
摘要
地脚螺栓在输配电线路中起到连接铁塔与基础、承上启下的重要作用,关乎到整条线路的安全运行,一旦地脚螺栓出现纰漏,将极可能发生倒塔等致命性严重事故——本文对输电杆塔地脚螺栓相关知识进行梳理总结;此外,结合笔者自身实践,分享几则地脚螺栓工程案例,以加深设计人员对地脚螺栓的理解与认识!

1、概述
地脚螺栓在输配电线路中起到连接铁塔与基础、承上启下的重要作用,关乎到整条线路的安全运行,一旦地脚螺栓出现纰漏,将极可能发生倒塔等致命性严重事故,故在输配电线路中,地脚螺栓从设计开始即容不得半点马虎。
在现行输配电设计规程中,对地脚螺栓的相关规定不尽相同,本文将就此进行剥丝抽茧式的解析;此外,结合笔者自身实践,分享几则地脚螺栓工程案例,以加深设计人员对地脚螺栓的理解与认识!

2、地脚螺栓的两种标准
《架空输电线路基础设计技术规程》(DL/T 5219-2014)(简称"线基规")及《输电杆塔用地脚螺栓与螺母》(DL/T 1236-2013)(简称"杆塔地螺规")两现行规程均对地脚螺栓提出了相关要求,但两规程间存在一定异同。
输配电线路 公众号 编制
2.1 《架空输电线路基础设计技术规程》(DL/T 5219-2014)中相关规定
(1)地脚螺栓种类及抗拉强度设计值
"线基规"中3.0.22条给出了输配电线路中常用的6种地脚螺栓种类及抗拉强度设计值(N/mm2):

注:45号碳素钢因易断、焊接困难等原因,应慎用;当采用时,因采取相应的热处理措施;40Cr、42CrMo材质的地脚螺栓需进行调质处理,调质热处理后的材料机械性能应满足GBIT 3077-2015《合金钢结构》的要求,禁止焊接、热弯。
根据《钢铁产品牌号表示方法》(GB/T 221-2008)对以上地脚螺栓列出相关参数、依据如下:

(2)地脚螺栓化学成分及力学性能
上表"标准依据"所列的标准中对各型钢材进行了严格定义,下面就主要化学成分及力学性能列出如下:
表 Q235碳素结构钢化学成分及力学性能表


注:Q235钢要求不低于B级;屈服强度值与17版钢结构设计标准中的值一致。
表 Q345低合金高强度结构钢化学成分及力学性能表


注:现行18规程中的Q355代替08规程中的Q345钢;Q345(355)钢要求不低于B级。
表 35及45号优质碳素钢化学成分及力学性能表

表 40Cr及42CrMo合金结构钢化学成分及力学性能表

(3)关于屈服点的概念
在以上各钢材力学性能表中,出现了“屈服强度”、“上屈服强度”和“下屈服强度”三种提法,下面作一简要介绍:
对于屈服现象明显的钢材,在做应力-应变试验时,当外力超过材料的弹性极限之后,此时材料会发生塑性变形,即卸载之后材料后保留部分残余变形。

当外力继续增加达到一定值时,钢材会发生屈服而力首次下降(上图中C上处)之后,在力不增加(保持恒定)的情况下钢材仍能继续伸长(变形),表现在应力-应变曲线上就是出现平台(上图中C处)或者锯齿状的峰谷(上图中C下处),这种现象就称之为屈服现象。处于平台阶段的力就是屈服力,试样屈服时首次下降前的力称为上屈服力,不计瞬时效应的屈服阶段的最小力称为下屈服力。相应的强度即为屈服强度、上屈服强度、下屈服强度。
有些钢材无明显的屈服现象,通常以发生微量的塑性变形(0.2%)时的应力作为该钢材的屈服强度,称为条件屈服极限或屈服强度。
★钢材的“屈服强度”采用“屈服点”表示,而实际测量时一般按“下屈服强度”报出。2006年GB/T 700《碳素结构钢》标准修订时,率先与ISO 630标准接轨,将“屈服点”明确为“上屈服强度ReH”;但2008年GB/T 1591《低合金高强度钢》标准修订时,由于种种原因,将“屈服点”明确为“下屈服强度ReL”,致使我国工程用结构钢标准体系,不仅“上屈服强度ReH”和“下屈服强度ReL”并存。据实测数据分析,“上屈服强度ReH”与“下屈服强度ReL”强度差约10~20MPa。2018年修订GB/T 1591时,钢标委将2008版不同规格尺寸钢材的“下屈服强度ReL”指标相应地提高了10~15MPa,由“下屈服强度ReL”修改为“上屈服强度ReH”,从而完成了Q355钢替代Q345钢。

2.2 《输电杆塔用地脚螺栓与螺母》(DL/T 1236-2013)中相关规定
该标准对输电杆塔地脚螺栓与螺母的型式及尺寸、化学成分、力学性能等(包括试验方法)作出了全面规定,与"线基规"最大的不同在于:"杆塔地螺规"把地脚螺栓与螺母的种类向《紧固件机械性能》(GB/T 3098)方向进行了统一,地脚螺栓与螺母的种类按性能等级简化为4.6级、5.6级、8.8级三种。
(1)地脚螺栓与螺母的性能等级及保证荷载

注:地脚螺栓性能等级的代号,由点隔开的两部分数字组成:
点左边的数字表示公称抗拉强度Rm,公称的1/100,以MPa计;点右边的数字表示公称屈服强度(下屈服强度)ReL,公称或规定非比例延伸0.2%的公称应力Rp0.2,公称与公称抗拉强度Rm,公称比值的10倍。
公称抗拉强度和屈强比的乘积为公称屈服强度,以MPa计。
示例:产品的公称抗拉强度Rm,公称=800MPa和屈强比为0.8,其性能等级标记为8.8。

注:针对地脚螺栓推荐的4.6、5.6、8.8三个性能等级,把螺母的性能等级简化到5、6、8共3个等级来与之匹配;性能等级较高的螺母可以代替性能等级较低的螺母。
(2)地脚螺栓与螺母的化学成分及力学性能
表 地脚螺栓的化学成分及力学性能表


表 螺母的化学成分及力学性能表


2.3 "线基规"与"杆塔地螺规"两标准对比之小结
通过对两标准中的地脚螺栓抗拉强度设计值及其它参数进行对比,两规程的地脚螺栓种类大致可以归纳为以下对应关系:

(1)"线基规"中的地脚螺栓种类较为丰富,且《中国南方电网公司10kV和35kV配网标准设计》及《南方电网公司10kV~500kV配电线路杆塔标准设计》均采用了该分类法,在当下一段时期,"线基规"中的地脚螺栓分类法在输配电线路中将占据主导地位;
(2)"杆塔地螺规"按国标的规范方法对地脚螺栓进行了分类,大大减少了地脚螺栓种类,且规程中对地脚螺栓与螺母的型式及尺寸、化学成分、力学性能等(包括试验方法)作出了全面规定,"杆塔地螺规"可称为地脚螺栓的"百科全书";
(3)随着行业规程的进一步更新发展,"线基规"的地脚螺栓分类将朝着"杆塔地螺规"的国标方向进行统一,届时,为丰富地脚螺栓的强度区间,可适当增加地脚螺栓种类(如增加几种稍低强度的地脚螺栓)。

3、地脚螺栓
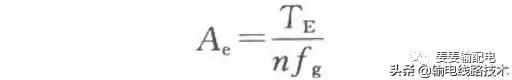
3.1 地脚螺栓承载力计算
根据"线基规"第7.8节,受上拔力作用的地脚螺栓,当与上拔力成对称布置时,单根截面的有效面积应按下式计算:

式中:
Ae--地脚螺栓的有效面积;
TE--上拔力设计值;
n--根数;
fg--地脚螺栓抗拉强度设计值。
通常情况下同一基塔的各腿地脚螺栓宜相同。对于存在拔腿的杆塔而言,通过计算拔腿地脚螺栓后,其余腿(包括压腿)的地脚螺栓可取与拔腿一致。
★《输电线路铁塔地脚螺栓的设计探讨》(高振华等著;华北电力技术No12 2008)一文中提出了下压地脚螺栓的设计方法,本处不再赘述。
3.2 地脚螺栓的锚固长度
根据《混凝土结构设计规范》(GB 50010-2010)第8.3节,当地脚螺栓净间距不小于4d(当小于4d时,应考虑群锚效应的不利影响)时,考虑充分利用地脚螺栓的抗拉强度,地脚螺栓锚入混凝土的最小锚固长度应按下式计算:

式中:
ξa——考虑地震影响的修正系数,抗震等级为四级或非抗震时取1.00,抗震等级为三级时取1.45,抗震等级为一、二级时取1.15;
α——外形系数,按光圆钢筋取0.16;
ft——混凝土轴心抗拉强度设计值,N/mm2,当混凝土强度等级高于C60时,按C60取值;
fg——地脚螺栓抗拉强度设计值,N/mm2;
d—地脚螺栓的直径,m。
上式中系数0.7是考虑地脚螺栓末端采用弯钩或机械锚固措施时,包括弯钩或锚固端头在内的锚固长度(投影长度)可取为基本锚固长度的70%。对于地脚螺栓末端弯钩或机械锚固措施的选择,当螺栓直径d=22~48mm时,宜采用弯钩式(L型或J型),当螺栓直径d>48时,宜采用锚板式(T型)、双头螺母型或棘爪型。
兼顾考虑地脚螺栓可能存在的锈蚀或油污等情况,各型地脚螺栓的锚固长度建议计算值列表如下:

注:8.8级地脚螺栓考虑采用C30混凝土,且具有可靠的底部锚固措施;实际应用中地脚螺栓的锚固长度一般都留有一定裕度,某图集C20混凝土参考取值:Q235:25d;35#、45#:30d、40Cr:35d。
3.3 地脚螺栓底端锚头的型式
"杆塔地螺规"共列出了5种地脚螺栓底端锚头形式:弯钩式(L型或J型)、棘爪型、锚板式(T型)、双头螺母型。
(1)弯钩式L型

(2)弯钩式J型

(3)棘爪型

(4)锚板式(T型)

(5)双头螺母型

3.4 地脚螺栓基础顶面露头设计
(1)地脚螺栓基础顶面露头设计考虑的因素主要有
a.地脚螺栓螺纹不应进入剪切面;
b.地脚螺栓露头长度除考虑底脚板厚度外,还须考虑其上垫板的厚度;
c.戴两个螺母紧固后,地脚螺栓顶宜露出2~3个丝扣(或至少平扣)。
(2)地脚螺栓的螺纹长度可参见3.3节表中b值
(3)螺母型式及尺寸

关于螺母的材质:"杆塔地螺规"中的地脚螺栓在2.2节中已明确;"线基规"中地脚螺栓的螺母,以往工程一般要求不得低于地脚螺栓材质,这主要是考虑到采用双帽具有较大的安全储备,否则地脚螺栓配套的螺母强度肯定需要比地脚螺栓更高。
(4)平垫圈的型式与尺寸

注:平垫圈参考以往工程及相关图集,一般情况下采用Q235钢即可。
3.5 单腿地脚螺栓布置形式
单腿地脚螺栓一般有以下几种布置形式:
(1)单腿2颗地脚螺栓,对称布置
如:10kV焊接塔,ZB17、ZB18型塔。

(2)单腿4颗地脚螺栓,对称布置
如:绝大多数方形铁塔。

(3))单腿8颗地脚螺栓,对称布置
如:500kV双回路组合角钢塔。

(4)单柱多颗地脚螺栓,圆形对称布置
如:钢管杆。

3.6 其它注意事项
(1)加工地脚螺栓栓应使用镇静钢和半镇静钢,禁止使用沸腾钢。Q235 钢可以采用20号钢代用,35号钢可以采用Q345、45号钢代用;35号、45号钢的焊接应在有资质的工厂内、严格按照焊接规范执行,选择碱性低氢焊条,并采取焊前预热、焊后保温等措施;
(2)设计人员应校核地脚螺栓底端锚头到基础钢筋、基础底面的距离,避免地脚螺栓与钢筋相碰,或者地脚螺栓穿出基础;
(3)地脚螺栓箍筋的直径不应小于地脚螺栓直径的1/4,且箍筋间距不大于5倍的地脚螺栓直径。

4、几个案例
结合笔者的工作实践,一起分享几则具有代表性的地脚螺栓案例。
4.1 螺母因疏忽以大代小,造成倒塔事故
某220kV线路某铁塔单腿设计采用4M42型地脚螺栓,但同一项目中存在其它铁塔有采用4M45型地脚螺栓的情况,施工单位错把M45的螺母戴在了M42的地脚螺栓上,在极端大风情况下,发生了倒塔事故。

★《输电线路铁塔制图和构造规定》(DL/T 5442-2010)附录A中有M45的地脚螺栓,但《输电杆塔用地脚螺栓与螺母》(DL/T 1236-2013)中已取消该类型,但需特别提醒的是:M27与M30之间、M24与M27之间、M20与M24之间也同样存在类似弄错型号的可能性,故必须从出厂源头上对地脚螺栓及配件进行规范标识和包装,以免现场弄错。
4.2 施工未进行螺栓复紧,钢管杆随风"尽情"摇摆
某220kV线路某钢管杆采用16M56地脚螺栓圆形对称布置,竣工投产3年后的某日,运行人员发现在大风情况下钢管杆塔身有较大摆动。经设计人员实际查看钢管塔底脚处法兰盘,可判定:由于底脚螺栓松动以及基础立柱顶面与钢管塔法兰盘之间存在缝隙,钢管塔在大风情况下塔身产生了较大摆动,钢管塔地基及基础未出现任何异常。


★★★处理方法:
1) 打开基础保护帽,清洗底脚螺栓、基础立柱顶面及保护帽内的钢管塔塔体表面;
2) 无风情况下,在线路前进方向及横担方向均架设经纬仪,进行钢管塔垂直度观测,一边观测一边用楔形钢板打入基础顶面与法兰盘的缝隙进行纠偏,直到两个方向观测钢管塔均达到铅垂为止;
3) 依次拧开底脚螺栓螺帽(每次只能拧开一个底脚螺栓的两螺帽),加上合适厚度(使螺帽能拧紧)的垫片,拧到三分之二紧,然后照此方法把相对位置的螺栓同样拧到三分之二紧,再把最初的螺栓进行完全紧固以及相对位置的螺栓进行完全紧固;……直到所有底脚螺栓均垫上合适厚度的垫片并保证其上的两个螺栓全部紧固为止;
4) 用防腐涂料(如环氧树脂或氯化橡胶)把基础保护帽内的所有铁质部件(包括底脚螺栓)进行防腐处理(涂刷2~3道),待干燥后按原设计重新做好基础保护帽并把基坑回填至原状。
4.3 地脚螺栓底端锚头与基础钢筋冲突
某110kV线路工程某型直线塔采用的地脚螺栓底端锚头为锚板式(T型),从基础受力设计角度来说,基础立柱的截面不需要很大,但实施过程中出现了地脚螺栓底端锚板超过基础钢筋,相互冲突的问题。

① 对于受力不是很大的地脚螺栓,不建议采用具有较大尺寸锚头的锚固型式(可采用三侧贴焊锚筋式);
② 基础设计时,应注意基础立柱断面与地脚螺栓的匹配。
4.4 地脚螺栓底端伸出基础底板
某500kV线路工程某转角塔处于灰岩地区,压基础设计高度较小,出现了地脚螺栓锚固长度超过基础底板的情况。
★基础设计时,基础高度应兼顾考虑地脚螺栓的锚固长度。
4.5 地脚螺栓的螺母高度严重缩水,验收不予通过
某220kV线路工程在杆塔验收时,发现部分地脚螺栓螺母高度不符合设计要求。具体情况及处理措施如下:

★地脚螺栓订货时,需对供货商进行详细交底,交货时严格进行检查验收,不符合要求的产品不予接收。
4.6 地脚螺栓型号或小根开错误
有时设计疏忽可能弄错地脚螺栓型号或小根开,施工时也可能出现该情况。
★设计、施工过程中需更加仔细(特别是存在材料代用的情况下)。

5、结语
输配电线路中的地脚螺栓根据不同材质、型号及锚固型式等具有多种规格,设计时除需满足结构强度及构造外,还应充分考虑与底脚板及基础匹配等问题;地脚螺栓加工时须严格按照相关标准执行;施工时须确保定位尺寸准确、配件无误。

地脚螺栓对输配电线路的安全起到至关重要的作用,作为输配电线路设计师,我们除了对规程规范要达到熟练掌握外,还需紧密结合工程实际情况及现场反馈,不断更新设计思路和方法,努力使自己成为一位善于总结归纳、循序进步的专业工程技术人员,不断攀登电力事业之高峰。
参考文献
【1】架空输电线路基础设计技术规程(DL/T 5219-2014);
【2】输电杆塔用地脚螺栓与螺母(DL/T 1236-2013);
【3】钢铁产品牌号表示方法(GB/T 221-2008);
【4】混凝土结构设计规范(GB 50010-2010);
【5】碳素结构钢(GB/T 700-2006);
【6】低合金高强度结构钢(GB/T 1591-2018);
【7】优质碳素结构钢(GB/T 699-2015);
【8】合金结构钢(GB/T 3077-2015);
【9】紧固件机械性能(GB/T 3098);
【10】输电线路铁塔制图和构造规定(DL/T 5442-2010);
【11】紧固件机械性能(GB/T 3098);
【12】高振华等.输电线路铁塔地脚螺栓的设计探讨[J].华北电力技术,2018(11-12);
【13】中国电力工程顾问集团有限公司 中国能源建设集团规划设计有限公司编著.电力工程设计手册 架空输电线路设计[M].北京:中国电力出版社2019;
【14】江苏省电力公司 江苏电网输变电工程标准化设计 杆塔地脚螺栓(2008.12);
【15】文中部分配图版权归原作者所有,一并表示致谢!
本文转载于 姜姜输配电 微信公众号,图文版权归属原作者。欢迎更多的朋友分享您们的工作经历、工作经验、工作想法。