1905年爱因斯坦发表了“论动体的电动力学”,即后来震惊物理届的狭义相对论,将时间和空间融合一体,不再是牛顿力学中的互不相干,还有著名的质能方程也是从狭义相对论中来的。但是今天我们对狭义相对论不多做介绍,只对其中的一个公式作一下探讨,就是时间膨胀公式

它所代表的物理含义是:做相对运动的物体,它的内部时间流逝的比相对静止的物体要慢
而在这里,大家对于这个公式的由来,可能认为比较繁杂(实际上就是将洛伦兹变换推导出来,之后那些狭义相对论的结果就顺理成章的出来了,数学推导上算不上难,但是物理思想上就不是常人能容易想到了,这也是爱因斯坦高明之处)
但是今天我想给大家演示一遍,时间膨胀公式的另一种比较直观,也比较特别的推导方式
首先想象在一列匀速行驶的动车上,在车厢上面的天花板上有个发射装置(在A点处),能连续发出单个光子,并且发射的方向,是正对着地板(光线击中B点),就是垂直
此时,在车厢里有一位乘客在一直观察着光线,当然无论他看多久,光线始终是垂直地板,一条垂直的线
但与此同时,在列车外,有一名站在地面上的观测者,那么他看到的是什么场景呢?没错,它发现,在车厢里,有一束向着运动方向倾斜的光线(这个大家在脑海中想象一下就出来了)
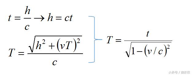
在这里,我们进行一下简单的小学数学推导
①设光线从天花板(A点)到地板(B点)所用的时间,在车厢里乘客测得为t ,在地面上观测者测得为T
②列车速度为V,车厢高度为h(即AB点距离)
③由光速不变原理得,两个观测者所测的光线:光速相等,为C
如下图所示

那么

我们发现,这个和狭义相对论中时间膨胀的公式是一模一样的,并且我们可以将相对论时间膨胀公式的物理含义赋予给这个公式。
如果喜欢,请点击屏幕右上角关注哦,欢迎评论,不定期更新优质科普文章哦