传奇式的英国理论物理学家和畅销书《时间简史》作家霍金(Stephen Hawking)今天在英国剑桥的家中去世。
他在理论物理学的主要贡献是研究爱因斯坦建立的广义相对论,如何用数学奇点的方法来研究黑洞和宇宙大爆炸模型的关系,提出黑洞可能产生热辐射的猜测。在方*论法**上是推进了广义相对论和量子场论的统一理论研究。
他21岁就得了一种罕见的怪病进行性肌肉萎缩(ALS),后来还失去说话能力,依然坚持一流的理论物理研究成为传奇人物。他自己身患重病,却始终关注人类前途,包括现代化科学技术对人类的正面和负面影响,包括病毒、全球暖化、人工智能等等,通过科普畅销书、电影、电视剧影响公众,成为爱因斯坦之后,对大众媒体最有公众影响的知名科学家。

图:霍金与“谢耳朵”
霍金研究的领域,属于理论物理学中一个狭窄但是数学高深的一个领域:广义相对论和宇宙学中的黑洞理论。这不是我的专业。我推荐我的中国科技大学物理系的同班同学赵峥,也是我在普里戈金研究中心的师弟,他写的霍金故事真实生动。我把赵峥的文章介绍给大家,尤其是物理学的年轻人,作为对霍金科学贡献的纪念。
和国内媒体往往把国外名家描写得高不可攀不同。大家可以发现,霍金出身平民之家,上中学、大学时,数学也没有显露出天才。他真正的优势在好奇心,能提出物理学的基本问题,同时执着追求理论上的自洽优美和关心理论的经验证据,在广泛实验观察的基础上,追求更远大的统一理论。
霍金另一个不寻常的个性,是没有大科学家的贵族气。他可以和普通人交谈高深的宇宙学问题,把鲜为人知的黑洞理论,变成家喻户晓的知识,由此切入科学对社会和政策的关注,例如大众关心的医疗体制。霍金如此病重的残疾人还能坚持科研到76岁,没有英国非盈利的全民医保是不可能的。这是英国社会福利和美国的巨大差别。
中国学生纪念霍金,不用把他作为名人来崇拜,而是作为名师来学习。如霍金所继承的讲座教授牛顿所言,(研究)要站在巨人的肩上(而不是跪在巨人的膝下)。换言之,既要学到巨人的长处,也要看到巨人的局限,才能找到巨人的出发点,并超越巨人的成就。
大家读赵峥教授的文章,不难看到中国理论物理学的进展和希望。祝愿中国年青的物理学家,学习霍金的探索精神和人类关怀,为中国科学立于世界之林做出自己的贡献。
------------------------------------------------------------------------
赵峥教授:《霍金与黑洞》
霍金在1985年来过北京师范大学,他第一次来中国就只访问了位于合肥的中国科技大学和北师大两个地方,他在北师大的敬文讲堂(当时叫五百座教室)发表了演讲,并与北师大研究相对论的老师和研究生进行了学术交流。交流之余他提出,想游览长城,我们的几位研究生把他连轮椅一起抬上了长城。

图:霍金在剑桥大学校园
一、霍金
绰号“爱因斯坦”
现在分几个部分来介绍霍金在学术上的贡献。
首先让我们了解一下我们的这位明星——霍金。有人说他是当代的爱因斯坦,这个提法还是可以的。霍金1942年1月8日出生于牛津,为什么他出生于牛津呢?并不是因为他家在牛津,而是因为当时二战正在进行,英国和德国达成一个默契,就是英国的飞机不炸德国的哥丁根和海德堡,德国的飞机不炸牛津和剑桥,双方都不去炸对方的文化中心,所以他母亲就到牛津生了他,那地方比较安全一点,可以住几天。
他出生这一天,正好是伽利略逝世300周年,他经常跟人谈到这一点,意思就是你们看看,我像不像个再生的伽利略?但是他也跟别人说,其实那天出生的孩子有20万。
霍金的父母都是牛津大学毕业的,父亲学生物医学,母亲学文秘。由于家里不是很有钱,他小时候上不起那种很昂贵的私立学校,只是在一个中等偏上的学校读书。
当时英国的教育制度很严格,把学生每个年级都分成A、B、C三个班,功课最好的在A班,差一点的在B班,再差的在C班。每一年要进行一次调整,A班的二十名以下的学生要降到B班,B班的前二十名要升到A班,然后B班和C班也进行这种交换,所以学生压力都非常大。
霍金说第一学期他考了第二十四名,第二学期考了第二十三名,幸亏他们还有一个第三学期,考了第十八名,结果没有掉下去。他说对于掉下去的那部分学生,打击实在是太大了,他并不赞同这种制度。
在学校里,霍金的功课很一般,作业不整齐,字也写得不好,老师不怎么看好他。但是他在跟同学们聊天当中,一会儿谈一谈宇宙为什么会有红移呢?是不是光子在路上走得疲劳啦,然后就变红?一会儿又谈创造宇宙是否需要上帝帮忙啊?经常谈论这样的问题,所以同学们都比较看好他,给他取了个外号叫“爱因斯坦”。
牛津:人生的转折点
考大学时,霍金自己觉得考得不是很理想,但还是考上了牛津大学。他这个人原本不喜欢物理,他说中学的物理课程简单而且枯燥,没什么意思,化学就有意思多了,为什么呢?因为化学课有时候会出现一些意想不到的事情,比如爆炸啦,着火啦之类的。一直到中学的最后两年,受到一位老师的影响,他开始觉得物理还是挺有趣的,对整个宇宙都有所描述,对基本粒子也有描述,于是转而考了物理系,学习物理。
去牛津大学的时候正好赶上教改,英国也是在教改,只在刚进学校的时候考一次试,然后就不考了。他们的本科是三年,最后毕业的那一年再集中考一次试,在四天之内上下午连续考,把所有课全部考一遍。但是中间没有人管你,所以当时他们都很放松。
霍金回忆,他当时一天学习的时间平均不到一个小时。老师讲课也搞教改。老师来了,跟他们讲,现在讲电磁学,你们翻到第十章,你们回去自己看,后边有十三道题,过两个星期你们把作业交上来,于是老师就下课了,这课就算上完了。
下课后同学们就开始做题,别看只有十三道,这十三道很难,他的同宿舍同学都只做出了一道、两道的,其余的题都没做出来。到了最后那天,第二天就该上课交作业了,霍金才想起来作业还没做,于是他没去听该上的课,赶紧补作业。其他几个人就想,这小子这时候才想起做作业来,等着看他的笑话吧。到了中午的时候,那几个同学上完课回来,问他说,你的作业做得怎么样啊?他说:这些题确实不太好做,我没做完,只做了十道。可见当时他还是比较拔尖的。
霍金上学的时候本来不用功,但是最后快毕业的时候出了一个事情:就是他有一次系鞋带时突然发现自己的手不好使了,于是上医院检查。英国的医学还是比较发达的,很快就判明了,他得的病叫进行性肌肉萎缩,不治之症。他当时才二十几岁,得这么一个病,很快就要不行了。医生也很坦率,告诉他说:哎呀,年轻人怎么得这种病了,吃点好的吧,不行了。
他刚知道病情的时候,情绪一下就跌落到极点,买了些啤酒,成天在屋子里喝焖酒。他想自己大概快完了,也就两三年的事了。
过了一段时间,霍金发现一时半会儿还死不了。另外他有个女朋友,那个女朋友是牛津大学哲学系的学生,她坚持还要跟他好,说你生病也没关系,也要跟你好。霍金一想,他还要结婚,还要养家,不能就这么混,于是他开始努力了。经过一段时间的用功,霍金发现自己还挺喜欢学习,也挺适合搞研究的,于是他就慢慢钻进去了。这次生病是霍金一生当中的一个转折点,从不用功转为用功,开始去钻研物理。
剑桥:霍伊尔与西阿玛
到了大学毕业的时候,最后这四天的考试还是很厉害的。他当时神经衰弱,考得不太满意。他们屋子里有四位同学,都还想继续上研究生,考完以后,有三个人觉得考得不行,包括霍金,只有一个人觉得考得不错。最后就是觉得考得不错的那个人没考上,这三个感觉考得不行的倒还都通过了笔试。
口试的时候老师问霍金,你是留在牛津还是去剑桥?牛津和剑桥大概可以交换研究生。霍金说,你们要给我一等成绩我就去剑桥,你们要给我二等我就留在牛津,结果人家给了他一等,让他去了剑桥。
霍金到剑桥希望搞天体物理。其实他在大学时,原本对粒子物理有兴趣,但在六十年代,粒子物理跟现在有很大的差异。
那时候搞粒子物理的研究,确实就像霍金说的那样,就跟搞植物学分类相似。只研究粒子的对称性和分类,看不出什么有前景的东西来。那个领域里弱相互作用的方程没有,强相互作用的方程也没有,他觉得这太没意思了!而且发现的基本粒子越来越多,但是规律找不着,对此,他逐渐失去了兴趣。他想,起码宇宙学里还有一个爱因斯坦的相对论可以用,研究的内容还比较有趣,于是他就想改学天体物理。
最初霍金去剑桥,目的是要投奔霍伊尔。霍伊尔是著名的天体物理学家,他提出一个稳恒态宇宙模型,跟现在的大爆炸宇宙模型不一样。

图:霍伊尔和他的学生之一 Chandra Wickramasinghe
大爆炸宇宙就是伽莫夫的火球模型。这个模型认为宇宙刚开始起源于一个原始的核火球,然后膨胀开来,逐渐降低温度,物质密度逐渐减小,演化成了今天的宇宙。霍伊尔不同意火球模型,他认为宇宙确实是在膨胀的,但在宇宙膨胀过程中,不断有物质从真空中产生出来,所以膨胀的时候宇宙中物质的密度基本保持稳定,跟火球模型不一样。
霍伊尔不仅不同意火球模型这种观点,还讽刺火球模型的说法,说你那个模型干脆就叫大爆炸模型得了,结果这名字就用下来了,所以现在一直称这种火球模型为大爆炸模型。
起初霍金想做霍伊尔的研究生,但是霍伊尔不要他,可能是看霍金有病还是怎么的(他当时已经拄着拐棍了)。霍金没办法,只好找另外的教授。
剑桥还有一位天体物理学家叫西阿玛(Dennis William Sciama)。西阿玛是谁?霍金从来没听说过,可是也没法子,已经来了,霍伊尔又不要他,那就只好跟西阿玛吧。后来才发现,这是一个很好的选择。

图:霍金和其导师西阿玛
西阿玛这人有一个特点,从来不主动管学生,你不是当我研究生嘛,好,那就当我的研究生吧。但我也不管你,你不找我,我就不找你。如果你来找我,咱们俩就讨论。然后我可以给你建议,说你去找谁谁谁,或者你去看什么什么资料,看什么什么书,就这样。霍金逐渐发现,西阿玛的这种方式很好,很适合自己。
我刚开始知道西阿玛这种指导研究生的方式的时候,觉得这个导师简直不合格啊,他怎么不主动管学生呢。后来我了解到,霍金那个年龄层次的,全世界最著名的八、九个相对论专家当中,有四个是西阿玛的学生,可见他带博士生的办法是对的。博士生跟硕士生不一样,不应该扶着往上走,而应该让他们自己找路往前走。
二、相对论生涯
炮轰稳恒态宇宙模型
刚开始西阿玛没给霍金什么建议,也不管他。当时霍金还在想着霍伊尔那个模型,挺感兴趣。霍伊尔有个研究生叫纳里卡,是个印度人。霍金跑到纳里卡的办公室里,看他在干什么。
国外的研究生都是一个人一个房间,或者两个人一个房间,房间大概就是9平方米、12平方米,或者更大一点。里面每人一个书桌、一个书架,还有一部电话、一块黑板,没有其他东西。
霍金进去以后就问纳里卡,“你在干嘛呢?”他说,老师布置一个东西我在做呢,霍金说我帮你算,纳里卡说当然好了。有人帮着算还不好吗?于是霍金就帮着他算。
算来算去,霍金突然发现,霍伊尔这个模型大有问题,它方程里有一个系数是无穷大。霍金通过计算证明了这个东西是无穷大。你想,系数必须是有限值,不能是零和无穷大,否则系数就没用了。他发现了这个大问题,但霍伊尔还不知道。
一天霍伊尔做报告,在座的大概几十个人,讲完以后,就问,在座的有问题没有,这时霍金就拄着拐杖站起来了,说有个问题,我认为你那个系数是无穷大。
霍伊尔一听,知道这个问题很大,那脸立刻拉下来了,说不是无穷大。霍金说是无穷大。霍伊尔说不是。霍金说是。霍伊尔说你怎么知道,霍金说我算过这个东西。听众开始议论,最让霍伊尔受不了的是,有几个家伙居然笑起来了。他觉得实在是太栽面子了,但是没办法。
散会后,霍伊尔说,霍金是不道德的,既然知道我的论文有错,为什么不在会前向我提出,让我在会上当众出丑?与会的有些听众却认为,真正有错的是霍伊尔,为什么把不成熟的工作拿到大会上来讲?
霍金这一下子,给了稳恒态模型重重的一击。恰在那时候一些天文学家发现了微波背景辐射,这正是大爆炸模型预言的余热。从此以后,稳恒态模型就很少有人再涉及了,这下大爆炸模型完全占了上风。
奇点疑难:幸遇彭若斯
西阿玛一生在相对论上没什么太大的贡献。他自己说过,我对相对论有两个重要贡献,第一就是把数学家彭罗斯拉过来搞相对论,第二是培养了霍金这么一个学生,他很得意。
当时彭罗斯还不在牛津,是在伦敦的一个大学里工作。彭罗斯有时候来剑桥和西阿玛讨论问题,经西阿玛介绍,霍金认识了彭罗斯。

图:罗杰·彭罗斯
彭罗斯在研究什么呢?他在研究奇点定理,又叫奇性定理。奇点定理是怎么回事呢?广义相对论当中,黑洞里有一个奇点,曲率和密度都是无穷大。宇宙大爆炸的时候有一个初始的奇点,大坍缩的时候有一个终结奇点,曲率和密度也都是无穷大。奇点在相对论当中是个很严重的问题,因为绝大多数时空模型都有奇点。
当时苏联有一些科学家认为,奇点其实是因为我们把对称性想得太好造成的。比如说黑洞中心有个奇点,是因为我们把黑洞想像成,是在星体做精确的球对称塌缩时形成的,结果就缩成一个点。假如说不是很标准的完美球对称塌缩的话,星体中的物质就会从中间交叉错过去,不就不会形成奇点了吗?他们认为奇点其实是一个偶然的现象,只不过因为我们把对称性想得太好了才出现的。
但是彭罗斯不这么想,而且彭罗斯提出一个新概念,把奇点的定义做了一个发展,他把奇点看成是时间开始或者结束的地方。白洞里边的奇点是时间开始的地方,黑洞里边的奇点是时间结束的地方,宇宙大爆炸的初始奇点是时间开始的地方,大坍缩奇点则是时间结束的地方。
彭罗斯针对这个定义证明:一个合理的物理时空,如果因果性成立,有一点物质等等,在这些合理的条件之下,时空至少有一个奇点。或者说至少有一个过程,时间是有开始的,或者是有结束的,或者既有开始又有结束。
这个问题可是个大问题,因为时间有没有开始和结束的问题,古代就有人讨论,但那都是哲学家和神学家的事,现在搞物理的人出来说时间有没有开始和结束。那当然很引人注目了。
霍金对这个问题很感兴趣,他的博士论文的第一部分是写稳恒态宇宙模型的错误,第二部分就是对奇点定理给出了另外的证明。当时彭罗斯已经给出了第一个证明,是针对星体塌缩成黑洞的情况。霍金又给出了另外一个证明,是针对大爆炸宇宙的初始情况。
霍金自己的第一个工作就对奇点定理做出了贡献。他的第二个工作是黑洞面积定理,他认为黑洞的表面积随着时间前进只能增加不能减少。第三个重要工作,也是他一生当中最重要的工作就是证明了黑洞有热辐射,也就是霍金辐射,一会儿我还会讲。
后来他还有一些成果,比如说,他对时空隧道和时间机器有一些想法,为了解决宇宙奇点困难他还提出了虚时间和无边界宇宙的概念,但是我觉得他后来的这些工作都不如他青年时代的那几个工作更可靠,更有价值。
走向黑洞
现在我们就来看他对黑洞研究的贡献。我上一讲已经介绍了黑洞的一些知识。
我们通常所说的不随时间变化的球对称的黑洞叫“史瓦西黑洞”。它在

处有一个表面,叫视界。在中心r=0处有一个奇点。黑洞里边和外边,时空是有区别的,在黑洞里边时空坐标要互换,半径r变成了时间,而原来的时间t变成了空间。对于进入到黑洞里的东西,r是时间,时间是有方向的,而且是一定要往前走的。
黑洞里面的时间方向是朝里的,白洞里面的时间方向是朝外的,所以白洞里面的奇点是时间开始的地方,而黑洞里面的奇点是时间结束的地方。进到黑洞里面的物质不能停留,一定要往里头掉。为什么呢,因为时间的方向朝里,它一定要往里走,是任何力量都抗拒不住的,所有的物质都必须“与时俱进”,所以黑洞里面基本上是真空。
后来人们又讨论了很多问题,比如说有一个火箭飞向黑洞的时候,远方有一个观测者,他观察这个火箭,会看到什么?
我之前有讲过,因为越靠近黑洞的地方,时空弯曲得越厉害,所以越靠近黑洞的钟走得越慢。如果你在空间摆一系列钟,越靠近黑洞的钟越慢,放在黑洞表面上的钟根本就不走了。正因为如此,外面的观测者会看见火箭飞得越来越慢,越来越慢,最后粘在黑洞的表面上,看不见它掉进去。而且由于时间变慢,使原子内部振荡的频率变缓,所以光谱线会向红端移动。黑洞表面处的原子发的光会有无限大的红移,因此飞向黑洞的火箭会越来越红。
那么火箭进没进去呢?我上一讲已经谈到,它会进去的。因为我们刚才谈到的钟,是火箭外的观测者摆的一系列的钟,而火箭里边人用的钟,不是这些静止摆在黑洞外的钟,而是火箭自身携带的钟,宇航员并没有觉得它变慢,而是觉得自己很正常地就进去了。进到黑洞里以后,他依然看不见前面的奇点,一直往前走就撞在奇点上了。实际上接近奇点以后,由于潮汐力很强,也就是万有引力的差很大,就把他扯碎了,他就完了。
宇宙监督与无毛定理
现在就简单回顾一下这些内容。之前只讲了简单的球对称黑洞。简单的东西容易研究,但是也有缺点,它提供给我们的知识太少。
1963年,有一个叫克尔的人,求出了一个旋转星体外部的时空弯曲情况,这个解很难求,他解出来以后,很多人没有注意。他在《物理评论快报》上登了很短的一段文章,说这是爱因斯坦方程的一个解。你如果不信代进去试一试, 的确是一个解,但是他怎么求出来的呢,有些人还是看不懂。

图:克尔黑洞的奇环
这个解有一个特点,它中心有个奇环,不是奇点。球对称的黑洞里面有个奇点,转动黑洞里边有个奇环,黑洞的表面叫做视界,球对称黑洞的视界是球面。视界就像衣服一样把奇点包在里面,外面的人看不见它,因为视界里面的信息都出不来。
转动的黑洞也有视界,是一个椭球面,它包着奇环。所以我们看不见奇环。但如果它旋转得非常厉害,最后这些视界会消失,奇环就裸露出来了。奇环一露出来,就会对时空的因果性造成破坏,所以这种情况是不应该出现的。但是研究表明,当黑洞转得非常快的时候还是会出现。彭罗斯就提出一个“宇宙监督假设”,说存在一位宇宙监督,他禁止裸奇异(裸奇点或裸奇环)的出现。
你看,这句话等于什么也没说,就好像“自然害怕真空”一样。提出这个假设是跟他们的文化传统有关系的,我们中国人不会想出一个“宇宙监督假设”来。这是因为欧洲人是继承古希腊、古罗马文化的,在古罗马的时候,城市里有一种官员,这种官员的职责就是不准人不穿衣服在街上走,是监督官。彭罗斯认为宇宙也应该有一个监督官,不允许奇点和奇环不穿衣服露在外面,这衣服就是黑洞的视界,所以叫“宇宙监督假设”。
那么黑洞外部的人对黑洞里边能够了解什么呢?只能了解到三个信息——黑洞的总质量、总电荷,以及总角动量,其它的东西都不知道,所以有人提出“无毛定理”。毛就是信息,无毛就是没有信息。但黑洞并非完全不泄漏出信息,其实还是露出了三根毛,如果我们中国人的话,肯定就叫“三毛定理”了,因为咱们有“三毛流浪记”的故事。他们就叫“无毛定理”。掉入黑洞的物质的信息都藏在黑洞里边。
三、最伟大的发现
面积定理的启示:黑洞热吗?
总之,霍金、彭罗斯的奇点定理指出,一个合理的物理时空一定有时间的开始或者结束。
我们现在来看霍金的第二个贡献:面积定理,霍金用微分几何证明了黑洞的表面积随着时间只能增大不能减小。
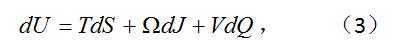
当时美国有一个二十几岁的研究生叫贝肯斯坦,他觉得黑洞的表面积只能增加不能减小,很像物理学当中的“熵”啊!黑洞的表面积会不会是熵啊!于是他在导师惠勒的支持下,提出黑洞的表面积可能是熵,而且他得到了一个公式,这个公式叫贝肯斯坦公式

这个公式大家看,很像热力学第一定律

这里U是一个系统的内能,T是温度,S是熵,P是压强,V是体积,是吸收的热量,是对外做的功,这个你们都很熟悉。对于转动刚体

可能大家不太熟,这U是内能,是热量,Ω是转动角速度,J是角动量,V静电势,是电荷。
现在来看贝肯斯坦得到的黑洞的公式(1),左边dM是黑洞的质量,大家知道Mc2是能量,但在选用自然单位制之后,c是等于1的,所以这个dM就是dU,等式右边后两项,非常像和功有关系的项,第一项很像黑洞的热量,其中A是黑洞的表面积,而这个κ叫做黑洞的表面引力。
粗略地说,就是黑洞表面上如果有个质点的话,κ就是单位质量的质点所受到的引力,叫表面引力。这个式子很像转动刚体的热力学公式,A处在熵的位置,κ处在温度的位置。从这个公式看,黑洞不仅有熵还有温度。
争论:真热还是假热?
霍金对贝肯斯坦这个工作很不以为然,觉得贝肯斯坦完全曲解了自己的意思:我的面积定理是用微分几何和广义相对论证出来的,根本没有用到热力学和统计物理,怎么会有热呢,不可能有热。而且,一旦黑洞有温度,就应该有热辐射。黑洞是个只进不出的天体,怎么可能辐射出东西来呢?
所以,他在1973年的一次暑期学术研讨会上,就跟另外两个专家(卡特和巴丁),三个人合写了一篇论文,用严格的微分几何重新推导了贝肯斯坦的公式,说这个公式本身并没有错,但是它不是真正的热力学公式。它里面的κ像温度但不是温度,黑洞面积像熵但不是熵。于是他们就提出了“黑洞力学”的四个定律,跟普通热力学比较。但还是强调这不是“热力学”,而是“力学”。

霍金辐射的发现
可是霍金后来又想:万一贝肯斯坦是对的呢?他又倒过来想了。如果贝肯斯坦是对的,那么黑洞就真有温度,就应该有热辐射射出。于是他又经过半年多的努力,在1974年终于证明了黑洞确实有热辐射,黑洞的温度是真温度。那个κ反映的是真温度,黑洞表面积A确实是熵,就是黑洞熵。
严格证明黑洞有热辐射,是霍金一生中最卓越的成就。后来人们就把黑洞热辐射称为霍金辐射。这件工作做出来以后,他的老师西阿玛就说:霍金毫无疑问是二十世纪最伟大的物理学家之一。
霍金辐射刚开始提出来的时候,很多人都接受不了,有些人觉得他是胡说。他在英国剑桥大学第一次报告这一工作的时候,刚刚讲完,主持会议的那位教授就说:刚才霍金博士给我们做了一个精彩的演讲,很有意思,但都是胡扯,然后就上厕所去了。回来后大家又讨论了一番。最后表明霍金的想法是对的。
这是怎么回事呢?前面讲过,黑洞里边时间箭头朝里,任何物质和辐射只能往里掉,不能跑出来。从经典的广义相对论考虑,确实不可能有热辐射从黑洞射出。现在霍金考虑量子效应,他用弯曲时空背景下的量子场论来研究黑洞附近的情况。
黑洞附近的真空涨落
我们知道,在平直时空中,真空是不空的,不断有虚的正反粒子对产生,产生出来又湮灭,产生出来又湮灭,这叫真空涨落。正反粒子对中,一个粒子是正能,另一个是负能,符合能量守恒,它们产生出来很快就又消失了。由于Δt和ΔE的测不准关系,

在这么短的时间之内你不可能测到负能粒子。你在Δt的时间里一测,就有相当于

的不确定的能量出现,把负能粒子掩盖掉。所以测不出负能粒子的存在。这种真空涨落已经被许多物理实验间接证明了,所有搞量子论的专家都承认真空涨落。

黑洞附近的真空涨落
霍金现在研究黑洞附近的真空涨落。他说真空涨落假如发生在黑洞附近,会有几种可能情况出现。一种可能就是两个粒子都没掉进去就复合而消失了,与平直时空情况差不多,没有什么特殊效应;另一种可能就是两个粒子都掉进去了,那也没什么效应;第三种可能是负能的粒子进去了,正能的跑出来了。
有人会问,会不会有第四种可能:正能粒子掉进去,负能粒子跑出来。不可能!因为黑洞外边的时空就是我们普通的时空,它不允许负能粒子单独存在,只有黑洞里面的时空,才允许负能粒子单独存在,如果正能粒子掉进黑洞,负能粒子必然跟着掉进去。
现在我们来看第三种情况,负能粒子掉进黑洞,它顺着时间的发展落向奇点,使奇点减少一个粒子的质量。而正能粒子飞向远方。例如产生了一个正反电子对,由正能电子和负能正电子组成。其中,负能正电子落进黑洞,顺时前进落向奇点,使奇点处减少一个电子的质量,同时增加一个正电荷。而正能电子(带负电)飞向远方。
霍金认为,这一过程相当于从奇点处产生一个正能电子,逆着时间前进飞到黑洞表面,被视界散射,再顺着时间方向飞向远方。对遥远的观测者来说,他接到了一个带负电的正能电子,而黑洞减少了一个电子的质量,增加了一个正电荷。
霍金用弯曲时空量子场论严格证明了黑洞确实会产生这种量子辐射效应,而且射出的粒子的能谱是严格的普朗克黑体辐射谱。也就是说黑洞确实会产生热辐射。霍金对量子辐射的这种解释,既不违背能量守恒和电荷守恒,又不违背黑洞的定义,非常成功,非常合理。
黑洞的温度与熵
霍金严格证明了黑洞的温度为

熵为

其中KB 为玻尔兹曼常数。
对于球对称的史瓦西黑洞,其表面引力为

我们看到k 与黑洞质量成反比,也就是说,黑洞的温度与质量成反比。
如果霍金辐射不断进行,黑洞就会逐渐消失。为什么呢?因为黑洞的温度与质量成反比,所以黑洞的比热是负的。一般物体的比热都是正的,如果放出热量温度就下降。但是,黑洞不一样,辐射粒子以后,质量减小,温度反而会升高,所以黑洞和外界不可能处于稳定的热平衡。
即使达到热平衡,只要有一个涨落,黑洞比外界温度高一点,就会辐射粒子,辐射粒子后温度会变得更高,温差就拉大了,辐射也会变得越来越厉害,最后小黑洞就炸掉了。
如果刚开始黑洞跟外界热平衡,一个涨落使黑洞的温度低一点,那么外界的能量就流进来了。外界的能量一流进来,黑洞质量增加,温度反而降下去了。会有更多的能量往里流,这样黑洞就不断长大了。总之,黑洞与外界不可能处在稳定的热平衡当中。
另外还有一些现象,例如吸积和喷流,这方面搞天体物理的人研究得比较多。假如有两颗恒星,一颗已经形成黑洞,另外一颗恒星的气体会被黑洞吸过去,形成吸积盘,旋转着往里掉。这些东西往里掉的时候会有很激烈的效应。物质掉进黑洞的时候,在吸积盘的垂直轴方向会产生喷流。
现在喷流现象已经在天文学上看到很多了,但是中心的这个星体不是黑洞也会有喷流,所以目前吸积、喷流现象仍然不能作为黑洞存在的最终判据。

图:黑洞的吸积与喷流
四、信息疑难
信息守恒吗?
现在我们来谈一下有关霍金的另外一件事情,就是关于信息守恒的问题。
我们知道,无毛定理说,东西掉进黑洞以后,外界的人就不知道它们的信息了,但是这些信息并没有从宇宙中消失,它们藏在了黑洞的内部,外界的人只能探知三个信息,就是总质量、总电荷和总角动量这三根毛。这件事情问题还不是很大。
但是,认识到黑洞有霍金辐射以后,问题更大了:研究表明,黑洞往外辐射正反粒子的概率相同,电子和正电子概率相同,质子和反质子概率相同,而且完全是热辐射,辐射谱是标准黑体谱,而热辐射是几乎不带任何信息的,所以没有信息伴随霍金辐射跑出来。而且,黑洞是越辐射温度越高,那么黑洞就越来越变小,最后就爆炸消失了。这样,原来掉进黑洞的物质有大量的信息,最后辐射出来的物质基本不带信息,黑洞又消失了,那么这些信息不就从宇宙中丢失了吗?信息就不守恒了。
这件事情引起了理论物理界的争吵,搞相对论的人认为信息不守恒就不守恒吧,没什么关系。但是搞粒子物理的人可不这么认为,信息不守恒会导致概率不守恒,这样量子幺正演化的规律就有问题了。整个粒子物理的基础要动摇,所以他们都认为信息应该守恒。
他们猜测,可能霍金辐射不是严格的热辐射,会有一些信息带出来。要不然就是黑洞蒸发到某一个阶段会突然截止,有某种像量子效应一样的东西把霍金辐射一下截止,剩下的那些信息都作为炉渣沉在黑洞里面,不会消失。
霍金打赌
1997年,霍金和索恩(KipThorne),就是搞时空隧道和时间机器的那位专家,他们两个人说黑洞中的信息会丢失,粒子物理学家普瑞斯基说不会丢失。于是,他们打赌,谁输了谁给对方订一年棒球杂志。他们打赌是开玩笑的。

到了2004年7月,霍金突然宣布说:我输了,我承认信息是守恒的。而且在爱尔兰开国际相对论大会的时候,买了一堆杂志给普瑞斯基带去了。索恩说:这事不能由霍金一个人说了算,我不承认输了。普瑞斯基则说:没听懂自己是怎么赢的。

虽然霍金承认输了,但是他没听懂霍金为什么输,自己为什么赢。霍金的主要意思是,原先把黑洞想像得太理想了,因为时间关系我不可能跟大家讲很多。总之,他认为,真正的黑洞并不是我们想像的那种理想的东西,信息不会丢失。
霍金改变态度的一个原因是,当时已经有一些人做了这方面的证明,比如说帕瑞克和维尔赛克。
维尔赛克是诺贝尔物理学奖获得者,搞强相互作用的。他们做出了一个证明,证明信息是守恒的。他们很巧妙,说你看,霍金在证明热辐射的时候,考虑射出光子,射了一个光子以后,黑洞的质量不就减少了一个光子的质量吗?质量减小黑洞半径不就会减小吗?但霍金没有考虑质量减小的影响。霍金确实没有考虑,其他人(包括我们自己)也没有考虑。
关于一个转动的黑洞辐射电子的情况,是我们这个组在刘辽先生和北大的许殿彦先生领导下首先证明的,我们证明的时候也确实没考虑这一点。
我们当时觉得没考虑是完全可以的,为什么呢?大家知道,太阳质量占整个太阳系质量的98%或99%,太阳形成黑洞以后半径三公里,跑出一个电子或跑出一个光子,太阳质量能变化多少?半径能缩小多少?简直太微乎其微了。因此,所有证明黑洞辐射的人都没考虑这个问题。
帕瑞克他们说,就是因为没考虑这一点,黑洞辐射才是严格的黑体辐射,信息才跑不出来。他们做了一个证明,出去一个粒子以后,真的有一点影响,那点影响就能对热谱有一点修正,这一点修正就正好把信息带出来了,于是信息就守恒了。


对信息守恒的质疑
我当时有一个博士生张靖仪,正好开始做论文,我就建议他研究这个问题,把帕瑞克的工作推广到各种黑洞,因为他们做的是最简单的球对称黑洞情况。我说我觉得他们的证明可能不对,他们暗中可能有一个假定,假定了这个过程是可逆过程。为什么呢?我的主要想法是:搞信息论的人认为信息是负熵,这点已经被很多物理学家所接受了,包括霍金本人都认为信息是负熵。
大家知道热力学第二定律的精髓就是熵不守恒。在一个真实的自然过程中,熵是会增加的,只有理想的可逆过程,熵才会守恒。所以根本没有道理说,一定要维持一个信息守恒定律,物理学当中现在没有,将来也不一定必须有这么一个定律。如果真的信息就是负熵的话,恐怕信息就是应该不守恒的。
由于帕瑞克等人研究的是最简单的黑洞,模型简单,提供的信息也就少,不容易看出他们是否用了“可逆过程”这一假定。假如能够将帕瑞克的工作推广到各种复杂的黑洞,也许就容易看清楚了。
所以我建议张靖仪研究这个问题。后来他在博士生期间做了八篇论文,都是在国外杂志上刊登的,胡亚鹏、方恒忠、任军等研究生也做了一些研究。
张靖仪做到第八篇的时候,我们看出来了,帕瑞克的证明方案中确实暗含了一个假定:假定了过程是可逆过程。他们用的热量变化式是TdS这个式子,只有在准静态的可逆的过程中才可以用这个式子。
用这个式子就等于假定了过程是可逆过程,熵当然守恒,信息自然也守恒。所以,帕瑞克等人的工作是在可逆过程的假定下证明的。而实际的自然过程是不可逆的,具有负比热的黑洞,由于不存在稳定的热平衡,它的热辐射过程肯定是不可逆的。所以帕瑞克他们的工作,虽然数学上是正确的,但并无实际的物理意义。
我觉得现在黑洞的问题要分几个方面,一个方面,确实如霍金讲的,以前把黑洞考虑得太理想化了。真实的霍金辐射有可能带出一部分信息。另一方面,如果信息确实是负熵的话,没有道理要求信息一定守恒。而且由于熵不守恒,应该推测信息是不守恒的,由此看来霍金打赌的这场争论仍然会继续下去。
我今天对霍金与黑洞的介绍就到这里。我想把霍金的一句话作为我们今天这个报告的结束:
“当爱因斯坦讲上帝不掷*子骰**的时候,他错了,对黑洞的思索向人们提示,上帝不仅掷*子骰**,而且有时还把*子骰**掷到人们看不见的地方去了。”
那个地方是什么呢,就是黑洞。到现在为止,黑洞的问题还没有完全搞清楚,还要继续研究下去。而霍金本人,由于他的成就,已经成为二十世纪最伟大的物理学家之一了,这是毫无疑问的。
-------------------------------------------------------------------
【眉山剑客陈平的读后感】
霍金应当是二十世纪末最有影响的物理学家,但不见得是最伟大的物理学家。黑洞理论是爱因斯坦广义相对论的一个奇点解。
黑洞理论能获得天文观察支持,又得益于宇宙的大爆炸模型,为解释观察到的宇宙不同元素的放射性同位素的分布,理论推测大爆炸的余热会有均匀分布的背景辐射,后来被射电天文观察证实。
真正提出宇宙大爆炸模型但没有获得诺贝尔物理奖的,是当时在约翰-霍普金斯大学做俄裔物理学家加莫夫博士生的阿尔伏(RalphAlpher)和已经工作的赫曼(HerbertHerman)。
赫曼和普里戈金是用统计力学研究交通流的合作者,也是陈平研究经济混沌的博士生委员会的成员。所以知道基于核物理学和大爆炸宇宙学的关系,是广义相对论和量子力学统一理论的动力。
我在1985年把赵峥引荐给普里戈金,是因为普里戈金不同意霍金基于热力学的宇宙观。因为平衡态热力学的宇宙观是热量耗散导致“热寂”,所以热力学时间和宇宙扩张的时间方向似乎是一致的,都在走向毁灭。
普里戈金的宇宙观实质是生命多样演化即达尔文的宇宙观。普里戈金相信,现在我们观察到的宇宙,只是更大宇宙的一小部分。完全可能我们所在在宇宙在爆炸后扩张,但是其他的宇宙在收缩,或有的宇宙在波动或新生。这并不是哲学猜想,而是有物理学的效应。
如果多数理论物理学家追求广义相对论和量子力学的统一,普里戈金则追求更大的量子力学,广义相对论,和非平衡态热力学的统一。而非平衡态热力学的特点之一,就是耗散系统没有守恒量。一个推论,就是赵峥文末提到的信息可以不守恒。
当然,科学的进步往往由科学的直觉、灵感,或哲学猜测推动,科学假设能否证实,有待于理论的数学证明和经验观察的证据。但是,赵峥和他的学生的成果表明,中国学生已经过了仰望名家的阶段,可以在世界科学舞台上和西方名家同台竞争。
这是我们纪念霍金时对下一代物理学生们的期待:霍金如此困难的条件下能做到的,我们为什么不敢做不敢想呢?推动科学前进的不是诺贝尔奖,不是大众知名度,而是科学的好奇心,提出问题的能力,和猜测答案的想象力。
香港专业代购请加微信号LoveqDou