、检验试验费、工程定位复测费、工程点交费、场地清理费,以及能够单独区分和可靠计量的为订立建造承包合同而发生的差旅费、投标费等费用。
【来源】2040成本核算
57.某混凝上工程施工情况如下图,清单综合单价为1000元/m3,按月结算,根据赢得值法,该工程6月末进度偏差(SV)是()万元。

A.-215B.-200
C.-125D.-60
【答案】A
【解析】SV=BCWP-BCWS=1000×(2300×4+2500×2+1250)-1000×(2500×4+2600×2+1200×2)=-2150000
【来源】2030成本控制
58.根据《建设工程安全生产管理条例》,达到一定规模的危险性较大的起重吊装工程应由()进行现场监督。
A.施工单位技术负责人B.总监理工程师
C.专职安全生产管理人员D.专业监理工程师
【答案】C
【解析】依据《建设工程安全生产管理条例》第二十六条的规定:施工单位应当在施工组织设计中编制安全技术措施和施工现场临时用电方案,对下列达到一定规模的危险性较大的分部分项工程编制专项施工方案,并附具安全验算结果,经施工单位技术负责人、总监理工程师签字后实施,由专职安全生产管理人员进行现场监督,包括基坑支护与降水工程;土方开挖工程;模板工程;起重吊装工程;脚手架工程;拆除、*破爆**工程;国务院建设行政主管部门或者其他有关部门规定的其他危险性较大的工程。
【来源】5020建设工程生产安全管理
【其他】夯实班、深度精讲、魔鬼训练营、点睛资料
59.根据《建设项目总承包合同示范文本(试行)》,关于建设工程项目发包*权人**利和义务的说法,错误的是()。
A.负责办理项目的审批、核准或备案手续,取得项目用地的使用权
B.履行合同中约定的合同价格调整、付款、竣工结算义务
C.发包人认为有必要的时候,有权以书面形式发出暂停通知
D.发包人对因承包人原因给发包人带来的损失不能提出赔偿
【答案】D
【解析】按照《建设项目工程总承包合同示范文本(试行)》CF-2011-0216,发包人的主要义务和权利如下:
(1)负责办理项目的审批、核准或备案手续,取得项目用地的使用权,完成*迁拆**补偿工作,使项目具备法律规定和合同约定的开工条件,并提供立项文件。
(2)履行合同中约定的合同价格调整、付款、竣工结算义务。
(3)有权按照合同约定和适用法律关于安全、质量、标准、环境保护和职业健康等强制性标准和规范的规定,对承包人的设计、采购、施工、竣工试验等实施工作提出建议、修改和变更,但不得违反国家强制性标准、规范的规定。
(4)有权根据合同约定,对因承包人原因给发包人带来的任何损失和损害,提出赔偿。
(5)发包人认为必要时,有权以书面形式发出暂停通知。其中,因发包人原因造成的暂停,给承包人造成的费用增加,由发包人承担,造成工程关键路径延误的,竣工日期相应顺延。
【来源】6020建设工程合同的内容
60.根据《建设工程施工合同(示范文本》,工程隐蔽部位经承包人自检确认具备覆盖条件的,承包人应在共同检查前()小时书面形式近知监理人检查。
A.48B.12
C.24D.36
【答案】A
【解析】除专用合同条款另有约定外,工程隐蔽部位经承包人自检确认具备覆盖条件的,承包人应在共同检查前48小时书面通知监理人检查,通知中应载明隐蔽检查的内容、时间和地点,并应附有自检记录和必要的检查资料。
【来源】6020建设工程合同的内容
61.在应急预案体系的构成中,针对具体设施所制定的应急处置措施属于()。
A.综合应急预案B.专项应急预案
C.现场处置方案D.应急行动指南
【答案】C
【解析】专项应急预案是针对具体的事故类别(如基坑开挖、脚手架拆除等事故)、危险源和应急保障而制定的计划或方案,是综合应急预案的组成部分,应按照综合应急预案的程序和要求组织制定,并作为综合应急预案的附件。专项应急预案应制定明确的救援程序和具体的应急救援措施。
【来源】5030建设工程生产安全事故应急预案和事故处理
【其他】夯实班、系统精讲班、深度精讲班、魔鬼训练营、点睛资料
62.对水泥土墙支护施工过程质量进行检测试验的主要参数是()。
A.抗拔力B.完整性
C.抗渗性D.锁定力
【答案】B
【解析】

【来源】4030建设工程项目施工质量控制
63.关于建设工程施工现场环境保护措施的说法,正确的是()。
A.主要道路应换土覆盖,定期洒水清扫B.施工现场必须使用预拌混凝土
C.施工现场可以焚烧材料包装物D.搭设专用封闭通道清运建筑物内垃圾
【答案】D
【解析】A选项错误:施工现场应积极推行硬地坪施工,作业区、生活区主干道地面必须用一定厚度的混凝土硬化,场内其他道路地面也应硬化处理。
B选项错误:大城市市区的建设工程已不容许搅拌混凝土。在容许设置搅摔站的工地,应将搅拌站封闭严密,并在进料仓上方安装除尘装置,采用可靠措施控制工地粉尘污染。
D选项错误:除设有符合规定的装置外,禁止在施工现场焚烧油毡、橡胶、塑料、皮革、树叶枯草、各种包装物等废弃物品以及其他会产生有毒、有害烟尘和恶臭气体的物质。
【来源】5040建设工程施工现场职业健康安全与环境管理的要求
64.根据《建设工程项目管理规范》,一级风险指()。
A.风险后果严重,可能在较大范围内造成破坏或人员伤亡
B.风险后果一般,对工程建设可能造成破坏的范围较小
C.风险后果在一定条件下可以忽略,对工程本身以及人员等不会造成较大损失
D.风险后果是灾难性的,并造成恶劣社会影响和政治影响
【答案】D
【解析】《建设工程项目管理规范》GB/T50326-2017将工程建设风险事件按照不同风险程度-分为四个等级:
①-级风险。风险等级最高,风险后果是灾难性的,并造成恶劣社会影响和政治影响。
②二级风险。风险等级较高,风险后果严重,可能在较大范围内造成破坏或人员伤亡。
③三级风险。风险等级一般,风险后果一般,对工程建设可能造成破坏的范围较小。
④四级风险。风险等级较低,风险后果在一定条件下可以忽略,对工程本身以及人员等不会造成较大损失。
【来源】1100建设工程项目的风险和风险管理的工作流程
65.下列成本计划中,用于确定责任总成本目标的是()。
A.指导性成本计划B.竞争性成本计划
C.响应性成本计划D.实施性成本计划
【答案】A
【解析】指导性成本计划是选派项目经理阶段的预算成本计划,是项目经理的责任成本目标。它是以合同价为依据,按照企业的预算定额标准制定的设计预算成本计划,且一般情况下以此确定责任总成本目标。
【来源】2020成本计划
66.某基础工程合同价为3000万元,合同总工期为30个月,施工过程中因设计变更,导致增加额外工程600万元,业主同意工期顺延。根据比例分析法,承包商可索赔工期()个月。
A.3B.4
C.8D.6
【答案】D
【解析】600÷(3000÷30)
【来源】6060建设工程索赔
67.下列项目质量风险中,属于管理风险的是()。
A.项目采用了不够成熟的新材料B.项目组织结构不合理
C.项目场地周边发生滑坡D.项目现场存在严重的水污染
【答案】B
【解析】A技术风险;C自然风险;D环境风险
【来源】4010建设工程项目质量控制的内涵
68.关于建设工程施工现场食堂卫生防疫要求的说法,正确的是()。
A.制作间灶台及周边应贴瓷砖高度不小于1.5m
B.项目管理人员定期进入现场食堂的制作间进行卫生防疫检查
C.食堂外应设置开放式泔水桶
D.炊事人员必须持岗位技能证上岗
【答案】A
【解析】B选项错误:非炊事人员不得随意进人制作间;
C选项错误:食堂外应设置密闭式泔水桶,并应及时清运;
D选项错误:炊事人员上岗应穿戴洁净的工作服、工作帽和口罩,并应保持个人卫生。
【来源】5040建设工程施工现场职业健康安全管理与环境管理的要求
69.关于建设工程项目总进度目标论证工作顺序的说法,正确的是()。
A.先进行计划系统结构分析,后进行项目工作编码
B.先进行项目工作编码,后进行项目结构分析
C.先编制总进度计划,后编制各层进度计划
D.先进行项目结构分析,后进行资料收集
【答案】A
【解析】建设工程项目总进度目标论证的工作步骤如下:
(1)调查研究和收集资料。
(2)项目结构分析。
(3)进度计划系统的结构分析。
(4)项目的工作编码。
(5)编制各层进度计划。
(6)协调各层进度计划的关系,编制总进度计划。
(7)若所编制的总进度计划不符合项目的进度目标,则设法调整。
(8)若经过多次调整,进度目标无法实现,则报告项目决策者。
【来源】3020建设工程项目总进度目标的论证
70.单代号搭接网络计划中,某工作持续时间3天,有且仅有一个紧前工作,紧前工作最早第2天开始,工作持续时间5天,该工作与紧前工作间的时距是FTF=2天。该工作的最早开始时间是第()天。
A.6B.0
C.3D.5
【答案】A
【解析】FTFi,j为工作i完成时间与其紧后工作j完成时间的时间间距。
ESj=ESi+Di+FTFi,j-Dj=2+5+2-3=6
【来源】3030建设工程项目进度计划的编制和调整方法
二、一级建造师项目管理2020年真题多项选择题(共30题,每题2分。每题的备选项中,有2个或2个以上符合题意,至少有1个错项。错选,本题不得分;少选或漏选,所选的每个选项得0.5分)。
71.某项目时标网络计划第2、4周末实际进度前锋线如下图,关于该项目进度情况的说法,正确的有()。

A.第2周末,工作C提前1周,工期提前1周
B.第2周末,工作A拖后2周,但不影响工期
C.第2周末,工作B拖后1周,但不影响工期
D.第4周末,工作D拖后1周,但不影响工期
E.第4周末,工作F提前1周,工期提前1周
【答案】BCDE
【解析】A选项错误:第二周末检查涉及A、B、C三个工作,A工作拖后2天,但A工作有2天的总时差,单独考虑A总工期不变;B工作拖后1天,总时差为1天,单独考虑B总工期仍然不变;C提前1天,无总时差,单独考虑C总工期会提前1天,所以第二周末检查时综合A、B、C三项工作来看工期是不会提前的。
【来源】3030建设工程项目进度计划的编制和调整方法
72.关于生产安全事故应急预案管理的说法,正确的有()。
A.生产经营单位应每半年至少组织一次现场处置方案演练
B.生产经营单位应每年至少组织一次综合应急预案演练
C.地方各级人民政府应急管理部门的应急预案应当报同级人民政府备案
D.非生产经营单位的应急管理方面的专家均可受邀参加应急方案的评审
E.施工单位应急预案涉及应急响应等级内容变更的,应重新进行修订
【答案】ABCE
【解析】D选项错误:参加应急预案评审的人员应当包括应急预案涉及的政府部门工作人员和有关安全生产及应急管理方面的专家。
【来源】5030建设工程生产事故应急预案和事故处理
73.下列建设工程项目计划中,存在关联关系的进度计划有()。
A.施工总进度计划和主体工程进度计划
B.主体钢结构施工进度计划和设备安装进度计划
C.设计进度计划和维修进度计划
D.项目月度计划和周计划
E.土建施工进度计划和主材供货进度计划
【答案】AD
【解析】在建设工程项目进度计划系统中各进度计划或各子系统进度计划编制和调整时必须注意其相互间的联系和协调,如:
(1)总进度规划(计划)、项目子系统进度规划(计划)与项目子系统中的单项工程进度计划之间的联系和协调。
(2)控制性进度规划(计划)、指导性进度规划(计划)与实施性(操作性)进度计划之间的联系和协调。
(3)业主方编制的整个项目实施的进度计划、设计方编制的进度计划、施工和设备安装方编制的进度计划与采购和供货方编制的进度计划之间的联系和协调等。
【来源】3010建设工程项目进度控制与进度计划系统
74.下列施工现场噪声控制措施中,属于控制传播途径的有()。
A.选用吸声材料搭设防护棚B.使用耳塞、耳罩等防护用品
C.改变震动源与其他刚性结构的连接方式D.限制高音喇叭的使用
E.进行强噪声作业时严格控制作业时间
【答案】AC
【解析】B接收者的防护;D、E严格控制人为噪声。
【来源】5040建设工程施工现场职业健康安全与环境管理的要求
75.建设工程索赔成立的前提条件有()。
A.与合同对照事件已造成了承包人工程项目成本的额外支出或直接工期损失
B.造成费用增加或工期损失的原因,按合同约定不属于承包人的行为责任或风险责任
C.造成费用增加或工期损失额度巨大,超出了正常的承受范围
D.索赔费用计算正确,并且容易分析
E.承包人按合同规定的程序和时间提交了索赔意向通知和索赔报告
【答案】ABE
【解析】索赔的成立,应该同时具备以下三个前提条件:
(1)与合同对照,事件已造成了承包人工程项目成本的额外支出,或直接工期损失。
(2)造成费用增加或工期损失的原因,按合同约定不属于承包人的行为责任或风险责任。
(3)承包人按合同规定的程序和时间提交索赔意向通知和索赔报告。
【来源】6060建设工程索赔
【其他】夯实班、系统精讲班、深度精讲班、冲刺班、魔鬼训练营、集训、点睛资料
76.建筑施工企业进行质量管理体系认证的程序包括()。
A.培训B.申请和受理
C.定期监督检查D.审核
E.审批与注册发证
【答案】BDE
【解析】在认证证书有效期内,出现体系认证标准变更、体系认证范围变更、体系认证证书持有者变更,可按规定重新换证。
【来源】4030建设工程项目施工质量控制
77.施工项目竞争性成本计划是()的估算成本计划。
A.选派项目经理阶段B.投标阶段
C.施工准备阶段D.签订合同阶段
E.制定企业年度计划阶段
【答案】BD
【解析】竞争性成本计划是施工项目投标及签订合同阶段的估算成本计划。这类成本计划以招标文件中的合同条件、投标者须知、技术规范、设计图纸和工程量清单为依据,以有关价格条件说明为基础,结合调研、现场踏勘、答疑等情况,根据施工企业自身的工料消耗标准、水平、价格资料和费用指标等,对本企业完成投标工作所需要支出的全部费用进行估算。在投标报价过程中,虽也着重考虑降低成本的途径和措施,但总体上比较粗略。
【来源】2020成本计划
78.根据《建设工程安全生产管理条例》,施工单位应当组织专家进行专项施工方案论证的有()。
A.脚手架工程B.拆除*破爆**工程
C.深基坑工程D.地下暗挖工程
E.高大模板工程
【答案】CDE
【解析】涉及深基坑、地下暗挖工程、高大模板工程的专项施工方案,施工单位还应当组织专家进行论证、审查。
【来源】5020建设工程生产安全管理
79.下列影响工程进度因素中,属于承包人可以要求合理延长工期的有()。
A.业主在工程实施中增减工程量对工期产生不利影响
B.业主在工程实施中改变工程设计对工期产生不利影响
C.因进场材料不合格而对工期产生不利影响
D.因施工操作工艺不规范而对工期产生不利影响
E.突发的极端恶劣的气候对工期产生不利影响
【答案】ABE
【解析】双方应通过谈判明确,由于工程变更(业主在工程实施中增减工程或改变设计等)、恶劣的气候影响,以及种种“作为一个有经验的承包人无法预料的工程施工条件的变化”等原因对工期产生不利影响时的解决办法,通常在上述情况下应该给予承包人要求合理延长工期的权利。
【来源】6010建设工程施工招标与投标
80.直方图的分布形状及分布区间宽窄取决于质量特性统计数据的()。
A.最大值B.最小值
C.平均值D.标准偏差
E.离散性
【答案】CD
【解析】直方图的分布形状及分布区间宽窄是由质量特性统计数据的平均值和标准偏差所决定的。
【来源】4060数理统计方法在工程质量管理中的应用
81.根据《建设项目工程总承包管理规范》,工程总承包方在项目管理收尾阶段的工作有()。
A.办理决算手续B.办理项目资料归档
C.清理各种债权债务D.进行项目总结
E.考核评价项目部人员
【答案】BDE
【解析】项目管理收尾:办理项目资料归档,进行项目总结,对项目部人员进行考核评价,解散项目部。
【来源】1050建设工程项目采购的模式
82.下列施工质量事故发生原因中,属于技术原因的有()。
A.因地质勘察不细导致的桩基方案不正确B.因计算失误导致结构设计方案不正确
C.因施工管理混乱导致违章作业D.违反建设程序的“三边”工程
E.采用不合适的施工方法、施工工艺
【答案】ABE
【解析】C管理原因,D社会、经济原因
【来源】4050施工质量不合格的处理
83.项目风险管理过程中,风险识别工作包括()。
A.分析风险因素发生的概率B.确定风险因素
C.编制项目风险识别报告D.分析各风险的损失量
E.收集与项目风险有关的信息
【答案】BCE
【解析】项目风险识别的任务是识别项目实施过程存在哪些风险,其工作程序包括:
(1)收集与项目风险有关的信息。
(2)确定风险因素。
(3)编制项目风险识别报告。
【来源】1100建设工程项目的风险和风险管理的工作流程
84.关于施工项目安全技术交底的说法,正确的有()。
A.施工项目必须实行逐级安全技术交底
B.交底内容应针对潜在危险因素和存在问题
C.涉及“四新“项目,必须经过两阶段技术交底
D.定期向多工种交叉施工的作业队做口头技术交底
E.交底时应将施工程序向班组长进行详细交底
【答案】ABCE
【解析】D选项错误:定期向由两个以上作业队和多工种进行交叉施工的作业队伍进行书面交底。
【来源】5020建设工程安全生产管理
85.混凝土预制构件吊运时需考虑的质量控制措施包括()。
A.选择符合环保要求的吊装机械设备B.按照构作尺寸、重量选择吊具
C.编制专项方案并组织专家评审D.计算确定构件的吊点数量、位置
E.控制吊索水平夹角不应小于45度
【答案】ABDE
【解析】C错误:编制专项施工技术方案,无需组织专家评审论证。
【来源】4030建设工程项目施工质量控制
86.下列建设工程项目进度控制措施中,属于技术措施的有()。
A.分析装配式混凝土结构和现浇混凝土结构对施工进度的影响
B.采用网络计划技术优化工程施工工期
C.分析无粘结预应力混凝土结构的技术风险
D.通过比较钢网架高空散装法和高空滑移法的优缺点选择施工方案
E.通过变更落地钢管脚手架为外爬式脚手架缩短工期
【答案】ADE
【解析】B、C管理措施
【来源】3040建设工程项目进度控制的措施
87.下列建设工程项目施工生产费用中,属于直接成本的有()。
A.支付给生产工人的奖金B.周转材料租赁费
C.管理人员的办公费D.管理人员的差旅交通费
E.施工机具使用费
【答案】ABE
【解析】直接人工,是指按照国家规定支付给施工过程中直接从事建筑安装工程施工的工人以及在施工现场直接为工程制作构件和运料、配料等工人的职工薪酬。
直接材料,是指在施工过程中所耗用的、构成工程实体的材料、结构件、机械配件和有助于工程形成的其他材料以及周转材料的租赁费和摊销等。
机械使用费,是指施工过程中使用自有施工机械所发生的机械使用费,使用外单位施工机械的租赁费,以及按照规定支付的施工机械进出场费等。
其他直接费用,是指施工过程中发生的材料搬运费、材料装卸保管费、燃料动力费、临时设施摊销、生产工具用具使用费、检验试验费、工程定位复测费、工程点交费、场地清理费,以及能够单独区分和可靠计量的为订立建造承包合同而发生的差旅费、投标费等费用。
【来源】2040成本核算
88.关于施工现场文明施工措施的说法,正确的有()。
A.利用现场施工道路堆放砌块材料B.材料库房内配备保管员住宿用的单人床
C.闹市区施工现场设置2.5m高的围挡D.施工作业区内禁止随意吸烟
E.在总配电室设置灭火器和消防沙箱
【答案】CDE
【解析】A选项错误:施工现场道路畅通、平坦、整洁,无散落物;
B选项错误:建立材料收发管理制度,仓库、工具间材料堆放整齐,易燃易爆物品分类堆放,专人负责,确保安全。
【来源】5040建设工程施工现场职业健康安全与环境管理的要求
89.对业主而言,成本加酬金合同的优点有()。
A.可以通过分段施工缩短工期B.适用于技术简单、结构方案容易确定的工程
C.适用于时间紧迫的抢险救灾工程D.根据自身力量和需要,深入介入控制工程施工和管理
E.通过确定最大保证价格约束工程成本
【答案】ADE
【解析】对业主而言,这种合同形式也有一定优点,如:
①可以通过分段施工缩短工期,而不必等待所有施工图完成才开始招标和施工。
②可以减少承包商的对立情绪,承包商对工程变更和不可预见条件的反应会比较积极和快捷。
③可以利用承包商的施工技术专家,帮助改进或弥补设计中的不足。
④业主可以根据自身力量和需要,较深入地介人和控制工程施工和管理。
⑤也可以通过确定最大保证价格约束工程成本不超过某-限值,从而转移一部分风险。
【来源】6030合同计价方式
90.下列施工机械使用费控制措施中,属于控制台班数量的有()。
A.加强施工机械设备内部调配B.加强机械设备配件管理
C.加强设备租赁计划管理D.提高机械设备利用率
E.按油料消耗定额控制油料消耗
【答案】ACD
【解析】施工机械使用费台班数量控制:
(1)根据施工方案和现场实际情况,选择适合项目施工特点的施工机械,制定设备需求计划,合理安排施工生产,充分利用现有机械设备,加强内部调配,提高机械设备的利用率。
(2)保证施工机械设备的作业时间,安排好生产工序的衔接,尽量避免停工、窝工,尽量减少施工中所消耗的机械台班数量。
(3)核定设备台班定额产量,实行超产奖励办法,加快施工生产进度,提高机械设备单位时间的生产效率和利用率。
(4)加强设备租赁计划管理,减少不必要的设备闲置和浪费,充分利用社会闲置机械资源。B、E属于台班单价控制。
【来源】2030成本控制
91.下列工程施工变更情形中,由业主承担责任的有()。
A.不可抗力导致的设计修改B.环境变化导致的设计修改
C.原设计失误导致的设计修改D.政府部门要求导致的设计修改
E.施工方案出现错误导致的设计修改
【答案】ABCD
【解析】工程变更的责任分析与补偿要求:
(1)由于业主要求、政府部门要求、环境变化、不可抗力、原设计错误等导致的设计修改,应该由业主承担责任。由此所造成的施工方案的变更以及工期的延长和费用的增加应该向业主索赔。
(2)由于承包人的施工过程、施工方案出现错误、疏忽而导致设计的修改,应该由承包人承担责任。
(3)施工方案变更要经过工程师的批准,不论这种变更是否会对业主带来好处(如工期缩短、节约费用)。
【来源】6050建设工程施工合同实施
92.关于正式投标及投标文件的说法,正确的有()。
A.标书密封不满足要求,经甲方同意投标是有效的
B.项目经理部组织投标时不需要企业法人对于投标项目经理的授权书
C.通常情况下投标不需要提交投标担保
D.在招标文件要求提交的截止时间后送达的投标文件,招标人可以拒收
E.标书提交的基本要求是签章、密封
【答案】DE
【解析】A选项错误:标书的提交要有固定的要求,基本内容是:签章、密封。如果不密封或密封不满足要求,投标是无效的。
B选项错误:法定代表人的名章(或签字)。如果项目所在地与企业距离较远,由当地项目经理部组织投标,需要提交企业法定代表人对于投标项目经理的授权委托书。
C选项错误:通'常投标需要提交投标担保,有关投标担保有关事宜
【来源】6010建设工程施工招标与投标
93.某双代号网络计划如下图,关于工作时间参数的说法,正确的有()。

A.工作B的最迟完成时间是第8天B.工作C的最迟开始时间是第7天
C.工作F的自由时差是1天D.工作G的总时差是2天
E.工作H的最早开始时间是第13天
【答案】AD
【解析】

【来源】3030建设工程项目进度计划的编制和调整
94.在招标文件中要求中标人提交履约担保的形式有()。
A.房屋抵押权证B.保证金
C.由保险公司开具的履约担保书D.有价证券
E.商业银行开具的担保函
【答案】BCE
【解析】履约担保可以采用银行保函、履约担保书和履约保证金的形式,也可以采用同业担保的方式。
【来源】6040建设工程施工合同风险管理、工程保险和工程担保
95.关于工程项目成本核算的说法,正确的有()。
A.成本核算应坚持形象进度、产值统计、成本分析同步的原则
B.工程成本核算是企业会计核算的重要组成部分
C.工程项目内各岗位成本责任核算一般采用业务核算法
D.会计核算法人为控制因素较多、精度不高
E.施工单位应在项目部设成本会计进行成本核算
【答案】BE
【解析】A选项错误:成本核算应坚持形象进度、产值统计、成本归集同步的原则;
C选项错误:工程项目内各岗位成本责任核算一般采用表格核算法;、
D选项错误:表格核算法人为控制因素较多、精度不高
【来源】2040成本核算
96.下列成本分析工作中,属于综合成本分析的有() 。
A.年度成本分析B.工期成本分析
C.资金成本分析D.月度成本分析
E.分部分项工程成本分析
【答案】ADE
【解析】综合成本的分析方法包括:1.分部分项工程成本分析;2.月度成本分析;3.年度才能改变分析;4.竣工成本的综合分析。
【来源】2050成本分析和成本考核
97.装配式混凝土建筑预制构件的进场质量验收,对不允许出现裂缝的预应力混凝土构件应检验的内容包括()。
A.承载力B.挠度
C.抗裂D.强度
E.灌料强度
【答案】ABC
【解析】钢筋混凝土构件和允许出现裂缝的预应力混凝土构件应进行承载力、挠度和裂缝宽度检验;不允许出现裂缝的预应力混凝土构件应进行承载力、挠度和抗裂检验。
【来源】4040建设工程项目施工质量验收
98.下列工作流程组织中,属于管理工作流程组织的有()。
A.基坑开挖施工流程B.设计变更工作流程
C.投资控制工作流程D.房屋装修施工流程
E.装配式构件深化设计流程
【答案】BC
【解析】工作流程组织包括:
(1)管理工作流程组织,如投资控制、进度控制、合同管理、付款和设计变更等流程。
(2)信息处理工作流程组织,如与生成月度进度报告有关的数据处理流程。
(3)物质流程组织,如钢结构深化设计工作流程、弱电工程物资采购工作流程、外立面施工工作流程等。
【来源】1030建设工程项目的组织
99.关于建设工程项目总进度目标论证的说法,正确的有()。
A.总进度目标的论证涉及工程实施条件分析
B.总进度目标的论证是项目决策阶段的策划工作
C.总进度目标的论证应分析实施阶段各项工作之间的逻辑关系
D.论证前宜收集类似项目的进度资料
E.分析论证总进度目标实现的可能性应在项目实施过程中进行
【答案】AD
【解析】建设工程项目的总进度目标指的是整个工程项目的进度目标,它是在项目决策阶段项目定义时确定的,项目管理的主要任务是在项目的实施阶段对项目的目标进行控制。在进行建设工程项目总进度目标控制前,首先应分析和论证进度目标实现的可能性,E选项错误;
在项目的实施阶段,项目总进度应包括:(1)设计前准备阶段的工作进度。(2)设计工作进度。(3)招标工作进度。(4)施工前准备工作进度。(5)工程施工和设备安装进度。(6)工程物资采购工作进度。(7)项目动用前的准备工作进度等。建设工程项目总进度目标论证应分析和论证上述各项工作的进度,以及上述各项工作进展的相互关系,C选项错误。
在建设工程项目总进度目标论证时,往往还没有掌握比较详细的设计资料,也缺乏比较全面的有关工程发包的组织、施工组织和施工技术等方面的资料,以及其他有关项目实施条件的资料,因此,总进度目标论证并不是单纯的总进度规划的编制工作,它涉及许多工程实施的条件分析和工程实施策划方面的问题,B选项错误。
【来源】3020建设工程项目总进度目标的论证
100.下列双代号网络图中,存在的绘图错误有()

A.存在多个起点节点B.箭线交叉的方式错误
C.存在相同节点编号的工作D.存在没有箭尾节点的箭线
E.存在多余的虚工作
【答案】ABE
【解析】网络图绘图规则,会识图:1)一项工作应当只有唯一的一条箭线和相应的一对节点,且要求箭尾节点的编号小于其箭头节点的编号;2)不允许出现循环回路;3)在节点之间不能出现带双向箭头或无箭头的连线;4)不能出现没有箭头节点或没有箭尾节点的箭线;5)箭线不宜交叉。当交叉不可避免时,可用过桥法或指向法;6)双代网络图中应只有一个起点节点和一个终点节点;7)网络图节点的编号顺序应从小到大,可不连续,但不允许重复。
【来源】3030建设工程项目进度计划的编制和调整方法