第一作者:Zijian Cai
通讯作者:Gerbrand Ceder、Huiwen Ji
通讯单位:美国加州大学伯克利分校、劳伦斯伯克利国家实验室
【研究背景】
近年来,锂离子电池作为便携式电子产品、新能源汽车中重要的储能设备,在推动现代社会发展方面起着关键作用。然而,传统的锂离子电池正极包含两种主要成分:钴和镍,如LiCoO2和Li(Ni,Co,Mn)O2(NMC)。钴和镍的资源紧缺且分布不均,大大增加了锂离子电池的成本。相反,锰酸锂(LiMn2O4)尖晶石是一种很有前景的锂离子正极材料,因为它具有良好的结构和成本效益,能够实现快速的锂扩散动力学。然而,当尖晶石被锂化时发生的两相反应使其无法达到其理论容量的一半以上。因此,需要通过结构设计抑制两相反应,实现尖晶石型锰酸锂的高能量和功率密度。
【工作简介】
近日, 美国加州大学伯克利分校Gerbrand Ceder和劳伦斯伯克利国家实验室Huiwen Ji等人表明,如果在锰酸锂中引入可控的阳离子无序度,电化学性能将得到优化。在尖晶石型正极材料中,通过控制正负离子比能够连续调节尖晶石结构从有序到部分有序再到岩盐相。不同程度的阳离子无序化情况下,其充放电曲线、倍率性能和电荷补偿机制也有所不同。结果表明,只要抑制8a到16c的协同相变,尖晶石有序化有利于获得高倍率性能,而更多的岩盐类无序化有利于O的氧化还原,从而可以增加容量。相关研究成果以“Realizing continuous cation order-to-disorder tuning in a class of high-energy spinel-type Li-ion cathodes”为题发表在国际顶尖期刊Matter上。
【内容详情】
1. 设计、合成和结构表征

图 1、(A)完全有序的LiMn2O4正极,(B)顶视图:完全有序结构(左),Mn被Li部分取代结构(中间),Li过量的部分无序结构。
采用三种策略来抑制两相区:(1)取代16d位点上的一些Mn以促进Mn/Li无序和过量锂的掺入;(2)引入额外的Li(x>0)以占据一些空的16c位点并创建一些共面的四面体和八面体,提供快速的锂离子传输路径;(3)通过球磨在16c/16d位点之间产生Mn无序以减少尖晶石有序度。

图 2、Li1.47Mn1.6O3.7F0.3,Li1.68Mn1.6O3.7F0.3,和Li2Mn1.6O3.7F0.3的SXRD和中子衍射数据的精修结果。
通过机械化学球磨法合成三个部分无序/有序尖晶石Li1.47Mn1.6O3.7F0.3、Li1.68Mn1.6O3.7F0.3和Li2Mn1.6O3.7F0.3。氟取代锂用于电荷补偿,通过降低锰的化合价来增加容量,并提高循环性能。图2A中的同步加速器X射线衍射(SXRD)表明,这三种化合物对应不同阳离子无序度的单相尖晶石结构。随着锂过量x从0.07增加到0.6,(111)衍射峰减弱。表1总结了8a、16c和16d位点中的最终阳离子占有率。中子衍射和同步加速器XRD表明,随着锂的增加,材料从尖晶石有序结构演变为混合尖晶石-岩盐型无序结构,在八面体位点上有更多的阳离子。这是一种单相结构,而不是尖晶石和岩盐结构的复合物。

表1、基于同步加速器和中子粉末衍射精修的结构信息
图3A和3B显示,Li1.47Mn1.6O3.7F0.3和Li2Mn1.6O3.7F0.3具有100-200 nm的初级粒径。图3C和3D显示,Mn、O和F均均匀分布在Li1.47Mn1.6O3.7F0.3和Li2Mn1.6O3.7F0.3中。图3E和3F显示,Li1.47Mn1.6O3.7F0.3和Li2Mn1.6O3.7F0.3都具有间距为4.8 Å的(111)面,对应单相尖晶石结构。

图 3、(A)Li1.47Mn1.6O3.7F0.3和(B)Li2Mn1.6O3.7F0.3的SEM (C) Li1.47Mn1.6O3.7F0.3和(D) Li2Mn1.6O3.7F0.3中元素Mn、O和F的STEM图像和EDS映射。(E)Li1.47Mn1.6O3.7F0.3和(F)Li2Mn1.6O3.7F0.3的HRTEM图像。
图4中的19F和7Li固态核磁共振(ssNMR)显示,Li1.47Mn1.6O3.7F0.3和Li2Mn1.6O3.7F0.3原始粉末都具有宽的顺磁信号和尖锐的抗磁信号。宽信号对应于大部分正极材料中的19 F核。它们与附近的顺磁性Mn离子相互作用,导致19F共振频率从抗磁性LiF的共振频率偏移,光谱变宽。顺磁信号包括几个宽且重叠的19F信号,这些19F信号对应部分无序/有序尖晶石晶格中的各种19F局部环境。以-204 ppm为中心的尖锐信号对应少量的抗磁性LiF杂质相。

图 4、部分无序尖晶石材料的 (A)19F ssNMR光谱和(B) 7Li自旋回波(线)以及pj-MATPASS(阴影)ssNMR光谱。
对定量7Li自旋回波光谱进行积分以进一步表征Li局部环境。通过对每个光谱中接近0 ppm的尖锐信号进行积分,发现Li1.47Mn1.6O3.7F0.3和Li2Mn1.6O3.7F0.3中存在于抗磁环境中Li的比例分别为2%和1%。这些无序尖晶石样品中的抗磁性7Li不超过总锂含量的3%;因此,F固溶在在Li1.47Mn1.6O3.7F0.3和Li2Mn1.6O3.7F0.3尖晶石中。
2. 电压曲线
三个部分无序/有序的尖晶石Li1.4+xMn1.6O3.7F0.3(x=0.07、0.28和0.6)表现出不同的电压曲线。图5A显示,随着x从0.07增加到0.6,4 V和3 V的平台逐渐消失,曲线更平滑且倾斜。图5B中的dQ/dV曲线显示,在Li1.4+xMn1.6O3.7F0.3中,电压曲线不再显示出真正的平台区,而在3V附近的伪平台区明显比有序尖晶石的更窄,说明两相反应受到了抑制。随着引入更多的阳离子无序形成Li2Mn1.6O3.7F0.3,伪平台消失。

图 5、(A)Li1.47Mn1.6O3.7F0.3、Li1.68Mn1.6O3.7F0.3和 Li2Mn1.6O3.7F0.3第一圈和第二圈的电压曲线。(B)50 mA g-1下,1.5和4.8 V之间循环时的dQ/dV曲线。
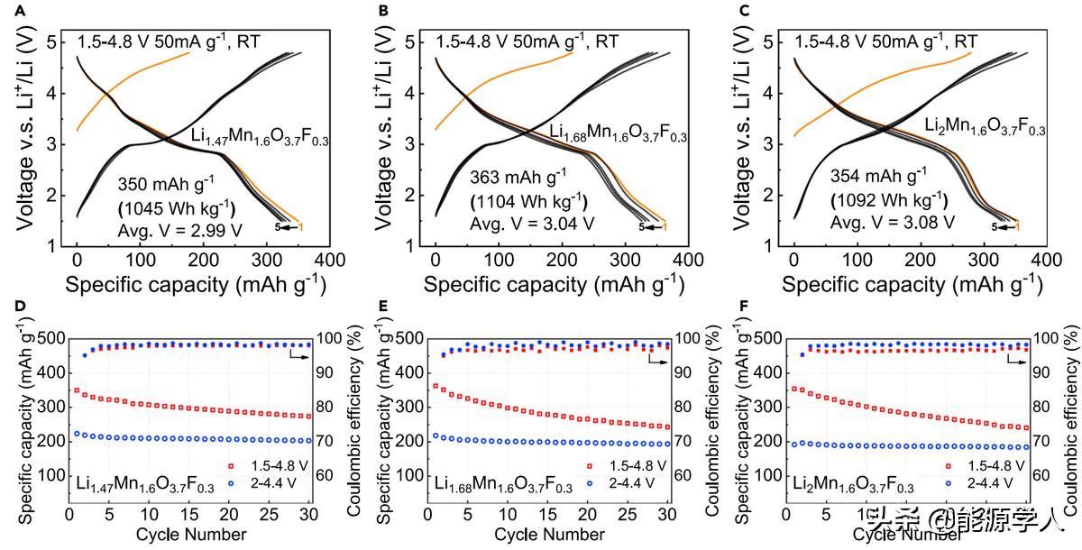
图6A-6C显示,当在1.5到4.8 V循环时,三种正极材料都表现出相对较高的容量和能量密度。但是Li2Mn1.6O3.7F0.3在3 V以上只能提供226 mAh g-1(813 Wh kg-1)的容量,对于Li1.68Mn1.6O3.7F0.3则降低至201 mAh g-1(726 Wh kg-1),对于Li1.47Mn1.6O3.7F0.3为163 mAh g-1(598 Wh kg-1)。
图6D-6F显示,在1.5-4.8 V,Li1.47Mn1.6O3.7F0.3容量保持率比Li1.68Mn1.6O3.7F0.3和Li2Mn1.6O3.7F0.3更高,表明不稳定的氧氧化还原可能是容量下降的原因之一。在2.0–4.4 V,Li1.47Mn1.6O3.7F0.3、Li1.68Mn1.6O3.7F0.3和Li2Mn1.6O3.7F0.3的容量保持率30次循环后分别提高到90.7%、88.7%和93.8%。

图 6、(A)Li1.47Mn1.6O3.7F0.3、(B)Li1.68Mn1.6O3.7F0.3和(C)Li2Mn1.6O3.7F0.3前五个循环的充放电曲线。(D)Li1.47Mn1.6O3.7F0.3、(E)Li1.68Mn1.6O3.7F0.3和(F)Li2Mn1.6O3.7F0.3在1.5-4.8V和2-4.4V下30次循环后的容量保持率和库仑效率。
3. 倍率性能
图7A显示,Li过量的四种Li-Mn氟氧化物显示出比LiMn2O4更好的倍率性能,在低倍率下观察到2.8 V的电压平台,但该平台在更高的倍率下收缩。虽然Li1.68Mn1.6O3.7F0.3在100 mA g-1下提供最高容量,但Li1.47Mn1.6O3.7F0.3在2000 mA g-1下提供最高容量,显示出更好的倍率性能。Li1.47Mn1.6O3.7F0.3在7500 mA g-1时保持158 mAh g-1的容量。此外,随着四种Li-Mn氟氧化物中Li过量从0.07增加到1.0,倍率性能降低。

图 7、(A)LiMn2O4、Li1.47Mn1.6O3.7F0.3、Li1.68Mn1.6O3.7F0.3、Li2Mn1.6O3.7F0.3和Li2。4Mn1.6O3.7F0.3在不同倍率下的恒流充放电曲线。(B)比较比能量和功率的Ragone图。
4. 氧化还原机制
为了探究氧化还原机理,进行了原位硬X射线吸收光谱(XAS)和非原位软X射线共振非弹性散射(mRIXS)测量。图8A和8B显示了Li1.47Mn1.6O3.7F0.3和Li2Mn1.6O3.7F0.3在循环期间特定充电状态下的Mn K边XANES光谱。在原始样品中,Mn介于3+和4+之间,Li1.47Mn1.6O3.7F0.3中的Mn价态略高于Li2Mn1.6O3.7F0.3。在第一次充电期间,两个样品中的Mn都被氧化为Mn4+,而在放电时,Mn K边能量在Mn3O4和Mn2O3之间。在第二次充电期间,Mn K边再次可逆地移动到接近4+的位置,表明存在可逆的Mn氧化还原过程。
在Mn L边使用非原位mRIXS来量化循环时Mn价态的演变。图8C和8E显示,Li1.47Mn1.6O3.7F0.3原始状态下Mn的价态是3.75+,对于Li2Mn1.6O3.7F0.3是3.56+。充电至4.5 V时,两种材料中的Mn价态增加到3.84+,进一步充电至4.8 V时略有下降。放电开始时,Mn价态保持恒定直到3.6 V,表明该区域O还原占主导地位。一旦超过3.6 V,Mn价态几乎线性下降,因此该区域的容量主要由Mn还原贡献。放电结束时,Li1.47Mn1.6O3.7F0.3的Mn价态为2.89+,Li2Mn1.6O3.7F0.3的为3.05+。根据放电过程中Mn的价态变化,对于Li1.47Mn1.6O3.7F0.3,Mn还原过程贡献1.48个e给2.13个Li(对于Li2Mn1.6O3.7F0.3为1.16个e给2.20个Li)。TM提供的容量和总容量之间的差异表明O参与了氧化还原。

图 8、(A)Li1.47Mn1.6O3.7F0.3和(B)Li2Mn1.6O3.7F0.3在第一次循环和第二次充电期间的原位Mn K边XANES光谱。在第一次和第二次循环期间,(C)Li1.47Mn1.6O3.7F0.3和(D)Li2Mn1.6O3.7F0.3在七个不同SOC下和放电的非原位Mn L3边mRIXS-iPFY光谱。将(E) Li1.47Mn1.6O3.7F0.3和(F) Li2Mn1.6O3.7F0.3的 mRIXS-iPFY数据和首圈充放电曲线叠加,对Mn价态进行量化。
为了探究阴离子氧化还原的贡献,对O K边进行了mRIXS测量。523.7 eV发射能和531.0 eV激发能是大量O氧化的特征。图9A显示,在两种化合物中,O氧化在4.5 V时已经存在。放电过程中,该特征在1.5 V时消失。图9B显示,具有不同阳离子无序度的两种化合物在同一SOC下表现出不同的O氧化强度。在4.5 V时,Li2Mn1.6O3.7F0.3显示出比 Li1.47Mn1.6O3.7F0.3更强烈的O氧化峰,表明更多的O氧化。Li2Mn1.6O3.7F0.3在进一步充电至4.8 V后放电至3.6 V时,该特征也明显更强。第二次充电至4.8 V时该信号重新出现并显示出与1C 4.8 V相似的轮廓,表明O氧化还原过程是可逆的。

图 9、Li1.47Mn1.6O3.7F0.3和Li2Mn1.6O3.7F0.3 (A)在第一和第二个循环期间不同荷电状态下的非原位O K边mRIXS。(B) O mRIXS的剖面图。

图 10、(A)Li1.47Mn1.6O3.7F0.3和(B)Li2Mn1.6O3.7F0.3的原始和循环后的同步加速器XRD谱。
图10中的非原位同步加速器XRD进一步证实了Li1.47Mn1.6O3.7F0.3和 Li2Mn1.6O3.7F0.3都保持立方对称性并且在放电至2.9和2.7 V时没有出现两相。倍率性能也受阳离子有序度的影响。图11A显示,具有尖晶石型阳离子有序的结构总是具有更高的可用锂容量,并随着阳离子无序度增加单调减少,最终与完全阳离子无序的层状结构相同。

图 11、(A)尖晶石型(黑点)或层状(红色方块)结构中可用的Li和O分数随阳离子混排(或无序)的变化。(B)在Li2.4TM1.6O4中具有至少一个线性Li-O-Li、至少两个线性Li-O-Li或三个线性Li-O-Li构型的O原子的比例。
具有不同阳离子有序度的尖晶石正极中可逆O氧化还原量是不同的。图11B显示,在完全有序状态下,近50%的O离子已经具有至少一种Li-O-Li构型。在100%阳离子混合的情况下,阳离子亚晶格上的更多无序迫使Mn离子转移到16c位点,直到16c和16d被同等占据。在这种完全随机的状态下,具有至少一种Li-O-Li构型的O离子比例增加到>70%。这些结果表明,阳离子无序增加了O离子周围锂含量,并使它们更易于氧化。
【结论】
本文通过机械化学法成功合成了一系列具有不同阳离子有序度(x=0.07、0.28、0.6和1.0)的锰基Li1.4+xMn1.6O3.7F0.3氟氧化物。在三个部分无序/有序尖晶石正极中实现了>1000 Wh kg-1的能量密度(比容量>350 mAh g-1),其中O的可逆氧化还原贡献显著。随着x的增加,晶体结构从尖晶石型转变为更无序的岩盐型。阳离子无序抑制了3 V左右出现的两相区,并将其转化为固溶体。通过对局部环境的影响,阳离子有序度也对倍率性能、电压曲线和氧化还原机制产生深远的影响。Li1.47Mn1.6O3.7F0.3表现出最高的倍率性能,在7.5 A g-1时提供>158 mAh g-1的容量,而Li2Mn1.6O3.7F0.3能够最大限度利用O氧化还原提供容量。
Zijian Cai, Huiwen Ji , Yang Ha, Jue Liu, Deok-Hwang Kwon, Yaqian Zhang, Alexander Urban, Emily E. Foley, Raynald Giovine, Hyunchul Kim, Zhengyan Lun, Tzu-Yang Huang, Guobo Zeng, Yu Chen, Jingyang Wang, Bryan D. McCloskey, Mahalingam Balasubramanian, Raphae¨ le J. Cle´ ment, Wanli Yang, and Gerbrand Ceder. Realizing continuous cation order-to-disorder tuning in a class of high-energy spinel-type Li-ion cathodes. Matter. 2021, DOI:10.1016/j.matt.2021.10.013