今天是周一,一个普通的工作日,照常打开了电脑流浪新闻热点,一个叫“trigger warning”话题上了热搜,点开一看,是一名叫@-皂白的微博大V发的微博。

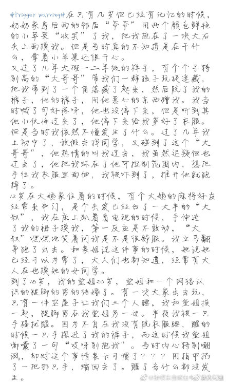
在她的备忘录里,她是这样写到,小学三年级的时候她被堂哥猥亵过,他把手伸进衣服里摸她的胸,不久后的某天中午他以为她睡着了亲他,摸她的胸和*体下**。当她告诉了奶奶之后,奶奶什么事情也没有做,事情就这样不了了之了。这件事情的给她带来的影响是导致长久的,以至于很长时间里她都容易产生羞耻心里。


然而现实的恐怖之处就在于,你以为这仅仅是个例,却发现这只是冰山一角,因为共鸣的网友的数目是非常惊人的。
以下来自网友的评论:
“真的很生气难过,更多的是悲哀,为什么我妈就……把这种事看的那么轻,我很小就知道这意味着什么,但我也不能怎么样,我妈都这个态度,别人又能怎么样,没准还要被指指点点,所以我从来没有告诉过别人,今天是第一次”
“我在小的时候也被猥亵过,比如校车上被摸屁股,比如跟男同学玩闹被摸胸,还有老师摸手,我初中的时候的班主任,很年轻,中午的时候我们一般都是不回家的,班主任就总是让我去办公室陪他,什么都不干,就让我看着他备课,但是每次他叫我去办公室,那些男同学就说老师看上我了,搞得我心理差点出问题。”
“ 我也经历过这种事 那已经是初二的时候了 现在我高三 但是这件事我真是不敢和朋友以及家人提起 那个人是我爸爸妈妈的朋友 我只是委婉的和我爸妈说让他们远离那个人 我真的花了好长时间才走出那段阴影 回想起来那段记忆真的很可怕”

最令人细思及恐地是,“这是大部人女生都有过的经历”!
以下来自微博上网友的经历:
有遇到过恋童癖的。

有很多垃圾人渣就是从小就养成的。

被亲戚猥亵,父亲视而不见的。

这些人是邻居“爷爷”、“哥哥”甚至是熟人。

受害者是不仅仅是女生还有男生。
在油管上非常火的脱口秀,其中有一期节目叫“博恩被强奸的故事”,这位艺人用哭腔说着:“我唯一神经的地方,就是把自己的故事当着三千人面说出来,还指望你们会笑。”

他说他自己高中时期在全男性的校园里就被每天被强制she精,在健身房里猛练重举就是为了能够推开来强吻他的男同学,或者狂练跑步就是能及时逃跑。

其实性骚扰是不分同性还是异性的,用博恩的话来说:“如果我明确表示不要,你还是强制跟我发生性关系,不管你什么身份,是男女朋友,还是先生太太,这都算是性侵害。”

当我们还在羞耻于性教育,我们这一代代成长起来的人,有多少人曾经生活在这样的环境里。还记得儿童性教育课本被撤事件后,当时@人类实验室曾经做过这样的实验,当这些实验对象大约都是5岁左右的孩子面对陌生人之时,一点危机防护意识都没有,当主持人用糖果苹果之类的点心诱惑孩子脱衣服的时候,这些孩子很轻易就选择了放下松懈的戒备心,这给视频中的孩子家长带来深深地震撼。
诚如博主所言,各种伤害儿童的事件仍在发生。那些恶魔,从未停下他们的魔爪。而家长,你却开始掉以轻心了。你们还再觉得性教育过于羞耻吗?

当伤害已经造成之后,我们到底还能做些什么,受害人应该有羞耻心而选择掩盖真相吗?答案是肯定的,绝不可能!
这个社会存在许许多多的不同的声音,如同这位网友所言,那些无聊又长舌的人觉得自己充满了温暖与理解,一提起受害者就要在脸盘子上摆起怜悯的神色,用唏嘘的声音公开宣告,她这辈子已经毁掉了,好可怜啊!无论做什么都没有意义了,已经是一个废人了!从今日起,她的脸上哪怕在有片刻的欢笑,我们也知道她只是强撑门面,因为她的内心已经千疮百孔,余生里有一定充满了痛苦与绝望!
这一次次的“怜悯”就像无处不在的录像带,日日夜夜循环提醒那次痛苦的经历,试问谁人能不崩溃,只有把受害者踏在脚下万劫不覆,他们才能找到施暴者的理由,才能让自己成为争议的化身。

痛苦往往不只来自罪犯的*行暴**,也有来自于看似同情的目光,我们应该明白,受到了伤害不是我们的错,而是那些施暴之人,他们该下地狱!而那些被伤害的孩子,都会重新开始美好生活,没有人必须一定要生活在痛苦之中备受煎熬,那不是你们该有的态度!
