
慢性肾脏病虽不好治愈,但随着越来越多新药的应用,肾病进展速度被大大延缓。
而在这些新药中,不得不提一类响当当的“明星药”---SGLT2*制剂抑**,即名字中带有“ 格列净 ”三个字的药物(代表药物见下图所示),因具有显著的心脏和肾脏保护作用,近年来被快速推广用于肾科,我们一些肾友也已经在用了。

然而,许多人却感到困惑:“医生让我吃*格列净后,血肌酐涨了不少,这是为啥呢?”一些肾友也因为不了解药物特点,吓得随随便便就自行把药停了,很可惜!
今天,就来跟随肾上线来了解一下格列净类药物吧。
一款降糖药,被证实能显著延缓肾病进展
有的临床试验用的达格列净,有的用的卡格列净,有的用的是恩格列净,不用纠结,不同格列净类药物作用是类似的,可以互换。
格列净类最初被批准上市时,是用来治疗 2型糖尿病 的降糖药。而大家知道,很多糖尿病患者同时合并糖尿病肾病和心血管疾病,用着用着发现,格列净类在防治肾病和心血管病方面效果显著。
而且格列净类药物对肾脏和心血管方面的保护作用,独立于降血糖,也就是说,它们能延缓肾病进展并不是因为能降血糖,而是别的作用机制[1],属实是“无心插柳柳成荫”。
格列净类药物对肾脏的作用机制▽

发表在顶级医学期刊NEJM的CREDENCE试验数据显示[2]:
在2型糖尿病肾病患者中,患者们在RAS阻断剂(普利/沙坦)的基础上,联合使用卡格列净,显著延缓肾功能恶化速度,终末期肾病预计 延迟15年。

图片来源 [3] :eGFR Decline after SGLT2 Inhibitor Initiation: The Tortoise and the Hare Reimagined. Kidney 360 2(6):p 1042-1047, June 2021
在这里额外提一下,研究中或平时医生是如何计算一个肾病患者预计多少年要透析的呢?估算肾小球滤过率(eGFR)降到15mL/min/1.73㎡是终末期肾病,而一般患者撑到肾小球滤过率5~10mL/min/1.73㎡左右开始透析,因此,计算方式:
何时透析≈(基线肾小球滤过率-10)÷平均每年肾小球滤过率下降
回到上述的临床研究,参与者的特点是:2型糖尿病肾病,平均年龄62岁,平均肾小球滤过率56mL/min/1.73㎡。对比仅使用RAS阻断剂,和RAS阻断剂+卡格列净的肾功能恶化差异。
仅使用RAS阻断剂(普利/沙坦),统计后患者们平均每年肾小球滤过率下降为4.6 ml/min,预计在10年达到终末期肾脏病( 黄色虚线 ),即(56-10)÷4.6=10年
然而,在RAS阻断剂基础上加入卡格列净,患者们平均年肾小球滤过率减少1.85 ml/min( 蓝色虚线 ),预计在25年达到终末期肾脏病,即(56-10)÷1.85≈25年,也就是说加上卡格列净,预计将透析时间延迟15年。
这项试验的肾友们平均62岁,本来按照传统治疗模式可能70来岁透析,在新药加持下,将透析时间往后再推迟15年,这意味着,很有可能让他们延缓到寿终正寝而不必透析了。
虽不治愈,但咱们必须看到的是,延缓到寿终正寝不也是另一种胜利么!
当然上文阐述的,是按照老年糖肾患者平均肾病进展水平的估算,每个肾友的基础病不同,基础肾小球滤过率不同、尿蛋白控制情况、血压控制情况等等不同,那么格列净类药物加上后,能推迟的时间也会有巨大的个体差异。肾功能越早阶段干预,尿蛋白、血压等情况控制得越好,那么效果也会更好;反之,则更差。
用上格列净类药物后,血肌酐涨了?别慌,保肾效果在后头呢!
不过,很多使用格列净类药物的肾友也发现一个现象:尿蛋白降了,但是 肌酐反而涨上去了 !很害怕,一些人可能因为害怕自己就把药停掉了。
千万别这样!别乱停药! 格列净类药物延缓肾功能进展的作用,效果体现在后头呢!
下图我们再来放大仔细看看用红色框框标记的部分:加药前4周,加卡格列净(蓝线)后, 患者们整体的肾小球滤过率会有个急速的下降 (因为血肌酐涨了,估算肾小球滤过率会降,随后2,3个月血肌酐会恢复一些)。不过,在用药一年多后,卡格列净组延缓肾功能下降的优势慢慢就体现出来了(龟速),而没用卡格列净的那组患者下降快多了(兔子)。

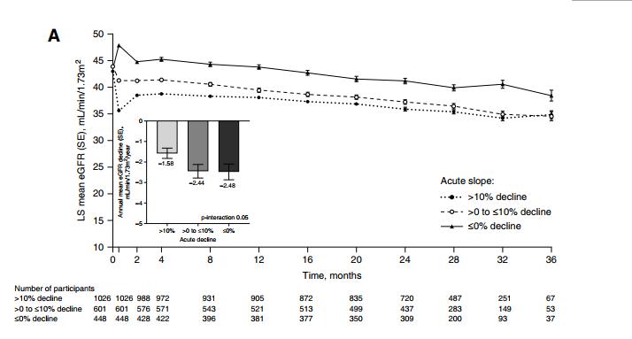
不仅仅是这项研究观察到了这样的现象,还有其他研究也在探讨,服药后短期导致肌酐快速上升,会不会伤害患者。例如刚在JASN上发表的一项研究表明[4]:
加了达格列净后,患者短期血肌酐迅速上升,与长期的肾病恶化无关。

并且,研究人员发现,患者们使用达格列净2周后, 那些肾小球滤过率下降明显的人(血肌酐涨了的),达格列净对肾脏的保护作用比那些没变化的人更突出!

从图中可以看出:用达格列净后,肾小球滤过率下降≥10%的人:每年肾功能肾小球滤过率下降1.58
用达格列净后,肾小球滤过率下降0-10%的人:年肾小球滤过率下降2.44
用达格列净后,肾小球滤过率不变的人::每年下降速度是2.48
不过,无论在吃药2周时肾功能变了没变,随访3年后,达格列净组的肾功能恶化速度减慢,总体比安慰剂有更强的肾脏保护作用。

不仅是格列净类药物有这样的现象,我们之前科普过,RAS阻断剂在用药之初也有这样涨肌酐的现象,→明显减慢肾病恶化的救命药,可惜还有很多肾友不知道!
眼光要放长远,吃格列净类药物或普利/沙坦类药物后,血肌酐涨10-20%是很常见的,涨幅在30%以内都可以观察,不需要停药。比起现在这点血肌酐升高,这类药物可以让你以后十几年,几十年的血肌酐升高速度变慢。现在涨10几,20几的血肌酐你舍不得,乱停药,以后血肌酐100,200的涨你就舍得吗?
但如果血肌酐涨幅过大(超过基线的30%,比如吃之前血肌酐100,涨到超过130),也请与医生及时联系,我们可能需要减量或暂停。
参考文献:
1.Renoprotective effects of sodium-glucose cotransporter-2 inhibitors.KI
2.Canagliflozin and Renal Outcomes in Type 2 Diabetes and Nephropathy.NEJM
3.eGFR Decline after SGLT2 Inhibitor Initiation: The Tortoise and the Hare Reimagined.kidney 360
4.Correlates and Consequences of an Acute Change in eGFR in Response to the SGLT2 Inhibitor Dapagliflozin in Patients with CKD. J Am Soc Nephrol. 2022 Nov;33(11):2094-2107.
