
当前疫情防控重于泰山,而多发性骨髓瘤患者由于疾病特征(多为中老年人,免疫力低下等),抗“疫”之时更需要特别关注抗“瘤”。新药和新治疗手段的出现,使得多发性骨髓瘤(MM)治疗结局不断改善, 硼替佐米在中国上市至今恰逢15年,使得“更深缓解,更长生存”治疗目标深入人心。本文就不同时代MM治疗目标的变迁、新药如何助力MM患者实现治疗目标与大家共赏。
不同时代MM治疗目标的变迁
1. MM治疗的挑战及发展,促使治疗目标在不断更新
目前,多发性骨髓瘤仍然是不可治愈的疾病,这是治疗上的挑战,随着新药和新治疗手段的出现,使得MM治疗结局持续在改善,促使不同治疗时代下骨髓瘤治疗目标也在改变。

2. 以当前检测技术和循证依据,追求“持续CR”是目前临床易实现的治疗目标
尽管微小残留病(MRD)阴性对生存期的影响是正向的,但MRD的检测技术还需前瞻性研究验证,其阴性疗效评估标准目前国内大多数单位无法开展。2019 《ASCO 骨髓瘤治疗临床实践指南》明确指出:无论是否可移植患者,初治MM的治疗目标是达到最佳缓解深度和缓解质量。
3. CR是MM患者长期预后的重要预测因素:获得CR患者PFS和OS显著延长
2018年发表的一项多机构、国际性、回顾性研究,纳入7291例MM患者,评估CR状态和生存期PFS、OS的关系。结果显示:获得CR患者PFS(3.3年 vs 2.6年 ,P<0.0001)和OS(8.5年 vs 6.3年,P<0.0001)更显著。

硼替佐米为基础方案助力实现“深缓解、长生存”治疗目标
01
起始治疗之诱导治疗
1.1无论是否移植患者,诱导治疗目标:迅速减轻病人疾病负担,达到深度缓解

1.2 PI类药物头对头体外试验,硼替佐米抑制力最快显现;VRd方案治疗NDMM 1.1个月快速起效,可快速降低肿瘤负荷

根据目前国内可及的新药方案在治疗新诊断多发性骨髓瘤(NDMM)患者时的中位缓解时间可见,以硼替佐米为基础的方案快速起效,特别是VRd方案,仅需要1.1个月即可快速起效,实现诱导治疗需要快速降低肿瘤负荷的目标。

1.3 含硼替佐米方案诱导治疗后,患者缓解深度显著更优
2017年发表在《Bone Marrow Transplantation》上面的一项比较研究,共纳入1017例NDMM患者,患者接受不同方案的诱导治疗,比较患者的缓解质量(诱导后移植前)。结果如图所示:含硼替佐米方案诱导治疗后的缓解深度,显著优于不含硼替佐米方案。

1.4 权威指南:以硼替佐米为基础联合方案是NDMM诱导治疗一线推荐
据NCCN、ESMO、中国多发性骨髓瘤指南推荐:以硼替佐米基础联合方案为NDMM诱导治疗一线用药, 2020 NCCN.V2首选推荐VRd和VCD。

02
起始治疗之巩固治疗
2.1 巩固治疗目标:进一步加深缓解程度,延长PFS和OS
最新mSMART共识和2017中国MM诊治指南提出,巩固治疗的目标: 进一步加深缓解程度,延长PFS和OS。
2.2含硼替佐米方案诱导及巩固治疗后,显著延长患者10年生存期
2018年ASH会议中一项GIMEMA-MMY-3006的最终分析、3期研究,共纳入474例新诊断MM患者,患者接受诱导、2次自体干细胞移植(ASCT)和巩固治疗,其中236例随机接受VTD治疗,238例随机接受TD治疗,通过事后分析评估治疗方案的长期结果。研究结果显示:VTD诱导巩固较TD方案显著延长生存,10年OS可达60%。 含硼替佐米的巩固治疗方案可实现进一步延长PFS和OS的巩固治疗目标。

2.3 老年患者也可从硼替佐米巩固治疗中获益
2019发表在《Eur J Haematol》杂志上面的一项III期临床研究的事后分析,纳入371例ASCT后的MM患者,1:1随机接受4疗程(每疗程35天)硼替佐米周疗巩固治疗或无任何治疗。结果显示,61-75岁患者接受硼替佐米巩固治疗患者中位PFS显著更长(33.4月 vs 26.4月,P=0.0073),而且硼替佐米巩固治疗可以使先前接受不同强度治疗的老年患者和年轻患者的预后相同。

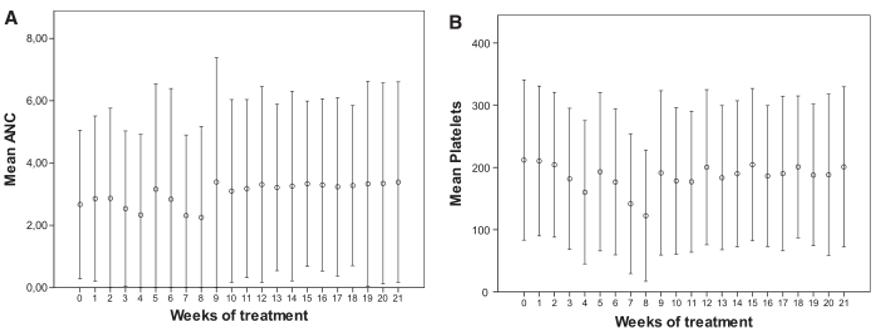
2.4 硼替佐米巩固治疗的不良反应发生率与对照组无显著差异
2013年发表在《Blood》杂志上面的一项研究,共纳入370例患者,在ASCT后随机分为两组,分别接受硼替佐米巩固治疗组或不巩固组,评估巩固治疗的安全性。在近4周治疗中,硼替佐米周疗给药后,中性粒细胞和血小板计数的减少并不明显。

一项Ⅲ期、随机对照研究,共纳入475例NDMM患者,分别随机接受VTD(236例)和TD(238例)巩固治疗,以评估两方案的疗效和安全性。结果显示,含VTD方案巩固治疗后,3级PN发生率与TD方案无差异(p=0.315),无4级周围神经病变(PN)发生。

03
维持治疗
3.1 维持治疗目标:延长疗效持续时间和生存期
2017中国诊治指南指出:维持治疗可延长疗效持续时间和PFS。

2018 mSMART共识指出:维持治疗是低剂量,以最小的毒性长期管理的过程。

3.2 HOVON研究:硼替佐米维持治疗可克服del(17p13)对PFS和OS的影响
HOVON 研究是一项开放标签、随机、III期临床研究,纳入833例NDMM患者,随机接受VAD诱导,HDM和ASCT强化治疗,沙利度胺维持治疗(A组:共计413例),或接受硼替佐米、多柔比星和地塞米松(PAD)诱导,HDM和ASCT强化治疗,硼替佐米维持2年(B组:共计414例)。结果显示,移植前硼替佐米诱导,随后硼替佐米维持显著延长del(17p13)患者OS和PFS,del(17p13)存在对PFS的影响:PAD组 p=0.48 ,VAD组 p<0.001;对OS影响:PAD组 p=0.54 ,VAD组 p<0.001。

3.3 2019 BMT: 沙利度胺和来那度胺对高危患者维持治疗无生存获益
2019年《mSMART共识:造血干细胞移植治疗多发性骨髓瘤》指出:细胞遗传学高风险MM患者,不建议ASCT后沙利度胺维持治疗; 来那度胺生存期获益仅限于无细胞遗传学高风险患者。

此外,该共识推荐含硼替佐米方案/单药为高危患者维持治疗方案,ASCT后维持治疗使用硼替佐米等蛋白酶体*制剂抑**(PI)显著改善了17p缺失患者的PFS和OS;因此,对于所有具有细胞遗传学高风险的MM患者,应考虑ASCT后采用PI(如硼替佐米)维持治疗。

目前仅硼替佐米被批准用于初治MM患者的医保报销,助力实现治疗目标

仅供医学药学专业人士参考,严禁翻印及传播
