Paxlovid和艾滋药物有何关系
在辉瑞官网中针对Paxlovid副作用有这样一段描述“如果您有未经治疗的 HIV 感染,PAXLOVID 可能会导致某些 HIV 药物在未来不再有效”,显而易见,Paxlovid部分本质确实是艾滋药
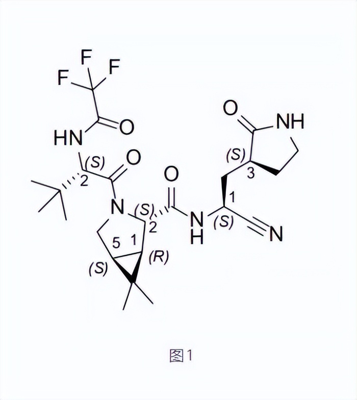
Paxlovid是由两种药片组成的复方抗病毒药物。其中一片是奈玛特韦(见图1) ,是一种新冠病毒的3CL蛋白酶*制剂抑** ,可以阻止新冠病毒复制;另一片是利托那韦(见图2) ,为HIV-1蛋白酶*制剂抑**和CYP3A4*制剂抑**,对抑制新冠病毒无明显效果,主要功能为提高前者活性及浓度

图一

图二
为什么确诊五天后不建议服用
Paxlovid药物建议在出现症状的五天内服用, 每天两次,每次服用3片,连续服用5天,整个疗程加起来有30片。 我国《新型冠状病毒肺炎诊疗方案(试行第九版)》也明确指出Paxlovid的适应人群为发病5天以内的轻型和普通型且伴有进展为重型高风险因素的成人和青少年(12-17岁,体重≥40kg)
那么为什么要强调五天以内服用,五天以后服用会出现什么副作用吗?
1、Paxlovid其作用原理并非杀灭病毒,而是阻止病毒复制;早期体内病毒含量水平低,抑制病毒复制会有明显效果;超过五天后,体内存在大量病毒,Paxlovid的抑制效果会变得微乎其微
2、Paxlovid建议适用人群本身概率带有基础病等,当超过五天后病毒大量复制严重危害身体机能,这时候再服用药物会进一步破坏免疫系统,损害肝、肾等排毒器官,得不偿失
哪里可以买到辉瑞
有玩笑说,喝水病毒七天好,吃药病毒一周好,那如果能买到Paxlovid买不买呢?
先说结论,年轻人看运气,家里有老年人最好要备着。以色列回顾性队列研究从获取2022年1月9日至3月31日期间接受Paxlovid治疗的数据,研究共纳入了109254名患者,其中3902名(4%)在研究期间接受了Paxlovid治疗。在≥65岁人群中,接受与未接受Paxlovid治疗的住院比例分别为14.7和58.9例/10万人-天,分别有2例和158例死亡;接受治疗患者的住院风险降低73%(95%CI:0.15~0.49),死亡风险降低79%。可以说,早期服用Paxlovid,针对老年人有着非常明显的效果。
该药物初期价格2980元,后降至2300元,目前在北京、兰州等地已纳入医保,但基本只向65岁以上老年人提供,具体获取难度未知,但传闻流程非常严格;京东曾短时间内上架,但两分钟内售罄;正规渠道该药品获取较为困难,国外邮寄、仿制药又有着假药及法律上的风险。朋友爷爷急用药,朋友联系了附近城市100+医院,得到的最好结果是必须住院然后专家评审,但现在没有安排住院的条件,最后用了10数倍于药品本身的代价,获得了药物。笔者建议如果真的急需急用,周边大型医院可能会有机会。