多孔有机笼(三):多孔有机笼的合成策略设计
作者:易科研王老师

近日,阿卜杜拉国王科技大学Cafer T.Yavuz教授和西北大学 J.Fraser Stoddart教授合作在国际顶级杂志Chemical Reviews发表题为“Porous Organic Cages”的综述文章。团队进行了一次批判性的回顾,详细总结了最近的进展和突破(尤其是在过去的五年里),在仔细研究其策略设计、精确合成(包括不可逆键形成化学和动态共价化学)、高级表征和各种应用。本文主要介绍文章第三部分— 多孔有机笼的合成 。POCs的合成可以通过以下两种不同的键形成途径进行:(i)不可逆连接化学和(ii)动态共价化学(DCC)。在本部分,描述了许多有代表性的尝试,以评估这两种合成途径的利弊。
前文回顾
01 诺贝尔奖获得者Stoddart最新Chemical Reviews:多孔有机笼(一)
02 诺贝尔奖获得者Stoddart最新Chemical Reviews:多孔有机笼(二)
3.1 不可逆成键化学
非平衡、不可逆的化学转化可以为POCs的结构提供优异的化学和热稳定性,同时具有有限的功能。由于通过强化学偶联反应形成机械互锁结构是相当罕见的,通过不可逆连接化学发现新型有机分子笼是非常有价值的。然而,不可避免的低产量和大规模工业应用之间仍存在巨大差距。
3.1.1 酰胺键的形成
酰胺键的形成是制备POCs最有前途的合成路线之一,因为其已建立的合成工具箱、加合物的高刚性以及共振锁定、有限的键旋转。通常酰胺连接笼的合成涉及在高稀释度下预制的半球形有机连接体前体的环化。1984年初,报道了一种在氯仿中具有优异溶解度的六内酰胺笼1a(图1),使用酰胺化路线─然而产率(13%)很低。该笼中存在的甲氧基通过在二氯甲烷中使用三溴化硼进行改性,得到六羟基笼1b。
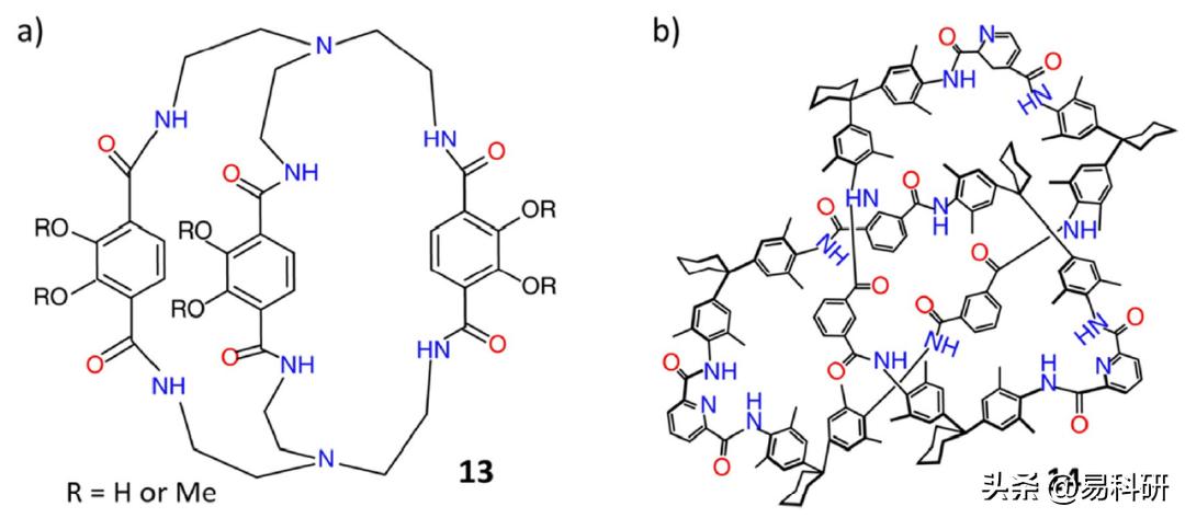
后来使用相同的方法,合成了双帽笼化合物13(图5),发现其尺寸、形状和产率与六内酰胺笼1a相似。此外,为了克服非环状有机连接体的灵活性,在2,6-吡啶二羧酸二氯化物和1,1-双(4-氨基-3,5-二甲基苯基)环己烷反应(图5)后,获得了分子三叶结14。

图 5.(a)双环笼的结构式13;(b)三叶结的结构式14
研究表明,引入过渡金属阳离子作为模板和前体的化学调节可以克服酰胺连接笼的低产量。类似地,一些刚性和适当尺寸的低聚物的一步反应导致形成形状持久的芳族低聚酰胺大环和环状芳族五聚物。酰胺键的反应主要受动力学控制,这一特征使其难以在具有广泛分子框架的高产酰胺连接笼中构建。作为一种替代方案,最近开发了Pinnick氧化方法。通过可逆DCC预制并随后氧化以提供坚固的酰胺笼19的高产水杨基双亚胺笼18是锁定在大分子几何结构中的一个很好的例子(图6b)。

图 6.(a)三环聚酰胺笼17的合成(b)酰胺笼19的合成的最后一步
3.1.2 碳-碳键的形成
当谈到不可逆强键时,C–C键由于其固有的共价性质和取代基的多功能性而处于领先地位,同时保持π-电子共轭。此外具有不变共轭的完整C–C键合框架可以赋予多孔有机分子笼光化学活性*能官**团。然而挑战在于,如果动力学参数不受控制,C–C键有利于线性聚合物的形成,而不是笼状物的形成。因此C–C键形成路线通常以低收益率提供笼。

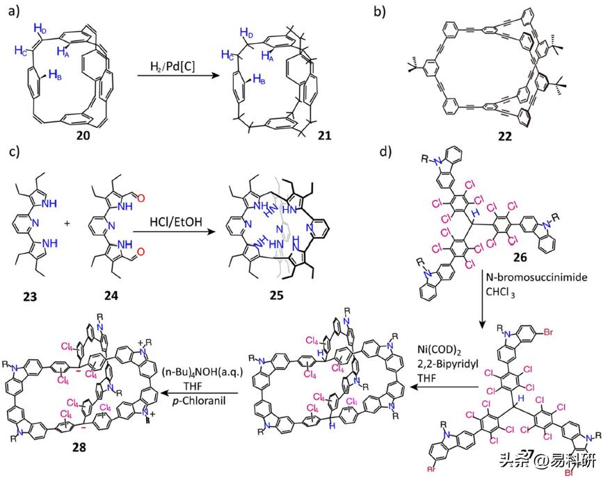
图 7.(a)双环烷笼20和21的合成;(b)D3h对称三棱柱笼的合成22;(c)类聚吡咯隐窝的合成25;(d)三维共轭笼的合成28
在随后的几年里,优化的催化剂被证明可以促进C–C连接笼的形成。真正的突破来自(图7b)D3h对称三棱柱笼22的合成,总产率为32%。从相应的二吡咯23和二醛24中以48%的产率获得Brønsted酸催化的类吡咯隐窝25(图7c),类似于杯芳烃或柱烯的合成。此外在Ni(COD)2/2,2′-联吡啶的存在下,通过三溴化物27的分子间Yamamoto均偶联,然后去质子化和氧化,以10%的总产率制备3D π-共轭分子笼28(图7d)。三溴化物27通过关键中间体26的区域选择性溴化以77%的产率制备。
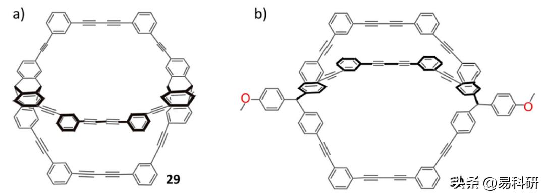
构件的刚度和角度定位对C–C连接笼的屈服有相当大的影响。这些标准的一个很好的例子是通过铜介导的Eglinton–Glaser偶联构建基于三联烯的分子笼。具有两个次甲基单元的末端乙炔连接体比没有次甲基的连接体更刚性。然而由不含两个次甲基单元的末端乙炔连接体合成的基于三联烯的分子笼29(图8)的产率(58%)远高于由含两个二甲基单元的终端乙炔连接体所合成的分子笼30的产率(20%)。由没有次甲基单元的末端乙炔有机连接体制备的基于三联烯的分子笼29具有两个动力学控制的多晶型。尽管付出了相当大的努力,但以高产率一步合成C–C键连接的笼尚未实现。

图 8. 基于三联烯的笼29和30的结构式
3.1.3 亲核取代
稳定的、不可逆的共价键也可以通过亲核取代形成,因此用于构建新的POC。一个例子是以C–O键为特征的小型有机分子笼。通过应用铯阳离子作为模板,间苯三酚与贫电子吡啶的缩合导致(图9a)以95%的产率形成笼状双环氧杂环芳烃31。在另一个例子中,乙二醇双甲苯磺酸酯和环三酚连接体的偶联导致稳定的中间体,这些中间体与溴氯甲烷环化,形成两个隐显笼,32和33,以及亚甲基(图9b)和二甲基(图9c)连接的混合物。

图 9.(a)双环芳烃的结构式31(b)隐phane笼的结构式32(c) 隐phane笼的结构式33(d)半刚性环乙烷ExBox4+的结构式(e)四方棱柱形卟啉笼TPPCage8+的合成
我们中的一个人引入了C–N+键作为常规的构建单元键,从而设计和开发了坚固的有机分子笼。一系列具有不同几何形状的分子笼,如蓝盒、四阳离子分子受体、X形八阳离子环乙烷(XCage8+)、半刚性环乙烷(ExBox4+)、六阳离子三角形共价有机笼(AzaEx2Cage6+)和四方棱柱卟啉笼(TPPAge8+),都已被制备和表征。为了简洁起见,只介绍两个经典示例(图9d),即ExBox4+和TPPCage8+。
3.2 动态共价化学
动态共价化学(DCC)需要可逆化学键的固有纠错机制来形成热力学稳定的POCs。与不可逆连接化学相反,DCC可以在一锅反应期间从相对简单的有机连接体前体以更高的产率构建分子笼,同时避免复杂的纯化程序。在此,我们描述了目前使用DCC的最有效方法,如亚胺缩合(希夫碱化学)、硼酸酯缩合和烯烃/炔烃复分解。
3.2.1 亚胺缩合
希夫碱化学,即通过胺和醛的可逆缩合形成亚胺键,是研究不同尺寸、几何形状和功能的POC的模块化结构的最常用途径之一。目前大多数研究都集中在优化精密合成,以获得大的、高度多孔的和稳定的分子笼。一般来说,扩展有机连接体的使用导致构建大形状的持久性有机分子笼。该反应的一个完美例子是4-叔丁基-2,6-二甲酰基苯酚和1,3,5-三氨基环己烷的缩合,导致形成外径为3.0nm的大[12+8]笼(图10a)。此外几何诱导的熵可以促进大型对称笼的形成。四甲酰基空穴与刚性线性联苯胺的[6+12]缩合导致形成聚胺八面体笼35,其具有4.68nm的大溶剂动力学直径(图10b)。

图 10.(a)分子笼的合成34(b)合成分子笼35(c)合成分子笼36(d)分子笼的合成37(e)分子笼的综合38(f)分子笼综合39
有机连接体的延伸链中的高柔性和旋转自由度可以破坏大笼的形成。在一份报告中,延伸的1,3,5-三(4-甲酰基苯基)苯与1,5-戊二胺的反应提供了具有1D通道的小[2+3]螺旋桨形笼37,而不是较大的[4+6]亚胺笼,这一结果(图10d)可归因于1,5-戊二胺连接体的高柔性。在另一份报告中,通过三(4-甲酰基苯基)胺和手性(R,R)-1,2-环己烷二胺的[8+12]缩合,构建了外径为2.9nm的大手性笼12。然而,由于笼顶点处的Carene–Carene–Cimine–Nimine扭转角和笼的三醛表面上的Carene-Carene–Namine–Carene扭转角的不受限制的旋转,该笼在去除客体溶剂后倒塌。因此,一个关键问题是有机连接体的刚性在多大程度上影响形状持久的亚胺连接笼的形成。
在这种情况下,研究了三联烯三胺与两种不同的双(水杨醛)连接体的缩合(图10e),其中一种双(水杨醛)连接物在两个水杨醛单元之间具有乙烯桥,比另一种具有更高的柔韧性。以10%的较低产率获得由柔性双(水杨醛)连接体形成的笼状产物38a,而以69%的高得多的产率分离基于刚性双(水杨醛)连接物的笼状产品38b。

图 11.(a)分子笼的构建40(b)构建分子笼41(c) 构建分子笼42
有机连接体的几何形状的微小变化也影响有机分子笼的形成。影响笼形成的其他因素包括反应溶剂、温度范围、浓度和催化剂。亚胺键的动态性质也使得能够在有机分子笼之间进行自我分类。例如,两种异结构胺的溶液和两种结构相似的醛的溶液的缩合(图12a)导致了两种笼的排他性合成,即43a和43b,每种笼由一个柔性单元和一个刚性单元组成。此外,通过利用DCC过程中的自分选行为,通过组成不同的芳香醛与一种柔性胺的缩合,产生了八种不同的有机分子笼。这种不同分子笼的选择性形成高度依赖于分子柔性、电子因素和有机连接体中杂原子的存在。此外,笼在稀酸中进行催化动态组分交换。

图 12.(a)分子笼的合成43(b)分子笼463442的合成(c)分子笼的合成50(d)分子笼52的合成
后修饰是另一种有效的工具,用于提高有机分子笼的产率和溶解度。例如在6倍Williamson醚程序中,通过引入甲基、丙基、烯丙基、苄基和4-硝基苄基,对[4+6]笼49中的羟基进行修饰,同时保持其相应笼50的高产率(63–81%)。然而由取代酚直接缩合亚胺会导致低产率和不希望的产物,此外具有轻微结构变化的链状亚胺笼被自组装成受控的层次结构,导致形成许多超结构。
不幸的是,大多数含有亚胺键的有机分子笼对水分以及酸性和碱性条件都很敏感。然而修饰后的方法显示出获得高度稳定的亚胺连接笼的巨大前景。在一份报告中,通过胺笼5和多聚甲醛反应,构建了在pH值1.0–12.0范围内表现出高稳定性(64)的“*绑捆**”笼6(图3)。笼5也是通过使用硼氢化钠还原手性亚胺笼8来制备的。还观察到有机分子笼的耐酸性通过外消旋的固态有效堆积而增强,而不是手性的,其中固体中的分子间介孔允许更快的降解。
3.2.2 硼酸酯缩合
通过硼酸与邻苯二酚的简单可逆缩合形成硼酸酯引起了人们对其适应POC设计和开发的极大兴趣。第一个例子,硼笼53,在2007年被报道,这是环三儿茶素和添加了Et4NAcO的硼酸的六羟基*唑三**[3]芳烃缩合的结果(图13a)。通过简单地改变溶剂的pKa,由于硼酸酯键的动态性质,可以调节分离笼的分解和重建。

图 13.(a)第一硼笼的合成53(b)不溶性硼聚合物54a、大环54b和大环54c的合成(c)通过改变溶剂形成笼状物同型55和异型55
与基于亚胺的POCs的情况一样,合成条件特别是客体分子的选择,强烈影响硼酸酯笼的构象。含有两个固定的1,2-二醇单元的外消旋四醇和具有平面结构的1,4-苯二(硼酸)的缩合反应提供(图13b)三种不同类型的产物。在另一项研究中也显示(图13c),使用相同的起始试剂,仅改变客体溶剂可以直接形成两种类型的硼酸酯笼。硼酸酯笼的结构也受到有机连接体的尺寸或几何形状的高度影响。发现三苯乙烯四醇是一种理想的连接体(图14a),其芳香平面和外芳香环上的两个乙基取代基之间的夹角为120°,因为它与1,3,5-苯三(硼酸)反应形成定量的大立方体八面体笼56,外径为3.99 nm,最大内径为3.03 nm。
如果相同的烷基链被三联烯连接体上的Br原子取代,则溴化的六醇三联烯与苯1,4-二硼酸的缩合导致四面体[4+6]硼酸酯笼的形成。二硼酸的全氟化加速了硼酸酯笼的形成。由两个邻苯二酚单元和1,4-亚苯基二硼酸之间的89°角组成的邻苯二酚*能官**化三苯并三喹啉的[8+12]缩合导致(图14b)产生高度对称的立方笼57。通过改变“咬合”角为60°、120°和180°的二硼酸的选择,可以制备一系列不同形状的硼酯笼,这些硼酯笼在与多种有机连接体缩合的过程中自行选择特定的排列。同样,具有60°、84°和117°的C–B键角的二硼酸的自缩合可以提供一系列多面体的3-聚体、6-聚体和12-聚体硼星笼,具有特殊的形状和由两个、四个和八个路易斯酸性硼星包围的空腔。

图 14.(a)立方八面体笼的合成56(b)对称立方笼的合成57(c)巨大笼子的形成59
3.2.3 烯烃/炔烃复分解
在动态共价化学(DCC)中,烯烃和炔烃的复分解是构建有机分子笼的一种新兴策略。复分解首先是指双键或三键的断裂,然后由于过渡金属的催化活性而重组形成新的烯烃或炔烃。2003年,以含吡啶的硫醇*能官**化金簇为模板,通过烯烃复分解,从六种Zn(II)卟啉中自组装了卟啉基分子笼。随后在含有末端烯烃的卟啉衍生物的复分解中,通过使用1,4-二氮杂双环[2.2.2]辛烷作为模板,以40%的产率获得了四连接的共面卟啉笼。与烯烃复分解相比,炔烃复分解构建的笼更稳定。2011年,在不使用模板的情况下,通过炔烃复分解获得了矩形棱柱卟啉笼。此后,通过炔烃复分解制备了永久互锁的有机笼,并且通过使用炔烃复水解的含有三键的前体合成了四面体有机笼,产率为99%。
3.2.4 动态共价化学的其他例子
原则上,还有其他类型的可逆键形成可以用于构建有机分子笼。例如,Labile二硫键(−S–S−)可用于构建形状持久的笼。在早期的例子中,在O2或I2存在下,通过形成可逆的二硫键,将含有三硫醇的碗状化合物自组装到有机笼中,产率高达90%。疏水性因素和不存在金属模板通过缓慢氧化过程由二硫醇基有机连接体提供三叶结,仅通过在添加NaNO3时增加有机连接体的浓度,产率为94%。对于更复杂的结构,可以以同步的方式使用两种不同类型的可逆键形成来构建POC。优选的组合是动态亚胺和硼酸酯缩合,因为路易斯酸性硼酸催化亚胺缩合。值得注意的是,在某些情况下,硼酸也可以催化亚胺键水解,为反应增加另一水平的可逆性。

图 15.(a)分子笼的合成60(b)大环的合成61(c)通过球磨法合成分子笼62(d)通过亚胺缩合和烯烃复分解的组合组装分子笼63
硼酸酯*能官**度对与N-配体如吡啶的配位具有高亲和力。因此,当涉及到构建新型有机分子笼时,它与B–N键的结合是有希望的。一个例子是由于2,4,6-三(4-吡啶基)-1,3,5-三嗪、1,4-苯二硼酸和4,5-二氯邻苯二酚的反应而形成笼(161)。此外,还探索了亚胺缩合和烯烃复分解的组合(162)。通过大型咔唑衍生物和三醛化合物的一锅反应以51%的产率获得笼63(图15d)。
DOI:10.1021/acs.chemrev.2c00667
做同步辐射 找易科研
- 同步辐射X射线吸收谱(XAFS)
做球差电镜 找易科研
- 冷冻透射电镜(FEI Titan Krios)
- 双球差校正透射电镜(FEI Themis Z)
- 现场测试 | 原位环境球差校正透射电镜(FEI Titan ETEM G2)
- 现场测试 | 原位球差校正透射电镜(JEOL JEM-ARM200F)
做计算 找易科研
- 第一性原理DFT计算(VASP)
- 分子动力学(LAMMPS)
- 分子动力学模拟(Gromacs)
易科研 | 让你科研不再难
