
“吃”大多是为了填饱肚子,但“吃”有时也不仅仅为了填饱肚子。当“去哪吃饭”成为每天的必问话题,尝试不同的餐厅就变成了常规生活中的额外体验。城市提供多样化的餐饮选择,“吃”也就顺势成了探索生活乐趣的方式之一。
“知城·餐饮多样性指数”想要衡量的是:不同城市餐饮品类的丰富程度。我们理想的餐饮丰富的城市能满足不同人的需求:既有高标准高效率的快餐、也有服务周到装潢现代的精品餐厅、更有烟火气十足的街边小摊,也不能忘了深谙古法烹饪的老旧食肆。从品类上来看,最好能囊括从南到北,从东半球到西半球的餐饮品类。

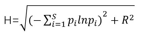
在这个指数中,第一财经·新一线城市研究所借鉴了生态学中应用广泛的香农多样性指数(Shannon’s Diversity Index),观察城市中各餐饮品类的分布状况,并结合平均每个品类餐厅的数量,综合计算出全国337个地级以上城市的餐饮多样性。具体公式如下:

其中,S表示该城市总体的餐厅品类数量,pi表示该城市第i个品类餐厅数量占该城市总餐厅数量的比例;R表示该城市的餐厅总量;H表示餐饮多样性指数。
从结果上看,上海位居第一,重庆和成都的排名仅次上海,且超过深圳、北京、广州三个一线城市。餐饮多样性因为考虑了餐厅数量,所以受城市规模影响,除了哈尔滨和佛山,前20名城市基本为一线及新一线城市。

大众点评上截至2019年1月,成都和重庆的餐厅数量居全国前2位,各自比上海多出至少5000家。但根据新一线城市研究所2017年的数据,那时候上海的餐厅数量还居全国首位。
北京餐饮门店数量在一线城市中最少,不足20万家,但尚属于第一梯队之中。排在北京之后的苏州、东莞、西安、武汉和郑州在餐饮门店数量上比之前的城市少了大约5万家门店,相差了一个数量级。

四川气候潮湿故喜辣、广东气候湿毒食得清淡,各地地方饮食习惯融合了各自的地域文化、气候、环境、风俗和历史的基因,亦受到外来人口的影响。新一酱盘点了不同地域各城平均餐饮门店数量和整体餐饮多样性,发现华东和华北城市的餐饮多样性高于其他区域。
其中华东各城市的平均餐饮门店数量最多,拥有4.19万家。华南地区各城市的餐饮门店数量虽然比华中地区多出6000家,但餐饮多样性指数并不高,餐饮品类相对集中在特定类别——粤菜。

地域特性对餐饮发展的影响从不同城市数量最多的餐饮品类中能窥得一二。我们分别筛选了7个区域餐饮多样性指数最高的城市,包括东北沈阳、华北北京、华东上海、华南深圳、华中武汉、西北西安、西南重庆,观察这7个城市餐饮品类的结构。
“火锅是最受欢迎的餐饮品类”应该没什么人对这句话有异议,从数据上看它是唯一一个在这7个城市中数量排名前6的品类。其中,重庆的火锅店超过3万家,在北京和西安也是第2多的餐饮品类,有近1万家门店。它在各地以不同形式呈现,重庆更爱牛油辣锅,涮菜以动物内脏为特色;华南称之为打边炉,清汤或白粥为锅底,以不失食物本位为要义;北京则多为铜炉涮肉,看的是羊肉的质地与新鲜程度。
茶馆和粤菜更具地方属性。粤菜最多的前5个城市都在广东,其中广州最多,有1.39万家粤菜馆。茶馆则主要聚集在川渝地区,成都、重庆、绵阳、德阳的茶馆数量都排在其他城市之前。

城市的人口结构同样影响着这个城市的餐饮品类结构。
东北与韩国地理上的接近性、历史上的纠葛以及城市居民的饮食习惯,让人们很容易在东北吃到地道的韩餐。你能在延边找到1700家韩国餐厅,数量仅次于沈阳和北京,和上海持平。这个人口仅210万的城市中,朝鲜族人就占了近4成。
长沙的湘菜最多,但排在之后的并不是湖南的其他城市,而是深圳、东莞和广州。根据各类春运迁徙平台的数据,广东的外来人口中,湖南人占比较大,他们在广东打工,甚至迁居广东生活,顺便也把湘菜的饮食偏好带来了广东。在东莞,湘菜馆的数量只比粤菜馆少了1300家。
大量的同类餐厅催生了竞争,你会发现单独餐饮品类下数量最多的城市往往也是这个类目下最好吃的城市。比如沈阳的烧烤、重庆的火锅、长沙的湘菜、广州的粤菜。
你的城市有没有足够多的餐饮选项?哪个品类最好吃?欢迎留言告诉新一酱?
指标策划/曹家璧 视觉/王方宏 编辑/毛怡玫
以下位337个地级及以上城市的餐饮多样性指数完整排名结果:
直辖市
上海市 1
重庆市 2
北京市 5
天津市 16
安徽省
合肥市 21
阜阳市 68
芜湖市 100
宿州市 115
安庆市 120
滁州市 124
亳州市 126
蚌埠市 131
六安市 147
淮南市 166
马鞍山市 191
宣城市 197
淮北市 212
池州市 265
黄山市 270
铜陵市 271
福建省
泉州市 28
福州市 30
厦门市 57
漳州市 81
莆田市 130
龙岩市 151
宁德市 165
三明市 183
南平市 189
甘肃省
兰州市 56
酒泉市 237
庆阳市 243
武威市 248
定西市 250
平凉市 256
天水市 262
白银市 275
张掖市 277
临夏回族自治州 291
陇南市 304
金昌市 311
嘉峪关市 315
甘南藏族自治州 320
广东省
深圳市 4
广州市 6
东莞市 11
佛山市 19
惠州市 44
中山市 46
珠海市 84
汕头市 91
江门市 95
清远市 133
肇庆市 140
梅州市 146
湛江市 156
揭阳市 164
韶关市 190
河源市 209
茂名市 211
潮州市 236
*江阳**市 245
汕尾市 259
云浮市 288
广西壮族自治区
南宁市 33
桂林市 64
柳州市 118
北海市 219
玉林市 220
百色市 241
贵港市 252
河池市 260
梧州市 269
钦州市 278
崇左市 295
贺州市 296
防城港市 302
来宾市 307
贵州省
贵阳市 35
遵义市 72
毕节市 174
黔东南苗族侗族自治州 175
黔南布依族苗族自治州 201
铜仁市 208
安顺市 224
黔西南布依族苗族自治州 230
六盘水市 233
海南省
海口市 78
三亚市 160
儋州市 323
三沙市 337
河北省
石家庄市 23
保定市 41
唐山市 49
邯郸市 51
廊坊市 52
沧州市 70
邢台市 73
张家口市 102
秦皇岛市 106
衡水市 145
承德市 154
河南省
郑州市 10
洛阳市 43
南阳市 50
商丘市 60
周口市 65
新乡市 67
驻马店市 82
信阳市 85
安阳市 86
开封市 92
焦作市 101
平顶山市 107
许昌市 112
濮阳市 163
漯河市 186
三门峡市 214
鹤壁市 264
黑龙江省
哈尔滨市 18
齐齐哈尔市 99
大庆市 116
绥化市 128
佳木斯市 134
牡丹江市 141
鸡西市 240
黑河市 258
双鸭山市 261
伊春市 274
鹤岗市 286
七台河市 308
大兴安岭地区 321
湖北省
武汉市 9
襄阳市 77
宜昌市 108
荆州市 111
黄冈市 148
孝感市 177
十堰市 187
恩施土家族苗族自治州 194
黄石市 206
荆门市 207
咸宁市 215
随州市 273
鄂州市 301
湖南省
长沙市 13
衡阳市 121
株洲市 125
岳阳市 127
常德市 129
郴州市 159
怀化市 167
湘潭市 184
邵阳市 185
益阳市 202
永州市 203
娄底市 221
湘西土家族苗族自治州 251
张家界市 290
吉林省
长春市 24
吉林市 63
延边朝鲜族自治州 138
四平市 150
通化市 178
松原市 192
白城市 213
白山市 244
辽源市 283
江苏省
苏州市 7
南京市 20
无锡市 26
徐州市 32
常州市 40
南通市 48
盐城市 55
扬州市 69
淮安市 71
泰州市 74
宿迁市 80
镇江市 83
连云港市 90
江西省
南昌市 37
赣州市 53
上饶市 105
九江市 109
宜春市 139
抚州市 173
吉安市 195
景德镇市 247
新余市 268
萍乡市 280
鹰潭市 306
辽宁省
沈阳市 15
大连市 27
鞍山市 114
锦州市 149
营口市 158
抚顺市 168
丹东市 172
铁岭市 188
朝阳市 193
葫芦岛市 205
盘锦市 216
阜新市 228
辽阳市 229
本溪市 238
内蒙古自治区
呼和浩特市 59
包头市 96
赤峰市 97
鄂尔多斯市 136
通辽市 143
呼伦贝尔市 144
巴彦淖尔市 182
乌兰察布市 196
锡林郭勒盟 226
兴安盟 255
乌海市 300
阿拉善盟 312
宁夏回族自治区
银川市 87
吴忠市 257
石嘴山市 287
中卫市 293
固原市 298
青海省
西宁市 123
海东市 289
海西蒙古族藏族自治州 292
海南藏族自治州 314
海北藏族自治州 325
黄南藏族自治州 328
玉树藏族自治州 330
果洛藏族自治州 333
山东省
青岛市 14
济南市 25
潍坊市 34
临沂市 38
烟台市 39
济宁市 42
淄博市 58
菏泽市 62
聊城市 66
*安泰**市 75
德州市 88
威海市 98
滨州市 104
枣庄市 119
日照市 152
东营市 161
山西省
太原市 36
运城市 76
临汾市 93
晋中市 122
大同市 153
吕梁市 157
长治市 162
忻州市 180
晋城市 217
朔州市 253
阳泉市 285
陕西省
西安市 8
咸阳市 89
渭南市 103
榆林市 113
宝鸡市 155
延安市 176
汉中市 199
安康市 239
商洛市 282
铜川市 310
四川省
成都市 3
绵阳市 79
南充市 110
德阳市 132
宜宾市 135
乐山市 137
达州市 170
泸州市 171
眉山市 181
遂宁市 204
凉山彝族自治州 210
广安市 218
内江市 223
广元市 232
自贡市 242
雅安市 266
巴中市 272
资阳市 276
攀枝花市 303
阿坝藏族羌族自治州 305
甘孜藏族自治州 313
*藏西**自治区
拉萨市 249
日喀则市 322
林芝市 327
那曲地区 331
山南市 332
昌都市 334
阿里地区 336
*疆新**维吾尔自治区
乌鲁木齐市 54
伊犁哈萨克自治州 198
昌吉回族自治州 231
巴音郭楞蒙古自治州 254
阿克苏地区 281
喀什地区 297
塔城地区 299
哈密市 309
阿勒泰地区 316
克拉玛依市 318
博尔塔拉蒙古自治州 319
吐鲁番市 324
和田地区 326
克孜勒苏柯尔克孜自治州 335
云南省
昆明市 17
曲靖市 117
大理白族自治州 142
红河哈尼族彝族自治州 179
玉溪市 200
丽江市 225
楚雄彝族自治州 227
文山壮族苗族自治州 234
昭通市 235
普洱市 246
保山市 263
西双版纳傣族自治州 267
德宏傣族景颇族自治州 284
临沧市 294
迪庆藏族自治州 317
怒江傈僳族自治州 329
浙江省
杭州市 12
宁波市 22
温州市 29
金华市 31
嘉兴市 45
台州市 47
绍兴市 61
湖州市 94
丽水市 169
衢州市 222
舟山市 279
点击关键词 看我们做过什么
城市榜单
2019城市商业魅力排行榜
2018城市商业魅力排行榜
2017城市商业魅力排行榜
2016城市商业魅力排行榜
运动城市 创新城市 城市消费力
商业分析
本土便利店 外资便利店 城市便利度 全家
对手品牌1.0 对手品牌2.0·H&M 对手品牌3.0·国民小吃
经济型酒店 中档酒店 喜达屋在苏州 金鸡湖
中华第一商圈 商圈栅格
Airbnb 冰淇淋店 餐厅排队 诚品书店 低线城市 电竞
星巴克选址 网红餐厅 电影票房 盒马选址 儿童业态
电影宣传 公共自行车 共享单车 海淘 中超 咖啡馆
快递 母婴消费 奶茶店 沙拉 社区商业 生鲜电商
手机 物流地产 下厨房 鲜花 新能源汽车
演唱会直播 宜家 Kindle 新西兰 租车
城市空间
城市天际线 宠物医院 大学城 单身社会 电影院 公园
国家级新区 健身房 老建筑修复 联合办公 摩天轮
高楼 文创 泳池 瑜伽馆 DIY
个别城市
上海·城市扩张 深圳·城中村 京津冀城市群
重庆·新中心 上海·路网 乌镇·戏剧
香港·商业 苏州·新旧文化 摇滚城市
苏州·扩张路径 义乌 知乎
城市交通
地铁路线 地铁系统 地铁线 地铁拥挤
飞机晚点 高铁站 12306 公交运转
共享汽车 交通枢纽城市 买车决策 一站地
拥堵 有轨电车 BRT
城市人
白领午餐 电影节 海归 商住 睡眠 相亲 找工作
装修 自由行 运动 民宿 涂鸦 双城生活
All about 城市
撤县设区 城市餐饮结构 城市群中心
抖音网红城市 二手房 方言圈 房价 合作办学
开发区 垃圾处理 人口 日出 日系 特色小镇
排水系统 县级城市消费 夜场电影 夜生活