第四批国家组织药品集中采购
2月3日在上海开标
此次采购产生拟中选企业118家
拟中选产品158个
拟中选产品平均降价52%
广大患者将享受到
更加优惠的药品价格
第四批国家药品集采
共纳入45种药品
第四批国家药品集采共纳入45种药品,涉及高血压、糖尿病、消化道疾病、精神类疾病、恶性肿瘤等多种治疗领域,群众受益面进一步拓宽。
本次集采后,一批常用药品、抗癌药品费用将明显降低。以胃溃疡治疗药物艾司奥美拉唑肠溶片(20mg/片)为例,集采后每片价格从9元下降到3元,整个疗程可节约费用约240元。抗癌药索拉非尼单片价格从95元下降到30元,按每天2片的服用量计算,每个月可为患者节约药费3900元。
国家医保局医药价格和招标采购司负责人表示,第四批集采依然将通过质量和疗效一致性评价作为仿制药入围的条件。同时,与第三批国家药品集采相比,第四批药品集采进一步微调优化采购规则,将最多可中选企业数量从原来的8家增加到10家,进一步提高供应保障能力。
此次集采共有152家企业参加,产生拟中选企业118家,企业拟中选比例提高至71%,包括5家外资企业的5个产品,涉及德国、法国、印度和日本跨国药企。在拟中选产品中,上市公司、外资企业、百强企业等企业的产品占62%。
在158个拟中选产品中,包括156个通过质量和疗效一致性评价的仿制药、2个原研药。2个拟中选的原研药为氨磺必利片、丙泊酚中/长链脂肪乳注射液,这将高质量满足患者的用药需求,也反映了国家组织药品集中采购常态化后,集采结果的稳定性与工作机制的规范性。
相关负责人进一步表示,按照常态化制度化开展药品集中带量采购工作的要求,今后,国家组织药品集中采购范围将持续扩大,保障临床用药需求,确保药品质量及供应。
中国社会科学院经济研究所研究员姚宇表示,我国药品集采已经在落实招采使用和配套制度等方面逐渐取得经验,也得到了医药服务单位的初步认可。
据了解,全国患者预计将于2021年5月用上此次集采降价后的药品。
注射剂等热门品种
降幅最高超90%
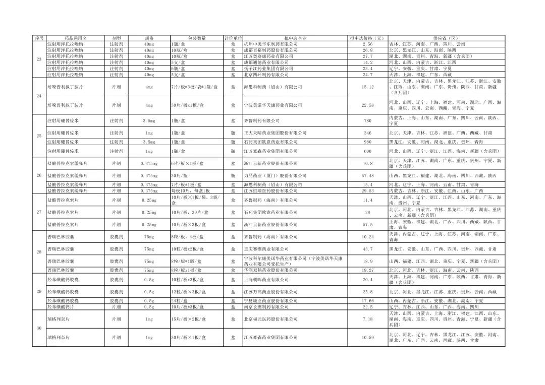
第四批国家集采共涉及45个品种,80个品规,其中注射剂、抗癌药、精神类用药等尤其受到关注。此次国家集采首次纳入注射剂大品种,共涉及8个品种,包括氨溴索注射剂、丙泊酚中长链脂肪乳、布洛芬注射液、多索茶碱注射剂、帕瑞昔布注射剂、泮托拉唑注射剂、硼替佐米注射剂和注射用比伐芦定。以“死亡之组”的氨溴索注射剂为例,三个品规最终有10家企业拟中选,相比最高有效申报价格,多家企业实际报价降幅超90%,其中云南龙海天然植物药业降幅达到93.3%。半托拉唑注射剂是此次集采中采购量最大的注射剂,40mg规格最高有效申报价格为28.5元,而拟中选结果中,6家中标企业的报价最低的是华东制药,仅2.56元,降幅达到91%以上。治疗肝癌的抗肿瘤药索拉菲尼有江西山香药业和重庆药友制药两家国内企业拟中选,最高有效申报价格是95元,企业报价分别为22.8元和26.6元,最高降幅达到72%。另外,治疗多发性骨髓瘤的抗癌药硼替佐米注射剂,3.5mg品规价格从3919.2920元,最低降至780元,降幅超过80%,1mg品规价格从1502.12元降至346元,降幅达到76.97%。精神分裂症治疗药物氨磺必利有三家企业拟中选,其中0.2g品规中选企业包括原研药企业赛诺菲公司中选,单片的最高有效申报价格是7.7245元,最终降至1.55元,降幅近80%。盐酸度洛西汀肠溶胶囊是一款抗抑郁药,原研属于美国礼来,此次20mg共有四家企业中标,最高有效申报价格是3.9480元,其中上海上药中西制药报价0.427元/粒,降幅近90%,青岛百洋制药报价每粒降至0.6元左右,降幅近85%。
附第四批集采拟中选结果:
(点击图片放大)





































原标题丨舒服了!药品大降价 平均降幅达52%
来源丨新华社 央视新闻