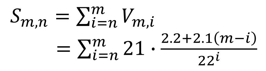
文/厕所所长
在我工资还很低的时候,花了几百块钱买了这样一个烧水壶,可以烧水、保温、电动出水,就像下面这个图里一样。

现在用了三四年了,我不知道大家有没有这样的困惑,即,当每一壶水快要喝完的时候,总是因为水壶的结构,有一部分水打不出来——

你们看上面这个图就能看到,水每次都是打不完的,剩一点点。
以前经常听人说什么“千滚水”对健康有害(虽然已经有人辟谣,但是我们在这里暂不讨论),那如果我一直不洗水壶,这一部分水不就会反复沸腾吗?理论上说,比较好的做法是,每喝完一壶水,都把这个剩下的水倒掉,重新装水,喝完再倒掉,如此反复。但是,对于我这种连洗碗都嫌麻烦以至于要用锅吃饭的人来说,真的是太麻烦了。
于是我就想,如果我每次都不把水倒掉,直接加满水继续烧,那我到底会喝掉多少所谓的“千滚水”呢?下面我们就来讨论一下这个问题。你们将会看到,其实只要使用一些中学数学的知识,我们就能得出一个粗略的答案。
首先,我们假设每次加水的时候,都把水正好加到了水壶的最大容量,就是图上那个“最大”刻度线的位置,产品说明书告诉我,这个容量是2.2L。

其次,我们还要假设每次烧水的时候,没有蒸发,所有的水全部烧开并最后被我喝掉。这个假设是合理的,因为如果我们要考虑蒸发的问题,无非是在总水量上乘以一个略小于1的系数而已。
我实际测量了一下,第二张图的那个剩余水量,深度大概5mm,这个深度每次都差不多是这样,因为这是由水壶的构造决定的。而水壶的直径,大概160mm。

于是可以知道,水壶的底面积应该是:

水壶容积为2.2L,且从上到下近似为一圆柱体,故水壶内胆高度应该是:

所以我们知道,每次剩余水量,大概是5mm/110mmm,即全部水量1/22,大概100ml。
下面,我们就可以开始了。假定这个水壶是个新水壶(你们虽然看到我的水壶很脏但是我就是要假定这是个新水壶,不服你们就送我一个新的),那我们的第一壶水烧开并喝“完”(注意这里有剩余水量)的时候,我们喝掉了“一滚水”2.1L,还剩余“一滚水”0.1L。
然后,我们不倒掉这剩余的0.1L水,开始烧第二壶水。
显然,我们又加入了2.1L新水,然后一起烧开,这时,我们水壶里有2.1L的“一滚水”和0.1L的“二滚水”。
然后我们开始喝,应该可以假定,这0.1L的“二滚水”是均匀分布在整个水壶里的,于是,我们这次喝掉了21/22的整壶水,相当于喝掉了0.1*21/22L的“二滚水”。这时,壶里还剩下0.1*1/22的“二滚水”和0.1*21/22的“一滚水”。
这样说可能太抽象了,我决定画一张表:

由此就很容易看出,每次喝掉的水的成分:

然后就很容易归纳出,每烧水m次,你喝掉的n滚水的体积:

我这里假定m不小于3,因为如下图,很多水壶上都有“除氯”之类的标识(虎牌打钱?),所以讨论“二滚水”是没有什么意义的。

这样,你就可以根据上面的公式,算出你烧水多少次,会喝到多少几滚水。比如,我要讨论喝到烧水10000次喝到5滚水的量,就可以直接代入,得

你可以看到,即使你烧水一万次,(按每天烧三次,大概得烧十年吧)摄入的五滚水量都是很少的,大概连10ml都不到,更不要说“千滚水”了。
可是,问题还没有结束,我们如果假定水烧的次数越多,对人体越有害,那我们就还需要讨论,对于任意给定的m,我们对于“n滚以上水的摄入量”。
由上面的公式,这个摄入量应该是:

我们先写

稍有中学数学基础的人就会知道,上式前半部分是等比数列求和,求和非常简单。而后半部分是一个典型的“等差乘等比数列求和”问题,只需要将等式两边乘以公比,再两式相减,就可以很容易的求出通项公式。
于是,在略去了一些简单的计算之后,我们有:

然后,我们可以同样取m=10000和n=5来讨论,注意,这次我们可以直接算出在一万次烧水过程中,我们饮用超过五滚水的量,代入数据,进行简单计算可以得到:

也就是说,你在十年里面,如果每天喝六升多水(相当于5瓶1.25L的雪碧,你自己感受一下),摄入五滚以上水的量大概是90ml,不到一个水壶底的量。所以,那些有强迫症纠结于烧水壶底下的水要不要倒掉的同学,请放心的飞奔吧,你没那么容易被毒死!
我老婆经常说我,你杯子都要跟马桶一样脏了,但她不知道的是,其实我们的水壶也是。
而且,我最后就想问你们一句,你们见过这么干净的马桶吗!
