上一篇文章《带你完全了解电容!电气人很有必要学习的知识点》非常详细地讲解了电容的含义,如电容效应、电容元件、电容参数等,在此基础上,这篇文章将延续上一篇的内容,深入讲解电容的更多内容,如电容元件在交流电路和直流电路中的不同、与电容相关的容抗等。

图1-2-1
根据电容参数“C ”的定义,可知电容元件极板上电荷量 q 等于电容 C 乘以极板间电压 u ,即q =Cu 。这说明,在电压相同的情况下,电容 C 越大,电容元件所能容纳(存储)的电荷就越多,存储的电场能量也就越大。那么,电容元件在电路中的电压与电流又是怎样的关系呢?我们往下看。
电容参数的交直流电路
由q =Cu ,显然,若电容两端的电压发生改变,其极板上的电荷量也会发生变化(电容C为常数,固定不变)。电荷量的变化,由电荷的移动形成,例如电压变小,极板上的电荷量也要随之减少,换言之,极板上的部分电荷沿导线跑掉了。而电荷的沿导线跑动就是电流。即电容电压的变化,会使得电容上有电流流过,如下图1-2-2所示。

图1-2-2
举一反三,若电容两端的电压不变,极板上的电荷量也就保持不变,所以没有电荷的定向移动,即电容上没有电流流过,这就是电容的隔直作用。
1、电容参数的直流电路
如下图1-2-3所示的直流电路中,开关断开,假设电容极板上的初始电荷量为零,显然,电容两端的初始电压也为零。

图1-2-3
(1)闭合开关S1,电容开始充电,所谓充电,就是电荷逐渐向极板上堆集,电容两端的电压逐渐增大。此时的电容就像一个三天不吃饭的乞丐,开关一闭合瞬间,电容大口吃饭(充电),电流最大,随着电容吃得越饱,电荷的聚集速度越慢,即电流越小,其曲线如图1-2-4所示。

图1-2-4
这个电容的充电过程很快,直到电容的电压等于电源电压,充电完毕,此时电流也变为零,这就是电容元件的零状态响应,充电过程对应的电路就称为暂态过程。关于更多暂态电路的内容,在这里我就不展开讲啦,因为是真的很难!
(2)电容充电完毕后,开关S1打开,显然,电容极板上堆集的电荷无处可走,一直呆在极板上,这表示电容元件一直存储这电场能量。
(3)闭合开关S2,此时电容两极板上的异性电荷就像做扩散运动一样往电阻处跑,然后再电阻处相结合,释放能量!这就是电容元件的放电过程,电压与电流君呈衰减趋势,如图1-2-5所示。

图1-2-5
直流电路中,电容元件的影响主要体现在开关通断期间,电路达到稳态后,电容元件处就相当于开路了。
2、电容参数的交流电路
上文提到,电容两端的电压变化,会产生电流,而在(正弦)交流电路,电压是按正弦规律一直变化的,在这个交变定压的驱使下,电容的电流是一个怎样的变化情况呢?
结合电容的定义与电流的定义,电流是指通过任一截面的电荷变化率,即电荷变化的快慢,在电容元件里,这个电荷其实就是电容极板的电荷量,即图1-2-6所示的Δq /t ,即表示电容极板上的电荷变化的快慢.

图1-2-6
然后极板上的电荷又等于电压乘以电容,即Δq =Cu ,最后得出电容电流等于电容乘以电压变化率,如图1-2-6的公式所示。
经过复杂的计算,可以得出电容元件的电压与电流变化波形如图1-2-7所示。其计算过程我在此不再演示。

图1-2-7
从图1-2-7可以看到,电容电流与电压均按正弦规律变化,且两者周期(频率)相同,电流在想位上超前电压90° 。
既然电压与电流是同频的正弦量,那么它们就可以用有效值来表示,且两者之间可以进行四则运算。而有效值,就不用我再多解释了吧?
电容元件的容抗
在数值上,将电压有效值除以电流有效值,就可以得到一个与电容C 、角频率 ω (频率f )有关的数,这个数就是传说中的容抗 1/ωC ,如图1-2-8所示。这里 ω 是电源的角频率,可能大部分人不知道这个 ω 是什么,其实它与频率差一个2π的关系,即 ω =2πf ,表示正弦量在每秒内变化了多少个弧度。

图1-2-8
容抗与电源的频率成反比,其关系曲线如图1-2-8所示。这表明,电源的频率越高,电容元件的容抗就越小,若电源电压的有效值不变,随着频率的增大,容抗变小,此时流过电容元件的电流也就越大,这就是所谓的通高频阻低频。
回顾欧姆定律 R=U/I ,电压除以电流等于电阻,电压的单位是伏特(V),电流的单位是安培(A),这两个单位相除(V/A),得到的比值的单位是欧姆(Ω)。同样的,电容元件中,电压有效值除以电流有效值,同样是伏特除以安培,显然得到的容抗的单位也是欧姆。所以容抗的作用其实类似于电阻,即对电流的阻碍作用。

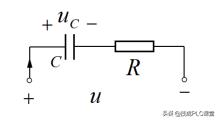
图1-2-9
既然容抗和电阻都是对电流的阻碍作用,那么把它们串联起来,如图1-2-9所示,电容元件和电阻元件就会对电源电压有个分压的作用,谁的欧姆值越大,得到的电压就也多。
而容抗与电源的频率有关,在这里,随着频率的增大,电容两端得到的电压就越小。对于这种现象,我们可以这样理解:电源频率变化越快,电容的充放电速度就越快,当快到一定程度的时候,电容都来不及充电,就又要放电了,这就会造成电容所存储的电荷很少,其两端的电压很小。
另外,关于多个电容元件的串并联知识,在此我也不再讲解,大家感兴趣的,可以运用在这两篇中学到的知识自行分哟~
虽然文章中没有给出很多的计算、推导过程,但我的目的本来也不是让大家学会这些计算,而是让大家真正的理解电容、容抗、同交隔直等的含义。如果别人问你:电容是什么?容抗是什么?希望你能提交一份完美的答案。