出品:科普中国
制作:铲屎官训练营 东方胤
监制:中国科学院计算机网络信息中心
喵星人在家宠的地位的已经直逼汪星人,不光有家养猫还有云养猫。猫咪可爱的面孔,毛绒绒的爪子,傲娇的气质,都让铲屎官欲罢不能。

图片来自网络

铲屎官们也都是怕猫咪寂寞的主,家里猫狗混搭,或者猫咪成群,一只两只都已经不是什么新奇的事情,一站站一排才叫真正的猫奴。根据2014年日本petfood协会的调查显示,从铲屎官的每家平均来看,汪星人是1.25只,喵星人是1.79只。也就是说现在多只猫咪共养已经成为大势,单独养一只反倒成为了稀奇模式。

图片来自网络
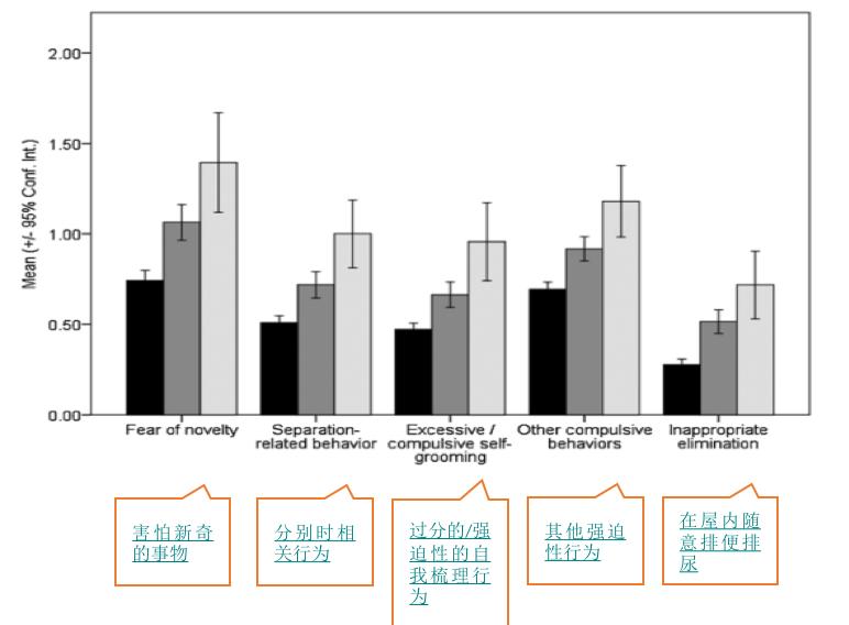
据文章调查显示,来自美国的研究者Duffy和他的团队一共收集了2788只来自42个国家的猫咪信息,年龄小于6个月和超过20岁的猫咪除外,剩下的所有猫咪的主人都接受了极为详细的问卷调查。
问卷总共包括148个项目,2608条小标题,对猫咪的行为模式进行了360度无死角的调查并给出了下面两张图中所反映的结论。图中的黑色柱状图表示,没有此类行为。深灰色柱状图表示存在一些小问题;浅灰色柱状图表示存在很严重的行为问题。


从上面两张图可以看出,家猫对于生活习惯有着很严苛的要求。大多数的家猫都存在着对其他的猫咪和汪星人的攻击*行为性**,还抵抗外界对自己的控制。接受调查的家猫里还存在对自己主人的攻击*行为性**。除此之外,对于来自外界抚摸的敏感程度,强烈的地域占有欲,接受新鲜事物困难等等都是家猫们存在的严重行为问题。对于家猫来说接受别人比接受自己还要难上加难。
这也是因为猫咪从古至今都是众乐乐不如独乐乐的傲娇兽。那到底猫咪之间有着什么生存法则,才能相互之间和平共处。
NO.1 “小姐小姐,你爱不爱吃青椒?”,家里来了外来客怎么办。
猫咪多只共养的时候会出现先来后到的情况,很多时候也有领养猫或者收养的野猫被带回家。为了给家里的先住猫一些缓冲时间,新入住的猫咪可以放在其他房间的笼子里隔离,让先住猫时不时感受新入猫的叫声和气味,逐渐意识到家里来了新的小伙伴。当先住猫慢慢放下戒备的时候隔着笼子让先住猫和新入猫相互见面,缓解紧张的气氛。但是完全放下对对方的戒备,大概还需要2、3周到数月的时间。
两猫相遇时候打招呼方式也很特别,就是先试探性的和对方的鼻子碰一下。尽量避免过近的接触对方,所以先感受一下鼻子周围的气味,然后再慢慢感受一下嘴周围的气味。

图片来自网络
当确认气味之后,再慢慢向对方的身体后部接近,相互绕着对方转圈以取得肛门周围的气味。此时就是俩猫之间暗地过招的时刻,好比太极推手,看似风平浪静实则杀机四伏。经过一段时间的僵持,气场处于劣势的那一方会主动翘起尾巴,让优势的那一方先闻自己肛门的气味。如果谁也不肯低头的话,就只能打一架来解决问题了。如果一架解决不了就多打俩架,相互争斗一段时间自然会彼此接受对方进入自己世界的事实。

NO.2 “你愁啥?瞅你咋地”,对上眼就要打架
猫咪们狭路相逢的时候都会避免正面对视。因为对于他们来说只要对上了,就代表着挑衅。

图片来自网络
一场争斗就不可避免了。所以在猫间道中,大家相互装作不认识的样子,迎面走来也是大家把头一撇装作看不见,反倒是猫社会中最礼貌的做法了。当大猫遇见小猫的时候,大猫会主动避开视线,即使小猫初生牛犊不怕虎主动走到大猫面前,大猫也会装作什么也不知道什么也没发生,一直把视线和小猫错开。猫间道中正所谓即使摆在眼前,说看不见就是看不见。

NO.3 “我的地盘我做主”,像汪星人一样,喵星人也会在路上做记号
作为高傲的喵星人,当然对于领地有很强的控制欲。所以在室外,野猫们就是像瓜分地盘一样,给自己的领地留下记号。但是更有意思的情况是,一天每个时段也会被划分掉,比如中午的时候可以通过这里的是A猫,下午可以通过这里的是B猫,晚上可以通过这里的是C猫。同一个场所按照时间顺序来分配,也是猫间道的生存法则之一了。

图片来自网络

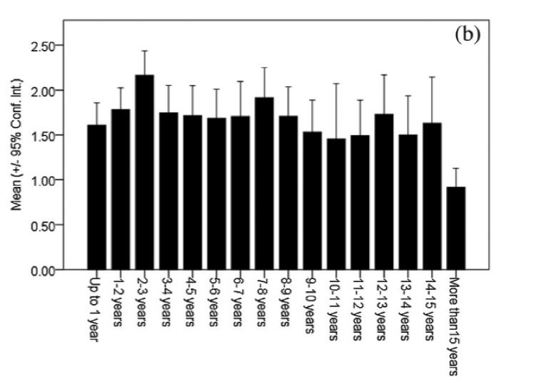
上图为Duffy团队的调查中猫咪在各个年龄段和占有*行为性**的相关性数据图。可以发现,只有年龄大于15岁后,猫咪的占有欲才会有少许下降,其他年龄段的占有*行为性**基本无波动。可见猫咪的领域意识一直很强。井水不犯河水乃是猫间道的基本处世哲学之一。
NO.4 “来呀,快活呀!”,猫间道也有*会集**
野猫们虽然平时会刻意的避免和左邻右舍相遇,但是有趣的是,野猫们会在一个固定时间固定地点,把某个地区的同伴都召集在一起,就像一年一度的*会集**盛典一样。野猫群中都会有一个BOSS,一般都是没有做过节育的公猫,BOSS之下的猫咪虽然没有地位之分,但是相互之间会有优劣势的区别。劣势猫总是低眉顺眼,一旦被优势的猫不小心瞄到,劣势猫就会埋头贴地悄悄地离开那里。所以在这个*会集**里,就如菜市场一样,野猫们之间会相互八卦,哪一个是这一片地域最脏的家伙,哪一个是这片最厉害的家伙。虽然这其中把大家召集起来的原理还没有弄清,但是对于独乐乐的猫星人来说也是很特别的猫间道生存法则之一了。
更能体现猫间道中集合能力的就是当母猫们产下幼崽的时候。猫群内所有的母猫都会把刚出生的小猫叼到喵咪女王(lactating queen)面前,在猫咪女王的管理下共同抚养幼崽,这也是猫间道里通过扩大群体保存幼崽存活率的一种复杂行为。

猫咪和猫咪之间的沟通一直让蓝星人捉摸不透。猫咪的叫声能听到的也只有喵,呜,嘶嘶声。猫咪萌萌的面孔之下,喜怒哀乐怎么仅仅是只用这三种声音就能表达出来的呢。当然傲娇的猫咪们不会只用这三种表达方式,猫咪们的沟通侧重在心灵层面。一个犀利的小眼神,微微翘起的尾巴,就可以表达出今天到底是开心还是郁闷,亦或是不行我们就打一架的节奏,是一个内心戏十足的戏精。这也是我们常常能遇到的情景,在家里呼唤着爱猫的名字,但是明明感觉到了它听到了你的呼唤,尾巴摇了两下,但就是不转头不搭理不应和。这就是被纯纯的忽视掉的节奏,我听到了但是我不想理你,因为我在晒太阳。

更有趣的发现是猫星人的叫声大多是给人听的,猫咪之间基本处于无声沟通的状态。一段时间不喵喵叫的话,猫咪们还有可能失声呢。所以有好奇心的铲屎官不妨试一试,单独让猫星人在家留守几天,看看猫咪们到底会不会真的忘掉怎么喵喵喵了。
参考文献:
1、https://mofmo.jp/article/3454
2、https://nyanpedia.com/post-7142/
3、http://ww3.tiki.ne.jp/~nsasax/pet/know/rule-2.html
4、https://icatcare.org/advice/understanding-your-cat/social-structure-cat-life
5、Deborah L.DuffyaRoseana T. Dinizde Mourab James A.Serpel. Development and evaluation of the Fe-BARQ: A new survey instrument for measuring behavior in domestic cats (Felis s. catus). Volume 141, Part 3, August 2017, Pages 329-341

“科普中国”是中国科协携同社会各方利用信息化手段开展科学传播的科学权威品牌。
本文由科普中国移动端出品,转载请注明出处。