

- 1+1=2公式:

这个公式的逻辑可不简单,为什么1+1=2而不是等于3?是谁规定了运算法则?奇数加奇数为什么等于偶数?数字2为何是唯一为偶数的质数?

- 毕达哥拉斯定理:

毕达哥拉斯则得出背后的规律,这位数字原教旨主义者、高举“万物皆数”的暴君,爱上数学真不是故弄玄虚,毕达哥拉斯定理是人类历史上第一次让数字与几何完美融合。
牵一发而动全身,毕达哥拉斯定理在沟通数字与客观世界的同时,还导致了人类历史上第一次数学大危机——√2无理数的发现。

- 欧拉公式:

欧拉28岁右眼失明,年过60完全失明,多舛多才,凭数学、力学和航海建筑学等方面的广博造诣,被评为欧洲历史上最多产的数学家,十八世纪被称为欧拉世纪也毫不过分。
欧拉内心纯粹,正如这个欧拉公式,也是用最简明的方式,沟通了世界上几乎全部的数学元素。无理数e,它是自然对数的底,隐藏于飞船的速度和蜗牛的螺线。

- 万有引力公式:

在牛顿之前,人类认为这一切都掌控在神的手中;而牛顿之后,人类才知道,天和地以万有引力为法则,在牛顿发现的定律中运转。
宇宙和万物找到了统一规律,物理学达到第一次真正的统一。 所以有人说:道法自然,久藏玄冥;天降牛顿,万物生明。


- 黎曼猜想:

“数学界无冕之王”希尔伯特表示,如果在死后500年能重返人间,他最想问: 是否已经有人解决了黎曼猜想?过直线外一点,可作其几条平行线?
黎曼并没有意识到自己对这个世界的影响会如此深远,临走之前非常平静,没有挣扎也没有临终痉挛,仿佛饶有兴趣地观看灵魂与肉体的分离。

- 质能 方程:

1905年,史上最业余的公务员爱因斯坦,提出了若干颠覆人类三观的理论,想象力和胆量都比正常人高出一大截的爱因斯坦宣称,能量和质量是可以转换的,一个小小的水杯都能炸掉半个城市,不仅如此,能量和质量之间的关系还超级简单。

- 麦克斯韦方程:

麦克斯韦的公式融合了电与磁的四大定律,在此之后,电即是磁,磁即是电。
这个方程组是人类历史上空前绝后的物理学大一统,给物理学家打了一剂鸡血,以爱因斯坦为首的众多科学家,都紧跟麦克斯韦的脚步,寻找物理学大一统。

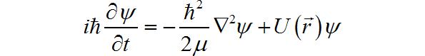
- 薛定谔方程:

关于薛定谔,恐怕他的那只猫比他本人更加出名,因为薛定谔的猫虽然成功在宏观层面阐释了量子叠加原理问题,但却像一个潘多拉魔盒,引出了平行宇宙等一系列争议,搞得很多科学家都怀疑人生。
最后连薛定谔都搞不懂薛定谔方程了,它相当于量子力学界的牛顿第二定律,只不过,公式的主人一个是史上最傲骄的处子,一个是荷尔蒙泛滥成灾的把妹大神。


- 香农定律:

进入信息时代,你们除了要感谢数学家傅立叶,还要好好感谢信息领域的牛顿——香农,他是当之无愧的信息论师祖。那些玩着“王者毒药”,看着《花木兰》,拿着卫星电话旅游,电话里与女友你侬我侬的朋友记住了,香农是我们的大恩人。

- 狄拉克方程:

狄拉克方程的出现,让整个物理学界长长舒了一口气,大家终于可以友好地做朋友。差点成功策反爱因斯坦投奔量子理论,他顺理成章地成了物理学界的和平使者,大神玻尔和爱因斯坦也找到理由一起握手言欢,这个方程汇集了现代物理学的两大基石:
量子力学和相对论——描述微观世界的量子力学和描述高速运动物体特性的狭义相对论。

- 三体问题:

三体问题像个暴躁的国王,它喜怒无常的出行路线永远让人捉摸不定。
当理论物理学家普遍开始绝望时,现实中的拉格朗日点已有所应用。
一切都是未知。摧毁三体的光粒文明,之所以能击中三体的一颗恒星,是因为他们解析出了三体运动,才能精确击中吗?这一切,并非仅仅是科幻,更要作出科学的理性思考。

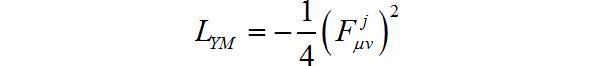
- 杨-米尔斯规范场论:

2012年希格斯粒子发现后,“规范场论”最后一个缺陷被弥补,它统一了目前自然界的四种基本力中的三种,爱因斯坦穷尽后半生追求的“大统一理论”——“规范场论”正在步步逼近。
但物理学的终极奥义会走向哪里呢? 人类最伟大的科学家,纷纷踏上了那个用生命交换真理的祭坛。
