影响VAV系统效果的设计要点:
全空气定风量系统:

新风机+风机盘管系统:

空气循环半径和配用风机均很小,风机能耗小。且能实现各房间或空调区域的室温控制,便宜。
VAV系统(全空气变风量系统):

系统特点:

空调系统中处于湿工况的冷却盘管和输送相对湿度超过70%的送风管很容易淤积带有细菌、病毒的灰尘颗粒,使微生物增长,恶化室内空气品质。
VAV变风量系统经济效益分析:
初投资 |设备|风管道|水管路|电气|
运行费用|电费|租售价格|维护管理|冷机过渡季停机|

VAV变风量技术:
变风量系统成功实施关键:设计合理、准确;高品质VAV末端;机电安装;风平衡;调试;物业……

系统分区:朝向的影响;内外分区。

朝向:负荷的一致性。
如何处理外区负荷和解决区域过冷问题历来是变风量空调系统的难题,然而,一旦末端装置采用了再热方式,对该问题就有所缓解。
内区:与建筑物外维护结构有一定距离,具有相对稳定的边界温度条件的区域。
外区:直接受外维护结构日射得热、温差传热、辐射换热和空气渗透影响的区域。
内外分区可在一定程度上缓解区域冷热不均的现象。
进深长度:?m以内通常全部作为外区考虑。

气候条件:辐射热的影响。
外围护结构热工性能:外窗、外墙的隔热性能;外窗的遮阳系数;窗墙比。
隔断设置:装修的影响。自用 VS 出租:
自用:功能区划分清晰;
出租:隔断、二次装修,影响系统效果。
美系 VS 日系:

系统分区:

1台AHU:

西子联合大厦:低温送风。

两台AHU风量有差距,此种设计较少;不利于风管排布。
2台AHU(1台内区,1台外区):


最常见的一种系统分布,综合考虑了能耗、投资性舒适性,比较适合我国国情。
2台AHU,分内外区:


冷、热分别处理:

4台AHU(2台内区,2台外区):


4台/更多台AHU:


外区风机盘管/散热器:

系统配置:
南北方差异:北方,隔离冷源。南方,炎热的夏季。
气流组织;低温送风。
选型要点:冬季加热;室内空气分布性能;低温送风。

带风机的末端能提供更大的加热量,满足寒冷地区冬季供热需求。
风机能耗,运行噪声:
风机助力的风机能耗在0.1~0.6kw范围内,如果选用过多,也会造成大的供电供给;
选择带风机的末端,不得不面对的是噪声问题。如果没有吊顶的设计,最好不要选用,因为风机的辐射噪声会直接辐射至办公区域。

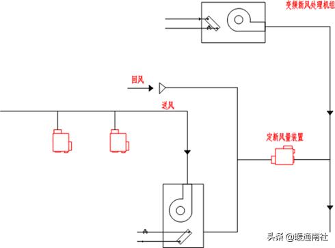
新风设计:
新风分散处理—窗际取新风:
灵活控制;设置最小新风管;过渡季全新风;合适的位置开设新风口;北方冬季冻;影响建筑外观。

系统最小新风量和全新风量相差很大,应设置最小新风管,使新风管内的风速控制在可测范围内。
新风集中处理—新风井:
空调机房设于芯筒;集中新风空调器设于屋顶/设备层;新风经新风机组集中处理后送到各层楼面;节省空间。

由于集中新风空调器负担了大部分的新风负荷,楼层空调器的负荷比较稳定。
新风CAV:
每一楼层的新风管上设置定风量(CAV)装置;
消除楼面AHU变风量运行时对系统新风量的影响;
各楼层新风量可随时方便地再设定。

回风设计:
回风管回风:各房间压力不平衡;不利于变风量末端的调节性能。靠近机房的房间有可能出现负压。较远处的房间正压过大。
吊顶静压箱回风:吊顶空间静压均匀,各房间之间的静压差可忽略不计;风速低,不会扬尘;节省空间;为变风量系统所常用。
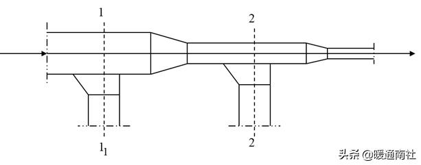
风管设计:枝状风管;环形风管;矩形截面;椭圆截面。
环形风管:降低并均化了送风管的静压值;静压复得计算方法;“零点”的寻找。

静压复得法,基本原理:通过改变下游管道断面尺寸,使得在分流三通处的静压彼此相等。

(Pj1+ρv12/2)-(Pj2+ρv22/2)-=ΔPq1-2
当Pj1= Pj2时,ΔPq1-2=ρv12/2-ρv22/2
静压复得法:
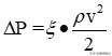
摩擦阻力:因空气和物体表面摩擦而产生的阻力。

局部阻力:管道截面积突然扩大或缩小时所产生的阻力。

干管管段1的计算思路:假设V1、V2。在计算1-1和2-2断面的全压损失时,需要使用被求的速度值V2,为此必须同时假设一个V2,并经反复试算,直到ΔPq 1-2=ρv12/2-ρv22/2成立。
1、根据V1,可求得管段1的摩擦阻力;
2、由速度比V1/V2,可参考拟合公式计算管段1的局部阻力系数,由此得管段1的局部阻力;
3、令局部阻力+摩擦阻力=ρv22/2-ρv12/2,验证假设的V2值是否合适,否则修改V2,重新计算。

特点:
1、适用于均匀送风空调系统的设计;
2、需要反复试算,不适合手算,可利用计算机。
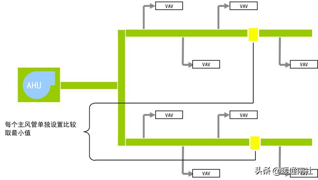
标准层2台AHU:中间不加阀/加阀;尺寸不变/尺寸变;

未加阀的情况下,如果一侧的某个VAV风阀开大,那么该AHU频率上升,使得另一侧的VAV风阀关小,另一侧的AHU频率下降。结果是,一台AHU频率不断上升,一台AHU不断减小。
如果不加阀,可编辑逻辑,使两台AHU同时变化,同时收集整层的VAV开度变化调节变频,变频频率一致。
标准层2台AHU:

标准层1台AHU:中间不加阀/加阀,尺寸不变/尺寸变;零点漂移,在一定程度下降低了送风静压。

标准层1台AHU:

环形风管:

矩形截面:国内项目常用;制作工艺简单;便于现场操作。考虑送风的均匀性,噪声等问题,风管的长宽比不超过4:1
椭圆截面:结构强度好;占用空间小;制作工艺复杂。

噪声:

串联风机的型号比并联的风机大,在同样的风量指标下,串联的噪声大于并联。
辐射噪声,排气噪声:

辐射噪声,吊顶空间的衰减。
辐射噪声的衰减,天花板的材质:

回风口的位置:末端装置进风口处的风管。
和金属风管相比,柔性风管和玻璃纤维风管能产生明显更大的外泄噪声。柔性风管如果发生弯曲、松垂或者压缩也将会产生噪声。
消音箱:

支管功率分流;有内衬软管:

风机助力之机外余压:

0.4英寸水柱的机外余压=100Pa,700CFM=1190CMH;如果想加大机外余压到0.55英寸水柱=137.5Pa,那么就需要将风机型号加大一个尺寸。
风机助力之机外余压:

风机助力之机外余压:

我们之前看到了很多的系统设计,有些是朝向很多,有些是一台AHU带很多VAV末端,在这么多的系统设计中,哪一些设计是更需要保障压力控制,哪一些是更需要保障风量控制,更节能呢?其实我们在暖通设计时,就需要考虑最终用哪种控制方式来达到实际的需要,什么样的系统配置,用什么样的控制策略,来达到最终系统的运转。
系统风量控制策略:

保障压力的控制策略:
在送风系统管网的最不利处,设置静压传感器;
在保持该静压一定值的前提下,通过调节风机频率来改变空调系统的送风量;
保持风管中某一点的静压。
由于VAV系统内风量一直在改变,风阀关小,风管里的静压增高,而过多的静压并没有被应用,造成了浪费,因此需要降低AHU频率。
VAV入口需要有一个最低的压力,VAV才能测量到风量,因此需要满足最低压力。
1.测定控制回路静压值,并将之与设定值比较;
2.控制器将输出信号发送给变频器,影响风机速度及风管中的静压。

在不同的系统配置里,保障压力的控制策略有的时候可能保障不了,如外区串联风机,内区单风道。
正确选择静压设定值非常重要
如果设定值太低,风量不足,不能保证舒适度;
某些VAV末端的风门开度到了100%,但实际流量还是比所需流量要小;这些VAV末端风量不足,且VAV 末端不能达到房间温度的设定点。
如果设定值太高,不节能、系统噪音大、工作不稳定;静压设定点高,降低风阀的调节范围,可能出现震荡;气流从小开口流动会产生许多噪音。
在送风管中的最低静压处设置静压传感器;应将静压测定点设置在气流稳定的直管段上。

结合之前的暖通配置的分布,来介绍定静压控制策略。



“保障开度”的控制策略:
为什么要保障开度?
开度直接控制变频。由于没有考虑压力,可能导致系统内的压力过高/低,在优化后,增加了压力环节。压力有一个合理的范围,不可能低于系统内的基本保障的压力,也不可能高于系统内的最高值。

保证大部分VAV风阀处于较高开度;风道内的压力动态变化;可以跟踪系统静压需求。
1.核对所有VAV末端的风阀位置:
如果大多数VAV末端开度>90%,则将风道静压传感器的设定值增加;
如果大多数VAV末端开度<70%,则将风道静压传感器的设定值减小。
2.比较风道内实际送风静压与静压设定值,调节空调机变频。
当实际送风静压>静压设定值时,空调机频率减小;
当实际送风静压<静压设定值时,空调机频率增加。
“保障压力,兼顾开度”的控制策略:
不必考虑静压传感器的位置,因其反应了系统的整体需求;
由于静压传感器还存在,静压波动和风管内湍流影响静压测定问题仍然存在,设计时应选择气流稳定直管段放置静压传感器;
控制复杂,设计不好易产生震荡。



保障风量的控制策略:
将各VAV末端装置的瞬时风量值求和,得出这时系统要求的总风量;由系统总风量依据风机特性曲线转换成风速,控制风机频率。
将各VAV末端装置所计算出的需求风量值求和,补偿风道各环节漏风量后,得出这时系统要求的总风量;根据风机在各个转速下的输出,可以得出其流量与转速的关系,将其编入控制器中,即可根据要求的风量控制风机转速。
利用数据通讯优势,直接从末端装置需求风量求取风机设定转速,回避了静压检测与控制中的诸多问题;当各温度控制区的负荷及末端装置调节风阀的开度差别较大时,控制不准确;现场调试工作量大。
根据风量和频率的关系,计算出AHU初始频率;
收集AHU所带VAV开度,如果大多数VAV末端开度>90%,则将AHU频率增加;如果大多数VAV末端开度<70%,则将AHU频率减小。



几种控制方式比较:

控制策略对比:
定静压适用于单台AHU负责VAV末端较多(20~30个)的应用,如风道管网过于复杂,则需设置多个静压点或进行风管静压再设定;
静压再设仅在单台AHU负责少量VAV末端(10个之内),且这些VAV的空调区域朝向一致时,才能充分发挥其节能效果;
总风量控制成功的关键在于能够精确建立风道模型,且风管密闭性得到保证,AHU选型合理。
影响VAV系统效果的控制要点:
VMA模式:Cooldown;Warmup;Heating 。

冬季内区,送风15度,设定20度,实际22度。
Heating:

带水盘管/电机热,加热模式。
VAV在特殊场合的应用:
会议室:人员变化大;新风量;节能模式。
区域划分细一点;选择带风机助力的末端,做一个灯的开关座位辅助输入。辅助触点:
占用/非占用模式。时间表,下午6点下班,进入非占用模式,除非有人拨动温控器,就会进入占用模式。
走廊:人员流动大;人员停留时间短。
温控器的位置:墙装;吊顶。

杜绝将所有温控器放在一起的现象;温控器的位置要最能代表区域温度;
由于现在很多办公场所都是大开间,玻璃幕墙,只能将温控器放置于吊顶,通过控制中心对温度进行设计和调节。
温控器设计:每台变风量末端装置应设置温控器;应设置在温控区有代表性的位置,不将多个温控器设置在一起。
墙置式温控器:高度1.2~1.5米,通风背阳处。
吊顶式温控器:吊顶处温度与呼吸区温度的差别;设定温度高于实际温度1~1.5°。外区温度应比内区低1~2°,有利于内外区气流的混合得益。
案例分享:
成都仁恒置地广场:
标准层面积2095m2;4台AHU,西北外/内,东南外/内
内外区分开;“保障风量,兼顾开度”的控制策略。

“保障风量,兼顾开度”控制策略:
计算每个VAV BOX的风量,求出风量总和;
根据

求出AHU转速;
根据VAV BOX的情况,计算VAV风阀高开度数量和VAV低开度数量:以70~90%为控制目标,小于70%为低开度,大于90%为高开度;根据高低开度占在工作的VAV数量的比例,计算重置值。
送风温度控制策略:
当风机速度运行于最大/最小频率15min(可调)时,调整AHU送风温度;
计算每个VAV BOX的需求风量百分数(例如:额定风量为300CFM,需求量为150CFM,需求风量%为50%),选择最大值;

分区合理;分包方的界面划分;施工选材;
调试策略:风量、开度、压力相结合。
华能大厦:
集团办公楼;标准层面积11840m2;
标准层7台AHU;串联风机助力,外区水盘管;
保障风量,兼顾压力的控制策略。

初始运行&VAV 10%掉线转为定静压;
强制所有VAV至100%开度;
将AHU频率由50Hz逐渐降至14Hz,风阀开度由100%到70%,找出风量和频率的对应关系。

机房分布合理,内外区;集团办公楼,功能区划分明确;风平衡;总风量的调试;解决内外区冷热不均。
北京环球金融中心:
标准层4台AHU;周边散热器。


冷盘管的位置在AHU送风段。冷盘管前端的调节阀门,仅在冬季开启(冬季内区送冷风,但外区不送)。
根据送风温度设定值与送风温度差,反向调节。
大连期货:
冬季幕墙漏风、北向冷;未做风平衡。

本文来源于互联网,暖通南社整理编辑。