分享兴趣,传播快乐,
增长见闻,留下美好。
亲爱的您,
这里是LearingYard学苑!
今天小编为大家带来知识打卡(九十六)
欢迎您的用心访问!
本期推文阅读时长大约8分钟,请您耐心阅读。
Share interest, spread happiness,
increase knowledge, and leave beautiful.
Dear you,
this is the LearingYard Academy!
Today, the editor brings you knowledge punch cards (96)
Welcome your visit!
This tweet usually takes about 8minutes to read. Please be patient and read.

内容提要
今天我们继续阅读英文期刊文献《Modeling and optimizing a multi‑period closed‑loop supply chain for pricing, warranty period, and quality management》,中文翻译可理解为《关于产品定价、保修期和质量管理的多周期闭环供应链模型与优化》,上次对阅读该文章的问题描述和假设,本期我们将进行模型构建的学习。
Today we continue to read the English journal article Modeling and optimizing a multi-period closed-loop supply chain for pricing, warranty period, and quality management . Last time we described the problem and hypothesis for reading the article, and in this issue we will do the study of model construction.
本期内容将从思维导图、精读内容和知识补充三部分展开。
In this issue, we will start with three parts: mind map, intensive reading content and knowledge supplement.
思维导图

精读内容
【模型构建】
在此部分,文章首先表明在市场中存在两种消费需求:一种是新产品的需求;另外一种是对再制产品的需求。根据前面的学习,我们已经可以知道需求韩函数是一个与销售价格和保修期有关的函数。此前,已经有学者对于这种需求函数非线性表述进行了研究。
在文章中,作者们采用的是非线性对CLSC问题中对需求进行表述,这样也会更符合实际。
从下图需求公式中可以看出保质期时间延长都会促使消费者增加需求,而增加销售价格则会导致产品需求的减少。
In this section, the article first shows that there are two types of consumer demand in the market: one is the demand for new products; the other is the demand for remanufactured products. Based on the previous study, we can already know that the demand Han function is a function related to the selling price and the warranty period. Previously, this nonlinear formulation of the demand function has been studied by scholars.
In the article, the authors use a non-linear formulation of demand in the CLSC problem, which will also be more realistic.
The demand equation below shows that any increase in shelf life time will lead to an increase in consumer demand, while an increase in sales price will lead to a decrease in product demand.

表示完需求函数之后,作者对前几期的退货产品数量进行了分析,退货量取决于每期旧产品的收购成本v和使用年限。由于年龄的提高会影响产品的质量,文章指出只有合格的产品才允许进行维修。
After expressing the demand function, the authors analyze the number of returned products in previous periods, which depends on the acquisition cost v and the age of the old product in each period. Since the increase in age affects the quality of the product, the article states that only qualified products are allowed to be repaired.

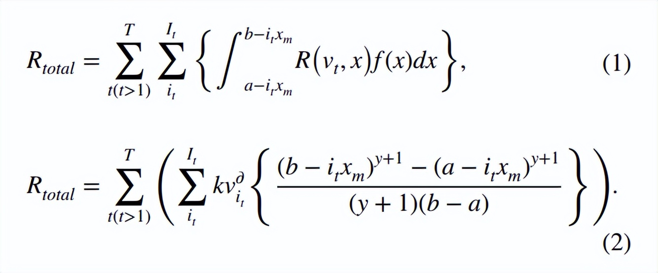
文章为了计算多周期模型的总退货量,提出了公式(1)(2),其中新产品的初始年龄是一个随机变量(x),在区间[a,b]内均匀分布。在回收过程中,旧产品的年龄变为(x-it xm),这代表了从i期到t期的返回产品的它次数。在这方面,如果退回产品的质量达到新的条件,xm就变成了零,而xm=x表示回收过程无法提升旧产品的质量。
The article proposes equation (1)(2) in order to calculate the total returns for the multi-period model, where the initial age of the new product is a random variable (x), uniformly distributed in the interval [a,b]. In the recycling process, the age of the old product becomes (x-it xm),which represents the number of times it is returned product from period i to period t. In this regard, xm becomes zero if the quality of the returned product reaches the new condition, and xm=x indicates that the recycling process cannot improve the quality of the old product.

知识补充
在总的退货数量计算公式中,涉及到了积分求取。积分是微分的逆运算,即知道了某个函数的导函数,可以求出原函数。在实际的应用中,它被应用于求和,也就是常说的求曲边三角形的面积。
积分的性质中就包含累加连续,文章中通过求取单一周期里面的数量,在采用积分就可以求取整个多周期内中的退货数量函数。
The formula for calculating the total number of returns involves integral finding. Integration is the inverse of differentiation, i.e., knowing the derivative of a function, the original function can be found. In practical applications, it is applied to summation, which is often referred to as finding the area of a curved-sided triangle.
The nature of the integral contains cumulative continuity, and the article by finding the quantity inside a single cycle, in the use of the integral it is possible to find the function of the number of returns in the entire multi-cycle.

今天的分享就到这里了。
如果您对今天的文章有独特的想法,
欢迎给我们留言,
让我们相约明天,
祝您今天过得开心快乐!
That's it for today's sharing.
If you have a unique idea about today’s article,
welcome to leave us a message,
Let us meet tomorrow.
Have a nice day!
参考资料:谷歌翻译、百度百科;
参考文献:
[1] Keshavarz-Ghorbani F , Khamseh A A . Modeling and optimizing a multi-period closed-loop supply chain for pricing, warranty period, and quality management[J]. Journal of Ambient Intelligence and Humanized Computing, 2021(6).
本文由LearningYard学苑整理并发出,如有侵权请在后台留言!