中国便利店畅销品名单在去年首次发布的基础上,延续原筛选原则,在“品牌商品销售统计”、“品牌商品门店渗透统计”、“重点新品引入品牌统计”基础上,新增“非食品商品销售统计”与“快餐食品渗透统计”。
名单数据均来自于企业调研一手数据,共有46家连锁便利店企业参与,其中41家为便利店百强企业,拥有门店6.3万家。
便利店销售占比较高的香烟未纳入销售和门店渗透统计。
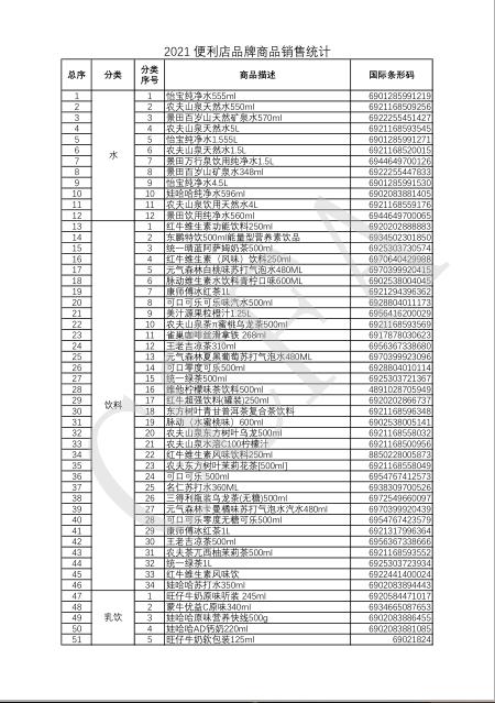
一、品牌商品销售统计
品牌商品销售统计基于样本企业销售额前100名商品。在各分类下,按单品汇总销售额由高到低排列,纳入统计的单品均需覆盖5个及以上样本企业。统计名单中,销售额千万元以上的商品有78个,比去年少16个。原统计名单中电池和日用品放在新增的“非食品商品销售统计”中,其他分类与去年一致,因此各分类单品数量有一定调整,变化较大的是饮料、牛奶,分别比去年多出11个、4个单品;啤酒、休闲食品分别减少7个、3个单品。
水和饮料分类销售额表现最好。水类商品中怡宝、农夫山泉、景田三个品牌依然保持较大优势,娃哈哈纯净水也依然在名单中。新计入统计的只有三个单品,占12个单品的25.0%。
饮料类商品共上名单18个品牌、34个单品,除红牛、东鹏、统一、元气森林、脉动、康师傅、可口可乐、美汁源、农夫山泉、东方树叶、茶π、雀巢、王老吉、维他等14个品牌依然在榜外,还新增水溶C100、名仁、三得利、娃哈哈4个品牌。宝矿力水特、雪碧、椰树和百事可乐未能保留在名单中。饮料类新纳入统计的有17个新品,新品占比50.0%。
乳饮类商品共5个品牌10个单品,单品数比去年多1个。旺仔、蒙牛、娃哈哈和养乐多4个品牌依然在名单中,新增饮乐多品牌。乳饮类新品只有4个,新品占比40.0%。
酸奶类商品有3个品牌5个单品,比去年少2个品牌2个单品。伊利安慕希及其3个单品依然在名单中,新增品牌君乐宝及伊利畅轻各1个单品,新品占比40.0%。
牛奶类商品有3个品牌12个单品,其中伊利和蒙牛依然占据主要份额,新增品牌“君乐宝”。2021年,5个单品新入名单,新品占比41.7%。
休闲食品也是便利店的重点品类,销售表现最好的依然是槟榔,本年度名单中未列出具体槟榔单品。休闲食品有4个品牌5个单品被纳入名单,除恰恰外,卫龙、乐事、有友都是新入品牌,休闲食品新品占比80.0%。
冰淇淋有2个品牌3个单品,比去年多两个单品,新增钟薛高品牌。伊利和钟薛高各新增一个单品,新品占比66.7%。
方便食品[1]有4个品牌4个单品,分别是娃哈哈莲子粥、康师傅方便面、三养方便面、优形沙拉鸡胸肉。三养、优形是新增品牌,双汇、统一没能保留在名单中。方便食品新品占比75%。
啤酒类商品共有5个品牌8个单品,比去年减少7个单品。百威、青岛、雪花、哈尔滨四个品牌依然在名单中,2021年新增品牌“乌苏”。珠江、嘉士伯、1664未能保留在名单中。啤酒类商品新品5个,新品占比62.5%。
白酒类商品有4个品牌5个单品。牛栏山、劲牌、汾酒依然在列,“五粮液”为新增品牌。2021年,新增单品4个,新品占比80.0%。
烘焙类商品依然只有桃李1个品牌1个单品。粮油类依然是鲁花5升压榨一级花生油。
二、品牌商品门店渗透统计
品牌商品门店渗透统计基于各样本企业销售量前100名商品。在不同分类下,按单品汇总销售量由大到小排列,名单商品均覆盖5个及以上样本企业,销售数量至少150万个销售单位。
与“品牌商品销售统计”名单相比,酸奶、冰淇淋类商品完全重合;牛奶类商品重合度高达90.0%;乳饮类商品重合度达85.7%;饮料、啤酒、水的商品重合度达到60.0%以上;方便食品重合度达到50.0%以上。休闲食品分类没有重合的商品。
与“品牌商品销售统计”名单中的品牌对比看,水类商品增加了“康师傅、冰露、今麦郎”;饮料品类增加了“雪碧”、“百事可乐”;乳饮品类增加了“伊利优酸乳”;牛奶品类增加了“光明”;方便食品增加了“统一”;休闲食品增加了“绿箭、真知、亲嘴、豫竹、小浣熊”等。
对比2020年,水、饮料分别增加4个、26个单品,方便食品、休闲食品、酸奶分别减少8个、6个、4个单品,啤酒也减少3个单品。其他品类在品牌和品项数上稍有微调。电池和日用品分类取消。
对比2020年商品渗透统计,水类品牌增加了“康师傅、冰露、今麦郎”;饮料品牌增加了“名仁、水溶C100、娃哈哈、康师傅、三得利和百事可乐”;乳饮、酸奶品类品的“旺仔、娃哈哈、蒙牛、伊利、养乐多、君乐宝”依然在列;牛奶品类新增“君乐宝悦鲜活、光明”品牌;方便食品依然是“统一、娃哈哈和康师傅”,“双汇”和“豫竹”退出名单;冰淇淋品牌依然是“伊利”,只是单品数减少2个;啤酒类品牌依然是“百威、青岛、雪花、哈尔滨”,“崂山”退出名单。
三、非食品商品销售统计
非食品作为结构性商品,各品类中也存在畅销品。非食品商品销售统计中的商品在各细分品类销售中排名前20,依据汇总销售额由高到低排列,覆盖5个及以上企业。满足以上条件的单品有52个。
卫生巾品类单品数和销售额均最高。“苏菲”和“七度空间”分别上榜9个和8个单品,“高洁丝”和“ABC”各上榜2个单品。
口腔护理类有9个单品,其中,“云南白药”牙膏5个,“黑人牙膏”3个,“纳美”牙膏1个,产品以薄荷和留兰香型两个口味为主。
洗护类除“海飞丝、清扬”洗发水,还有“舒肤佳”香皂和“吉列”剃须套装,共5个单品。
纸制品主要包含抽纸、手帕纸和湿巾系列产品。“心相印”和“维达”占据全部6个商品。
电池不仅销售额高,销量也大。“南孚”品牌占据绝对优势,以5号和7号的单粒装、双粒装和4粒装最为畅销。
衣物清洁类商品品牌众多,但满足条件的只有蓝月亮3个单品。
厨房清洁品类的“立白”洗洁精、*子烟电**的“悦刻”及文娱用品的卡游“超宇宙奥特”英雄卡牌都只有一个单品上榜,卡游是这三个品类中销售表现最好的单品。
四、快餐食品渗透统计
随着标准化产品赢利水平下降、消费分流,越来越多的满足即食需求的鲜食商品被引入门店。从实际调研看,蒸包、烤制品、煮蛋/煮玉米被六成以上便利店企业引入,是引入比例最高的快餐品类;其次是关东煮和炸品,被五成以上便利店企业引入;现制饮品被四成以上企业引入;现场制售热餐被三成以上企业引入;饭团、面包(冷藏、调理)/甜点、即食面及粉类引入比例较低,仅有两成以上企业;寿司仅有不到一成企业有售。
按照快餐食品各细分类销售额排名前10、且覆盖4个及以上便利店企业的标准统计,只有16个品牌满足要求。其中,销售额千万以上的有桃李、珍享、伊杉、齐汇、大成、御味香、鲁丰、然利、芊味、永和、圃美多8个品牌。不足千万的有九阳、正大、德满分、希波、正弘。
除了工业化生产的预包装食品,便利店企业也逐步开发定制商品和自有品牌商品,如唐久的品谷烘焙、唐唐热餐、样咖啡;乐豆家的乐咖啡和乐豆家鲜食;万逸的华赫永道鲜食和热饮商品等,品类逐渐向多温层商品延伸。
五、新品引入品牌统计
新品引入品牌统计基于样本企业对拟引入品牌商品的迫切度进行排名,仅纳入汇总分高且至少3个以上企业提出者。目前符合条件的具体品牌有9个,比去年减少15个品牌。9个品牌都是市场头部品牌,新品引入需求仅体现为规格、口味等不同。饮料品类是新品引入的重要品类,多家企业提到引入网红商品和进口商品。今年,甜点(其中的冷藏类)、快餐食品(米饭类)被多家企业提及引入,方便食品中的方便面/粉/饭也被多家企业提及,但因品牌分散未能符合统计条件。
休闲食品因品牌、品类众多,汇总的需求难以聚焦到具体品牌,但是新口味、新包装、进口、网红成为此品类引入的关键词。
[1] 指方便面、方便粉、自热米饭,以及开袋即食的食品。







来源:CCFA
免责声明:此图文信息来源于网络,转载是为传递更多信息,版权归原作者所有,如有侵权请联系删除