α-GPC逆转记忆衰退的机制:
提高记忆力形成的基础——LTP的水平
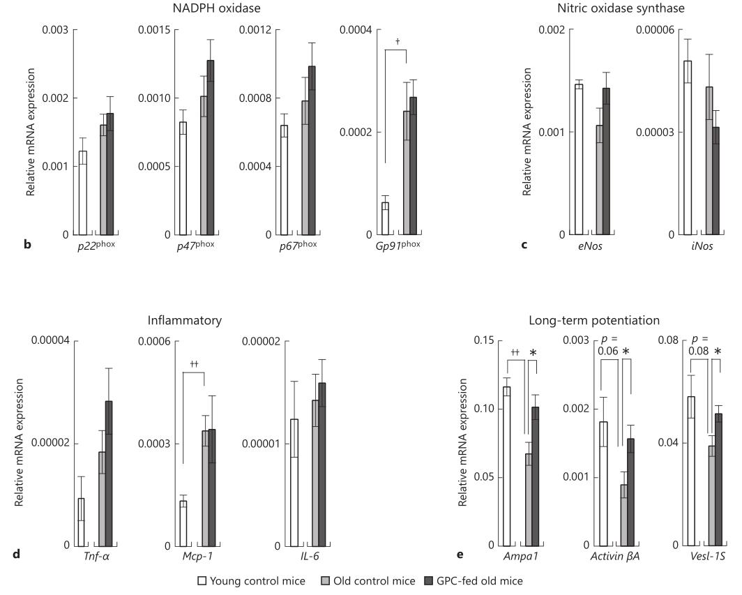
【文献解读】
2020年1月,日本东京大学的研究团队在期刊《Gerontology》上发表文章,探究α-甘油磷酸胆碱(α-GPC)如何防止衰老导致的认知功能下降。LTP(长时程增强作用)被普遍视为构成学习与记忆基础的主要分子机制之一。此前有研究证明,LTP的基因表达水平随年龄的增长而下降,本次研究发现,α-GPC的摄入会对这一过程有抑制作用。

该研究团队以小鼠为模式生物,将其分为3组:饲喂正常饲料的老年小鼠对照组(105-118周龄)、幼龄小鼠对照组(7周龄)和用含GPC的食物喂养的老年组小鼠。通过检测各小鼠海马区的基因表达水平,探究α-GPC摄入对多种基因表达水平的影响。结果发现,α-GPC喂养的老年小鼠LTP的mRNA表达水平显著高于老年对照组,表明α-GPC摄入对由衰老导致的LTP基因的mRNA表达水平下降具有抑制作用。

α-GPC的摄入改善了LTP和β氧化相关的基因表达水平随年龄增长而下降的情况,这一研究成果为阐明α-GPC延缓衰老导致的认知衰退的分子机制奠定了基础。
【文献节选】
α-Glycerophosphocholine (GPC) is a natural source of choline. It reportedly prevents aging-related decline in cognitive function, but the underlying mechanism remains unclear. Although it is understood that aging influences taste sensitivity and energy regulation, whether GPC exerts antiaging effects on such phenomena requires further elucidation. Here, we used old C57BL/6J mice that were fed a GPC-containing diet, to investigate the molecular mechanisms underlying the prevention of a decline in cognitive function associated with aging and examine the beneficial effects of GPC intake on aging-related phenomena, such as taste sensitivity and energy regulation. We confirmed that GPC intake reduces the aging-related decline in the expression levels of genes related to long-term potentiation. Although we did not observe an improvement in aging-related decline in taste sensitivity, there was a notable improvement in the expression levels of β-oxidation-associated genes in old mice. Our results suggest that the prevention of aging-related decline in cognitive function by GPC intake may be associated with the improvement of gene expression levels of longterm potentiation. Furthermore, GPC intake may positively influence lipid metabolism.