
2021年12月29日-31日 ,由中国科学院科学传播局主办,中国科学院物理研究所、抖音承办的 “复兴路上的科学力量——中国科学院2022跨年科学演讲” 在北京举行。
12月31日晚19:30 ,中科院物理所曹则贤研究员现场开讲《从一元二次方程到规范场论》,央视创造传媒艺术副总监王雪纯受邀担任现场主持。
点击下方链接可*载下**曹老师演讲的PPT:
https://bytedance.feishu.cn/docs/doccnvNNYumJ2uAKjlBM8B3AeOd

(以下内容根据现场速记内容整理,时间仓促,未经主讲人审核,内容难免有误;部分公式受限于微信编辑器,格式可能有不规范之处,敬请谅解)
尊敬的各位朋友,在讲完了相对论与量子力学之后,我想说我们应该进阶去讲规范场论,但是去年透露这样的一个题目的时候有人说不行,太难了,能不能讲点简单的。
但是我一想,其实我们学过所有的数学与物理的领域,我实在没想出哪个是简单的,如果大家真认为简单,可能大家误以为小学学过的加减乘除那个简单,我负责任地告诉大家这是一个误解。 加法你说学会了,我告诉大家门都没有;我提醒大家一句,乘法在1844年格拉斯曼《扩展的学问》这本书里面,提供了16种不同的乘法。我不知道许多人听过过吗,乘法有这么多种乘法?所以加减乘除要排除,实在太难了。
所以,如果要挑一个简单的一元二次方程,大家可以看一下题目下面的洋文——“De Equazione Algebrica zur Eichtheorie”前半段是意大利语,后半段是德语,因为一元二次方程后边发展出来的一元三次方程、一元四次方程,都是发生在意大利那个地方,规范场论是来自说德语的地方,就是德国、瑞士与奥地利。我提醒大家注意一下,我们学的物理里面,流体力学、规范场论等产自于一个很小的国家,这个国家叫瑞士,待会儿会给大家讲细节。
今天这样的讲座,希望花2-3小时时间给大家理清楚从一元二次方程,大家误以为是最基础的地方,如何一路走到规范场论理论物理的天花板。这样安排我的讲座,确实受到我的朋友们的批评,说我讲座的题目特别不友好,为什么我这么不友好呢?我觉得因为 我们现在处于一个技术超越神话的时代,而且这也是一个科学已经深入人心的时代。 今天的我们尤其我看现在十几岁二十岁的年轻朋友们,我觉得再也不能像我这代人读小学、读中学,读到大学,突然有一天明白自己什么也没学着,这个不可以再有了,我希望我们现在的青少年朋友们,能够早早地接触到真正的学问,接触到深刻的学问。
我非常高兴的看到,在我们的国家今天进入到一个科学深入人心的时代。
今天一个刚上学的小朋友都知道不会科学要被人欺负,今天国家发展过程当中更知道没有掌握最顶尖技术,没有掌握顶尖技术下面深厚的数学物理知识,我们可能要被人欺负的。所以今天我们应该好好学科学。
提及学科学的时候提醒大家请当真,学习科学的细节、思想、方法、体系,学科学如何构建、如何批判、如何表述, 这个过程当中我们可能也要学科学家,我们学科学家什么呢?我们应该学科学家是如何学习与创造的,说句大白话,就是今天真要学习的话,吃鸡腿,不要喝鸡汤。
近代科学发展我们都知道它的基础是数学的语言,这一点在我们数学书里面有一个不太提及的人,是意大利人斐波那契(Fibonacci)。他是一个商人孩子,他在1202年的时候把印度阿拉伯人创造的一套字母,就是0123456,我们现在都管它叫阿拉伯数字, 这套阿拉伯数字再加上西方的拉丁字母和希腊字母,这三套加在一起就是今天自然科学的语言。
所以我提醒我们的中小学教育的时候一定要把这三个基本语言教清楚,不管是纯数学的欧拉公式,这是被誉为人类最美的公式,没有之一,或者库*公伦**式,元素都是包括阿拉伯数字、拉丁语字母、希腊字母,这些西方科学在明朝、清朝都传入我国,我们曾经试图用汉语写它,大家如果见过用汉语写矩阵组乘法的时候就知道,写了一页你根本不知道这一页是什么东西,极大的阻碍了科学的传播。 今天我们人民一定要有一个特别开放的心态,要把所有人类知识都当做自己的。
刚才说的是最开始的,我们很快要学到最高深的,这里面我一定要提及一位非常受人尊敬的先生,刚过了虚岁诞辰一百周岁。很多人在短视频中都说杨先生最引以为傲的成绩不是1953年获得诺贝尔奖的宇称不守恒,而是1954年的Yang-Mills,这是第一个非阿贝尔规范场论第一篇,什么意思?我待会会讲。我想说的一句话是什么呢? 我认为我们对这些科学巨擘如果要想表达稍具一点诚意尊敬的话,请去弄懂他到底做了什么,我相信如果你乐意的话其实是可以做到的。
所以今天我的报告内容大概就是有这些内容,先聊两句闲话,从一元二次方程开始,接下来是一元三次方程、一元四次方程,到一元五次方程的时候发现不可解了,发现不可解去理解这样一个不可解就会引出很多学问。
解到一元三次方程就会引进虚数,虚数就有人把它扩展成复数,就是二元数,将来就有人扩展成四元数、八元数,这是数字体系的框架发展。一元五次方程不可解得出一个学问,这个学问叫做群论,有了群论,有了四元数和复数表达,终于有一天我们会发展出规范场 论,说从最基础的一元二次方程到这个地方逻辑的链条或者逻辑的台阶,我会给大家讲清楚。
一句话,我们注意到中小学老师经常会教孩子们说记住知识点,但是知识点如果都是散点的话,是记不住的,知识就像蚂蚱,你得把它串成串就好记了。有一个人说我听不懂,不知道线上朋友是不是有时候三两句听不懂转头就走了,我想说不要担心,请你一定要坚持听完,我都坚持站着讲三个小时,你还不能坚持躺着刷三个小时的手机吗?所以请大家耐心一点,我不敢保证这里的内容你能够听懂,但是我一定努力让你今天听到的东西会对你有启发。这个讲座是人类里面最顶尖的向思想者致敬之旅,内容听不懂没有关系。
还是回答主持人问的问题,为什么老讲不太友好的课题,为什么讲那么难的数学和物理?这是因为我自己上了快50年的学,我深切感觉到我们应该学一些数学和物理,以及我们作为一个受人尊重的民族,应该努力为人类贡献一点数学和物理。关于这样一个问题,我们建国领袖毛主席1942年在延安文艺座谈会上讲话说的很清楚了,中国人要对世界文明做出自己应有的贡献。
数学和物理的历史我个人认为主要是由一些天才的头脑创造的,在中国有14亿人口基数,青少年2亿左右,他们中间一定不缺乏特别有天分的青少年。我特别想提醒他们,作为一个很有头脑的青少年尤其是天才,没有创造,天才是不可原谅的,所以我提醒有天分的青少年朋友们,不要浪费你们的天分。
哪些天才呢?大家学这项人物,比如近代科学之父、物理之父伽利略,牛顿大家都知道,这是科学大神瑞士人欧拉。
关于数学,数学该学到什么程度呢?或者什么样的人是数学家呢? 数学界非常有趣有一个判据,说一个人他如果睡着了,你上去咣当踢他一脚把他弄醒了,问庞加莱引理是什么,他如果说不上来一定不是数学家,他如果说上来,那也不一定是数学家。 但是这是一个必要条件,就是一个人睡梦中被踢醒了一定要知道什么是庞加莱引理。
关于物理学家,数学家是物理学家的语言,物理学家是用方程唱歌的人。

回顾一下我们上大学学过所谓的那些物理,其实都总结到这些公式里面了,比如这是简单的 牛顿第二定律 ,力学下一步发展就到这个方程,叫做 欧拉-拉格朗日方程 ,再往上到 哈密顿-雅可比方程 ,这样的方程把它改造一下,求波动解的话就会得出 量子力学方程 。这是 电磁学方程 ,电磁学和量子力学结合将来就会有 电动力学 。这是第一次工业革命最根本的公式,这叫 热力学主方程 。理解了这样一个公式才能理解人类第一次工业革命。
从 一元二次方程到规范场论 ,如果大家没有耐心听的话,只要看这张图就能理解它说的什么。

从 一元二次方程到二次、三次、五次方程 这是解方程,解三次方程就会解不下去,就会让你们不得不引入 虚数和复数 ,然后就有了 复变函数 。接下来就有 四元数 、 八元数 ,这是数学发展。五次方程不可解就会得出 群论 ,这些数学准备好了以后学物理就简单了,所谓 量子力学 会用到 群论和四元数 ,学 电动力学 要用这里面的 矢量分析和四元数 。
这里有一个东西叫做微分几何,微分几何和群论学好了以后学相对论就简单了,群论、微分几何、电动力学、量子力学都学会了以后你学规范场论就齐了,这中间逻辑关系是非常清楚的。我再强调一遍,我们之所以当年在大学读研究生读这些课读不懂,是因为他相应需要的数学物理基础都没有教,我们课本有一个特别不好的印象,给人一种误解,就是那一门学问只是这些书本里面的内容,其实不是。
一元二次方程概述
从一元二次方程到规范场论里面到底有哪些内容呢? 大家比较熟悉的一元二次方程,它其实是一个平方项和线性项这两个怎么凑到一起的问题,是二次和一次型怎么加的问题,所以最难理解的问题恰恰是加法, 现在你知道做到加法不容易了吧。接下来当有复数的时候,你会发现复数不光是我们学的a+bi, 复数可以有七八种不同的表示,这些表示包括四元数都有不同表示,运算法则和表示就出来了。
当我们用群的语言讨论一个代数方程为什么不可解的这套语言的时候,这个地方涉及到结构和表示,等我们学规范场论的时候发现这不过是微分二次型和一次型,和如何解一元二次方程是一回事,结构上是相同的,这就提示我们 学数学、物理不是课堂做几加几,你需要学的是最重要的法则、结构、表示 ,这些才是数学最威猛的地方,也是让你理解物理和发展出物理的地方。
今天学两个关键词:
第一个词儿叫 置换 ,这个可能比较简单,如果大家喜欢打牌的话,拿一手牌换一种放法,这就叫置换。置换是今天的主题,比方说这是123456,你把1换成4,2换成3,3换成2,4换成5…得出123456另外一种排列方式,这是置换比较好理解。
第二个要学习 交替 ,交替特别重要,这是三维空间里面的多边形,关于多边形有一个欧拉定理,顶点数V减去边数E,加上面数F,减去体数S,体数S始终等于1,所以这个公式应该是V-E+F=2,其实我把它写成V-E+F-S=1。
大家看这个地方涉及到的不是减号,还是加号,只是加上一个负的东西,前面的符号是加减始终交替出现,交替这个东西非常重要,而这个地方作为几何对象,几何对象没有顶点数减边数, 这个负号是告诉你几何对象有取向 。大家想想如果绕着小公园遛一圈,你当时就明确路径有取向,可以顺时针绕,也可以逆时针绕。学几何的时候,几何里面从来没有教大家几何有取向。
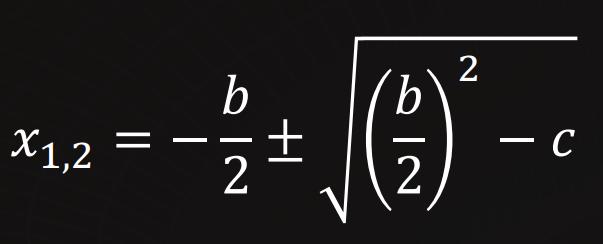
明白这个道理的时候现在开始学方程,许多人以为会,让我们看会到哪。一般的一元二次方程写ax+bx+c=0,这里a、b、c可以是整数,如果不要求a、b、c是整数,其实就应该是这样一个方程, x+bx+c=0 ,也就是说这里参数只有b、c两个。
老师教大家配平方就能够得出两个根:

根号下得出 b-4c 这一项,如果b-4c大于0,开根号,就得出两个根;如果b-4c小于0,我们叫方程无解,就是它不合理,或者说我不懂我不知道该怎么办。这时候许多人会误以为说b-4c根号下是负的,可以利用:

我们在中学里面学过,老师教过,我想说的是你想多了,人们解一元二次方程的时候遇到根号下是负的,因为不了解,不了解哪个数平方等于负,所以说直接取无解,这是最合理的做法。
这个地方你会注意到什么呢?注意到这个地方有b -4c,它是判别式,它到底是什么意思?我们不解具体方程,把求的方程两个根,x 要表示成x +x 和(x +x ) -4 x x,这是什么意思?在解这之前,大家肯定觉得这个方程太简单了,老师也给出解法了。
我现在告诉你,事情没有那么简单,不仅关于这个方程一般理论一元二次方程你还没有学,就是特殊的挑几个例子,这几个数学你大概都没有学过,解x-x-1=0的方程,这个方程的根等于:

这个数就是 黄金分割数 ,它和10次转动有关。
x-2x-1,它的根:

这是 白银分割数 ,和8次转动有关系。而x-4x+1=0,它的根:

是 白金分割数 ,和12次转动有关。 而人生活的三维物理空间允许准晶的转动就是18、12次。
随便挑出一个黄金分割数能够有多少内容呢?关于黄金分割数我知道的至少有三本专业的杂志, 关于这一个数就有专门三本数学杂志 ,最早的Fibonacci季刊专门发表有关黄金分割数的内容,这个杂志已经发行了一百多年了,请同学们再想想,你还敢说你会吗?这本杂志你随便看哪页都不懂,而这仅是关于特殊的一元二次方程一个根的故事。
现在深入研究一下一元二次方程,把一元二次方程改成x-bx+c=0,为什么这么改呢?这 是因为这么改的时候x、b和c都可以理解成长度,就可以用几何法研究这个方程了。

我们用几何法研究方程如上图所示,做一个直径是b的圆,从底下点A做一个切线段,切线段长度是c,如果b-4c>0,就是说c比较短, 从c的另一端做一个垂线RT的时候,与圆有两个交点,这就是我们常说的方程有两个根。
如果c再大一点,使得b-4c=0,垂线RT与圆相切,只有一个接触点,这个方程只有一个根。这个地方又遇着了数学书里面一个错误概念,当b-4c=0的时候,是这个线刚刚搭上去,只有一个交点,汉语把它翻译成相切,不对,这不叫切,这是刚摸着、碰着,而不是切,这就是我们为什么老学不会的问题,这是一个错误的概念。
现在回到刚才提到的b-4c<0的时候是什么样的,说明c比较长,从这里做垂线不与圆相交,刚才说b-4c<0没意义,好像有意义了。有人肯定要说怎么错过去叫有意义呢?
我给你举一个英语课上的例子,什么是错过是有意义的。这是我们常见的表达,我想你。大家还记得英语i miss you,miss就是错过。不管是英语i miss you还是法语Tu me manques,是我错过你,我错过你才想你,错过是有意义的。所以这告诉我们b-4c<0是有意义的,但是什么意义,别着急,我们等待接下来的讲解。
我们看研究x +bx+c=0这个方程,你会注意到,如果一个方程有两个根的话,永远可以把方程写成 (x- x )(x- x )=0 的形式,这才是一元二次方程。 那么这个方程的标准形式为x- s x+ s =0。

你会发现这里的符号很有意思,就是+、-、+、-,交替出现了,请大家记住交替是重要的东西。由以上可知, x+x=s,x*x=s 。我从 x +x和 x* x,就一定能得出 x-x。有了x+ x 和 x -x,就可以得出 x 、 x各自的表达式。于是我们知道一个方程根 x、 x应该由它本身来表达——

请记住不是加减,是正负,代数方程里面没有减法,请同学们一定记住。
这个方程就很有意思了,很多人不明白这个道理,你看我求的方程是两个根,怎么用它本身来表达,你在绕我吗?不对,这个道理我是没弄明白,我发现金融界的人士就明白了,他们用明天可以挣到钱,在今天挣你的钱,这个哲学可重要了。
用根自身来表示,这是一种哲学的转变,我用要被寻找的根来表示这个根。 如果大家再不明白这个道理的话,就是参照一下金融行业人员,他们一直都是这样干的,用他们明天才会拥有的钱,今天来挣你的钱,只有这样的话我们才能理解金融学,我们也才能理解什么是一元二次方程,这些东西没教,不着急,接下来往下说。
加法和乘法的兼容
x+bx+c=0,到底是一个什么样的方程呢?其实我们注意到就是x= c 、bx=c 这二者如何叠加和兼容的问题 。大家可能会有疑问加法与乘法有什么兼容的问题?比如说数学里面最难的费马大定理,x+y=z,这就是一个乘法与加法相融的问题。当n大于等于3的时候,你找不出整数x、y、z,使得这样的算式成立。也就是说当n大于等于3的时候,这里面的乘法加法不相容。 所以一元二次方程重要的是乘法与加法怎么揉到一起去的问题 。
既然这样的话,我们来看,我们来理解x= c 这个问题, c 这个数只有两种可能,要么是正数,要么是负数。 所以我们需要理解的是x等于正负1的问题,你会发现x=1好理解,x=-1算是怎么回事?
如果x=-1存在的话,你会发现x=1和x=-1绝对是两个不联通的世界。 这两个世界是怎么回事?或者我们来看物理的看x+bx+c=0这个方程是什么样,我把x理解成距离,x移动b/2,把它改造成x=c的问题。然后,两边同除c的绝对值,就变成x=1的问题。
所以,一元二次方程说到底就是要解x=1的问题,也就是说一元二次方程所有的内容,是让你理解加法与乘法怎么凑到一起,当然x=1你理解了,问题就剩下x=-1是怎么回事。
一元三次方程
再看一元三次方程,物理情景很少有,将来大家上到大学物理的时候会求矩阵本征值。 比如说发动机怎么转动的,转动惯量问题会有这样的方程,这是一元三次方程。或者说学实际气体的状态方程——Van der Waals方程。
一元三次方程怎么解呢?书里面有这样的表达式:

公式不太好记,我特别反对写数学公式脑子里面没有物理图像,所以我始终记为:

因为这时候你就知道 这里面的3、2来自于物理的维度或者量纲,是有物理意义的东西 ,而不是随便写27,27你觉得可以写成26,不对,他是3的3次方,而 这个3是物理的维度 。
这个方程怎么解呢?我们知道x+px+q=0,也就是说有p、q两个自由参数。为什么题目一开始用意大利语呢?因为这些学问一开始都是意大利人先做的,一位意大利人Cardano给出这样的解法,假设我的方程解是:

将其代入方程,可以得出另一个方程:

我可以分别令:

消元可以得到:

这个方程是一元二次方程,而一元二次方程我是会解的。 所以我只要解出一元二次方程,我就可以得出来一元三次方程的解。

这就是一般书上的一元三次方程根的表达式。我们仔细看一下根表达式里面就有故事了。第一,始终是根号套根号的表达;第二,表达式中1,ω,ω是x=1的根。你解一元三次的根要用到x=1的东西,以及根号套根号,这是我们要记住的,里面包含的内容。
对于x你会发现很有意思,刚才说x =1很好理解,x=-1是什么还不知道。但是你发现x=1,与x=-1,没有什么隔阂。因为你只要将x替换为-x,这两者就是一回事。所以x=1和x=-1,没带来什么困难,这好像是世界又值得留念了,但是不对,我们继续往下看。
如果设x=u+v也可以,还是这样的一套方法,就可以得出它的解。 这个地方关键要把一元三次方程约化成一元二次方程,所以这个地方有一个关键词是“约化”,就是我们经常讲的你手里有一个问题或者有一个工程,先把它分解任务,先做成不同的单元,以及放到简单的层面上解决了,这就不解决了吗?
但是问题是这么约化都好使吗?你会发现不太好使,为什么呢?解一元三次方程的时候出事了。大家看解一元三次方程的时候,我们有公式,把具体方程的p、q带进去,经常会遇到根号下等于负,刚才说的解根号下是负的,不合理,不存在,扔了就完了。可是解一元三次方程遇到根号下是负的,麻烦了,为什么?我们不能扔下了。
我们看这个方程x-15x-4=0,我们都知道,有一个根x=4,分明是有解的。可是将p、q的值代到表达式里面就变成了:

如果你说根号下是负的不合理,把它扔了,扔了就没有解了,可是你分明看到x=4。
这怎么办?憋了很久的时间,到了1572年的时候L’Algebra说实在没办法了,就接受它的存在,我们假设他是有意义的,到底什么意义,我们不知道,我们就假设它是有意义。我们闭着眼睛往下算,怎么算呢?
你会发现:

两项相加抵消后等于4,你看,根出来了。也就是说请大家记住了,我们接受根号下负数这个东西不是我们愿意接受,是它把我们逼得没办法了,万不得已我们才接受下面是负数的存在。
一元四次方程与一元五次方程
接下来有人去解一元四次方程,一元四次方程哪儿有呢?倒是 航天部门 经常遇到,你看椭圆轨道与双曲轨道,前两天大家知道空间站被人碰瓷了。 两个轨道相交,始终有四个点,所以求双曲线的交点问题可以得到一元四次方程。
一元四次方程怎么解,就是硬配平方,假设两边都能配成平方的话,得到一元三次方程的条件,这好办了,一元三次方程我会解了。我解一元三次方程,回头就可以解一元四次方程,这样的话,我们大家都知道了一元二次方程、一元三次方程、一元四次方程都会解决。
人稍微有一点成就就怎么样,就膨胀,那人类一定会解五次。所以有人就去解五次方程,但是你如果稍微头脑清晰的话,你应该分析一下刚才的一元四次方程解是怎么行的。这儿出现一个大神Lagrange,他研究一元四次方程的时候发现,假设四个根,x 1 、x 2 、x 3 、x 4 ,可以凑成这样的一个四个表达式,这是对称式:

而这个表达式,如果我们数学学的多,一定会和中国古人联系在一起,就是我们老祖宗 杨辉三角 ,你发现这里面杨辉三角出现了。
我们知道了这样的一个对称表达式,如果我再用根组合成别的表达式:


这个方程就能够倒回来与这个方程距离系数c、d、e联系在一起,我就能解出 s ,s ,s ,s 这四个数,与四个根是线性联系的,就可以得出来四个根。 也就是说Lagrange从一个体系的角度,看清楚了四次方程为什么能解,以及这个方法到底是什么意思。
这个大神太厉害了,给我们留下了很多的书,比如说关于代数方程的思考,因为他发现代数方程里面的学问太大了,还有算术研究,还有分析力学请大家记住,这是大学物理系都要学的学问,分析力学又叫Lagrange力学,这本书太经典了,我曾经开玩笑发誓将来有空把它翻译出版了,穿着红色高跟鞋绕物理所跑一圈。
这本书实在是太经典了,为什么呢?从我们人类历史上从数学与物理角度来说,绝对是大神级的人物。而且也是牛顿之后唯一的一个白纸黑字表达出对牛顿不服气的人。他是这样说的,牛顿当然是最伟大的天才,但是人家也是最幸运的,为什么他是最幸运的?因为构造世界体系这件事情只能干一次。那意思就是如果当初牛顿不干的话,我也把它干出来的,多大点事情。这是白纸黑字有记录,对牛顿不服气的,这是唯一的一个人。
我们再看一眼一元四次方程的表达式,对称多样性的表达,你看它的符号,比如说表述成“-b+c”“-d+e”,又是正负、正负、负正、负正交替,始终与交替有关系,你用这样的一个四个根来凑别的帮助解的方程的时候,这种结构未来有群的结构。 所以Lagrange的工作就是告诉我们,把解方程求方程根的过程变成对方程本身的认识,这是他最伟大的地方。
四次方程不管怎么着,反正是可以解,因为我现在不知道到底哪个场合会出现一元五次方程,所以我认为一元五次方程怎么解,肯定是人吃饱了撑的的结果。
努力去解的时候发现不对了,英国人有一个人叫Bring,有能力把一元五次方程的4次方、3次方、2次方项都消了,能表达成x+px+q=0。你如果把x项都消了,这个解就有了,但是这一步根本过不去。
Euler发现方程写成x-5px+5px-q=0的形式的时候可以找出一个解, 但同样也找不到通解 。所以这个事情忙活了100多年的时候,人类有一天突然服气了,一元五次方程是不是没有解?差不多到18世纪末的时候,像法国人Vandermonde与Waring就怀疑了, 一元五次方程没有解,或者没有看起来的通解。
Lagrange拣起这样的思想,才去写代数方程的书,才理解方程的结构,他认为方程可解不可解,找到某种方程根的置换不变的函数。你看这里面又隐含着一个思想,就是我们数学书里面从来没有告诉我们,当我们解一个方程,这个方程有几个不同的根,如果你不知道根等于几的时候, 这些根之间都是等价的 。比如说方程里面有一个根,一个是4,一个是3,许多人很容易误解4大于3,但是就这个方程本身来说,如果3、4都是这个方程的根,是一样的,是等价,我们没有这个思想。
你看Lagrange有这样的思想,就认识到代数方程的一般形式就是 (x-x)(x-x)…(x-x)=0 ,要从他的角度来理解到底有几项的时候这个是有解的。但是你要证明一个方程有解容易,找到一个解就行了,就像证明天鹅不都是白的,你要逮着一只黑的就行了,可是如果你要证明天鹅是白的,你不管逮出多少只天鹅,都不能证明天鹅是白的。所以证明这个方程也是,就是你证明它有解容易,只要搞出一个解就行了,但是证明无根式解就特别难了。
这个难从理论上研究,发现所有方程形式应该是,连乘的形式,你把它展开这就是Lagrange展开的形式,展开对象就有(-1)的问题,i等于奇数的时候等于-1,i等于偶数的时候就等于+1,所以这就是为什么始终有正一负一交替的问题,这也是出现交替群要理解的原因。
这是一个未知数和根的差,如果把不同的根之间的差乘起来,再平方,这就是所谓的判别式,就是一元二次方程里面学到的两个根值差平方问题,所以把它扩展到一般情况下。扩展到一般情况下,Lagrange突然明白为什么五次方程不可解,为什么?他把一个可能的方程根和x=1方程的根给做成这样一个组合:

把这个地方的根,x 1 、x 2 、x 3 互换,看互换以后有多少结果,他发现非常有意思,对于二次方程把2个根有两种互换得出一个值,也就是问题变简单了,这可以解。一元三次方程有3个根,有6种置换,但是只有两个值,就是3变成2了。一元四次方程,4个根有24种置换,但是只能得出3个值,所以也是简化了。
但是5次方程就麻烦了,5次方程5个根,有120种置换方式,结果得出24种值,事情变复杂了。这个提醒大家有一个非常重要的东西,就是所有的事情比方说某件事情牵扯到数量增加的时候,会逐渐变得复杂。
讲一个简单的例子,别人请客吃饭你去了,你去了没有问题,人家请你了,你说对不起今天还有一个朋友一起来,也想认识你,说能不能一起来,一般情况下也行,但是带两个朋友,人家咬牙忍了,但是带三个朋友四个朋友一定这事儿不行了。所以对于方程,二次行,三次行,四次行,到五次事情变复杂了,变复杂了就不能解了。
不可解理论与“群”的提出
所以有人开始研究它的不可解理论,1799年意大利人Ruffini写了516页的代数方程理论说不行,但是大家不理他,为什么?因为证明太长了,516页,审别人数学论文这是太苦的一件事情,没有人干。
1824年挪威人Niels Abel,大家记住这个名字,这个名字非常重要,证明五次代数方程通用根不存在,但是因为他太年轻,没有名气,被人家不得不要求将论文修改简单,最后这个论文才6页,中间就有缝隙,在生前也很难被认可。但是大家都知道了,今天我们有 Abel -Ruffini定理 ,说基于五次以上的一般多元式方程没有根式解,不能表现成根式套根式的解。
真正解决这个问题的是谁解决的呢?是一个法国的数学家天才叫做伽罗华,他证明了一元五次方程没有解。但是大家看他有多惨,1830年解决这个问题,1832年去世,他这个论文提交法国科学院,被法国大科学家弄丢了,他去世14年的时候他的成果才有人帮他发表出来了。所以作为天才你们一定要有心理准备,要承受这样的命运。
伽罗华首次提出了“群”(Groupe)这个词儿的概念,并且利用“群”解决这个世界难题,但是“群”为了这个问题一经发明,它将来就不只限于这个问题,“群”将来会在整个数学领域、物理领域有它的作用 。
这个理论出来以后,数学也好,物理也好,有时候就是一层窗户纸,重要的是捅破窗户纸的那个人,窗户纸一旦捅破了,这个理论就会迅速发展。1870年的时候一个法学数学家Camille Jordan就写出了这本很著名的书《论置换与代数方程》,后来欧洲数学家里面年纪轻轻有成就的基本都会读这本书,我甚至有一个建议,这本书一定要进到中学里面成为中学教材。
我们提到刚才的天才伽罗华,伽罗华1830年解决一元五次方程不可解的问题,请他看出生于哪一年,他出生于1811年,他引入“群”解决问题的时候才19岁,还没有考上大学呢,但是到1834年的时候小伙子因为某些事情要和别人决斗,决斗前一天晚上匆匆忙忙写了一堆乱纸,这是人类文化史上最重要的一页,一堆乱麻。
用他自己话说是他希望将来有人能够看懂,并且他请求他的弟弟,这些乱纸不要交给法国科学家,交给德国数学家,不要问他们我解的对不对,只要问他们我干的值得不值得。这小伙子给别人决斗,又不会决斗,结果在菜地里被人一下撂倒了,被伤了以后躺在菜地上,第二天早晨他弟弟才找到他。
除了请别人破解他的乱码,特别著名的就是“我没时间了”,当他弟弟把他送往医院的时候,他说了这句特别伤感的话,说弟弟你别哭,我在20岁上死去用尽了我所有的勇气,这是一个天才的陨落。
当然在法来西这个国家也是特别盛产天才,1832年至少陨落了三位天才,都是数学家,第一个是破解了*级A**黑色罗塞塔石碑的语言学家Champollion,第二个是奠定了群论21岁去世的Galois,第三位是1832年去世的热力学奠基人,写出热力学第一篇文章的 Sadi Carnot。
关于这个问题我特别有感慨,我想说什么呢?就是如果一块土地长不出天才的土地是尴尬的,但是长出了天才也要敬重,要让天才存在下去。我想说的第二句容不得天才的人群是猥琐的,特别希望我们的社会未来在每一个局域的小环境都能够形成一个容忍我们身边天才成长的小环境,让我们未来的青少年中间能够出现真正的给中华民族带来荣光的天才。
现在回头看代数方程的事情, 代数方程从原先用系数求具体的根,现在变成了系数经对称多项式到根的表达,到研究对称多项式到根的关系的问题 ,用的就是刚才这位小伙子得出的群论,所以这条理论就叫 伽罗华理论 。
但是比较好理解,我给大家念一念,一般n次多项式伽罗华群是置换群S,置换群最大的正规子群叫做交替群,交替就很重要了,这样一直做它的最大正规子群一直往下,要求合成列中的指数始终是素数,2、3、5、7、11、13这样的数。如果是这样的数,就称这个方程可解。
从这个道理可看四次方,它的置换群是12个元素,这儿的A 4 置换群最大正规子群是四个元素,12÷4=3这是素数,所以这个方程可解。可是如果n大于5就麻烦了,交替群A n 总是简单的,也就是说它的子群只有一个,元素数等于1,A n 这个数非常大,是一个偶数,是一个大的偶数,肯定不是素数,证明一元五次方程不可解。没有关系,一般听众不需要知道这些。
俄罗斯,我作为一个学物理的,学一点点数学的人,这一位特别帅气的大神阿诺尔德是绕不过去的,你看到1963年的时候,人家这样的一个数学大神竟然还研究x+bx+c=0。人家从哪个角度研究的呢? 从拓扑学研究 ,什么叫拓扑学研究呢?他说我现在我当然知道B和C可以当做复数,复数的话是可以表现为平面一点,所以说在平面上选择一点代表B和C的话,那么相应地在另外一个复平面就有两个根x、x 2 。这个没问题,他说我发现有一个问题,如果我改动一下B。怎么改动呢?就是绕一个小圈子回到原来的地方,那么这个C也改动一点绕到一个地方。那么大家知道这个BC如果有点改动的话,那相应地两个根应该有一点变动,这可以理解,他发现如果我这两个参数绕一个小圈子的时候,这两个根绕一个小圈子也回到自己那个地方,这个比较合理。他说但是如果BC自己绕的圈子大了,发现这边出的是x 1 变成x 2 ,x 2 变成x 1 了,这叫置换。也就是说这个地方的参数,就是这个方程这个系数仅仅是走了一段路,走的路就是离家远了一点,绕的圈子大了一点,造成了两个根之间的置换。他说这个地方可能会告诉我,这个就能提供代数方程的一般理论。
所以他从这个角度就证明了:一元五次方程为什么不可解呢,就是因为他发现这个两条路径的乘积再倒过来走,倒过来走就相当于回家嘛。就是这样的一个闭合路径,他用这个证明发现一元五次方程的五个根有120个置换,这120个置换就有120×120的这个表达式,叫对易式。他发现120×120个对易式里面有60个还是原来对易的结果,也就是说求这个地方对易的根的时候,要求你的根式套一个根式。可是这60个置换操作,再用60×60去求它的表达式,还是这样表达式。也就是说如果对应根,你用根号下表达的数,外面得再套一层,结果就陷入一个死胡同了。如果这个根要用根号表示的话,就得根号套根号套根号,就套到无穷了。
这样的话他就证明了一元五次方程的表达式,如果表达成根号套的话,就一定要有无穷多个嵌套,这就证明它不可解 。大家看看一点:都说数学家聪明,数学家总是坐在桌子前面冥思苦想,大家看看算120×120个这样的对易表达式,大家想象一下得多辛苦。所以说今天也借此,向我们的社会,尤其向管理科学的领导们指出一个事实:科学家首先是个体力活儿。大家千万别误以为科学家光是聪明,科学家首先是一个体力活儿。
一元五次方程既然有人说不可解了,当然总有人不服气,说一定是可解的。英国科学家有一个叫杰拉尔的,写论文说一元五次方程一般可解。结果爱尔兰的著名数学家哈密顿给他审这个文章,花了一晚上给出报告说认为这篇方程很聪明,但是没有解。没有解让提交文章的杰拉尔很生气,又写了一篇文章,干脆说我不仅能解一元五次方程,我能解一元任意次方程的解。结果这个论文又交到哈密顿手里审稿了,结果可能把哈密顿给惹着了。结果大家看什么叫神人,什么叫科学家,首先是体力活儿。哈密顿在1836年5月31号这一天,给这位杰拉尔用笔写了124页的长信,这一天用笔写出124页的审稿意见。告诉他你这个方法是错的,是不对的。
那么为什么哈密顿能够评价这个问题写了124的页长信告诉他这个不对呢?是因为哈密顿本人也研究一元五次方程,也有专门的专著研究一元五次方程。这个哈密顿,叫做威廉·卢云·哈密尔顿,请大家记住,这是我们这个世界上产生的一个最珍贵的名字,这个名字比牛顿这个词儿更珍贵。这是唯一的一个在这个世界上任何一个时刻都有人在输入的名字。就是哈密顿这个姓,是这个世界上任何一个时刻都有人在书写这个名字的,这就是因为他。这也是我们学数学、学物理都绕不过去的一个人。那么这个事情的感慨,就是说一元五次方程不可解,为什么有人还要研究这个问题呢?就是我提醒大家的一件事情: 做明知不可能的事情会有大收获。 这又让我想起了我们的许多基金申请,赌咒发誓说这个事情可行,这个事情有意义的。好像不对。做明知不可能的事情会有大收获。就是做不可能,你要怎么证明它的不可能,不可能里面往别的方向要蹚出路来,这也是做科学的一个很重要的方式。
我们既然说一元五次方程没有一般的解,但并不表示一个特殊的一元五次方程没有解。所以说对于一个特殊的方程怎么解,还是要有人在做这件事情。比方说给大家举个例子,这个方程的解表达成这个样子:

再举个例子,这个方程x=2625x+61500它的解表达成这个事情;

你看这些具体的解都不容易。还是那句话,请大家一定要记住: 当科学家首先它是个体力活儿。
那么这个地方,同样是解方程,解方程的层次可就不一样了,这个大神来自德国哥廷根的一个大神Felix Klein。他专门的一本书研究一元五次方程,但是他把这个一元五次方程的解和正三角形组成的正二十面体具有五次对称性的这个几何联系在一起了,然后这个尝试就会带出一门新的学问。待会我们会知道,后来当有一天我们的科学家在研究团簇、研究碳60、碳72、碳74的时候,突然发现人家这个学问早就准备了。
还有人更神,他不仅研究一元五次方程,研究一元六次方程,他研究 一元无穷次方程 。这是谁呢?就是来自瑞士那个小镇子的欧拉。他研究一元无穷次方程,什么意思呢?他说一元无穷次方程应该表达成这样,f(x)=(1-x/x )(1-x/x)…,一直乘下去。大家看:你取x=x 1 的话,那么第一项等于0,这个方程就等于0,这就成立了。你看多聪明,我看这个我就感慨我怎么没有想到。
那么按照刚才的表达式,这个1/x 1 +1/x 2 +…+1/x n 加起来,就等于我们的方程中一次的x的系数,这个没有问题。他说我现在给你举个例子,举个什么例子呢?由sin√x除以√x,得出的这样一个代数方程,就是1-x/3!+x/5!-x/7!…这就是无穷多次方程了,对不对?无穷多次方程要让它等于0呢,这就是x根。让这样一个sin√x等于0简单,只要√x等于nπ,这个表达式就等于0,也就是说nπ一定是这个方程的解。所以说用这个表达式1/x 1 +1/x 2 +…+1/x n 呢,就等于-(1/π+1/4π+1/9π+…),就等于x这一项的系数。这一项是1/3!就等于1/6。两边同乘以π,结果就能得出来1/1 +1/2 +1/3 +1/4 +… ,一直加到无穷大,等于π/6,而这个竟然是 著名的巴塞尔问题 。他的老家就是巴塞尔。
请大家记住这个瑞士的小镇巴塞尔, 巴 塞尔小镇里面诞生了流体力学、刚体力学,和数学上那个吓死人的“贝努里家族”。 贝努里家族是我们学数学学物理人的一个噩梦,因为你当写出一个贝努里方程的时候,你不知道这个贝努里是他爷爷是爸爸这一辈还是他孙子这一辈的,你也弄不清他是哪个贝努里。欧拉的爸爸是和贝努里家族交好,他投的是贝努里家族中约翰贝努里的门下,所以才年纪轻轻就成名的。这个点再再地提醒我们大家记住:天才是天生的是没错的,天才的第二步就是一定要遇到好老师。
那么我想看欧拉,不是我感慨了,很多人都感慨。有一本著名的书就是How Euler did it,就是欧拉到底怎么能干出来这个事的。那么大家都对他解题能力感到惊讶,我想感慨的是真正的大神是敢于直面吓死人的问题。大家想象一下,如果我们给学生布置题目说请试试怎么解一元无穷次方程。肯定教育局说超纲了。这超纲算什么呀,就是说你要解决吓死人的问题、敢于使用不合理的前提,有能力自己发明解决问题的方法与工具,才是真正的学术大神。
复数与超复数
一元五次方程这事说完了,回到我们的一元三次方程√-1的问题。我们现在是被人家像水牛强压着头喝水,接受了√-1,但是既然它有用,它就有合理,它就有存在的价值,那么它就应该有意义。
我们现在就要理解√-1到底是什么意义。到底是什么意义呢?我们看:首先,你接受了√-1,你发现那个解始终是a+b√-1,和a-b√-1的问题,这俩一直同时存在。你看这两项一加,后边√-1就没了;你把他俩一乘,√-1也没了。 这就理解了我们说这俩要“共轭”。 共轭是什么意思呢,共轭是说牛的:两头牛用同一个轭,用力就往一个方向去了,这个叫共轭。而共轭是我们数学和物理里面始终会用到的这个词。共轭就是一对变量或一对某某关系的时候,说它们俩是共轭的。共轭的意思就他俩像两头牛一样,要用一个轭才能往一个方向使劲。所以说将来我们这个领导干部配置,将来应该是根据共轭原则,它能用力往一个方向去。能够把各种矛盾,让我别扭的地方能够消除掉。a+b√-1,和a-b√-1受它理解的时候,我们再理解我们方程如果有√2的时候,我们发现就是α+β√2,与α-β√2,他们俩相加相乘也把√2这个让我不舒服的,也能甩掉。 共轭它这个意义它是广义的。 你看这又给我们带来了新的知识。
再往下,我们都认识到√-1,是能接受它了,接下来我们怎么也给它取个名字吧。所以到1637年,法国的这位数学家、哲学家、大神:笛卡尔,给他取个名字,说这是个 imaginary number,是个虚妄的数,是一个虚无的数,或一个想象的数,所以就有虚数的说法了。 到了1777年,起了名字,到这个名字有表达式,又花了140年。欧拉给引进了imaginary的第一个字母i来表示它,说√-1=i。这个√-1=i,我们中国的数学书里面也都是这么教的。对不对呢?不对,因为我们刚才说了:这俩(a+b√-1,和a-b√-1)必须同时存在。这个地方(b左侧)的-1是属于它(√-1)的,这个地方(-)不是减,是它(√-1)的负号。所以说正确的理解应该不是√-1等于i,是√-1等于±i。写成±i也不对,因为有人会把它理解成√-1,既可以等于+i,又可以等于-i。错,是√-1,必须同时等于±i,这才是对的。所以可以理解成√1要同时等于1和-1,√-1要同时等于i和-i,4√-1,要同时等于1、-1、i和-i。这么理解的时候,你将来在数学、在物理应用的时候,你的应用才是对的。
既然我们接受它了,往前发展这个路就好走了,到1813年的时候高斯就把刚才这个a+ib或者x+iy这个东西,就把他称为复数,就是复杂的数,就因为有这么一种奇怪的东西叫做复杂的数。但是高斯这种人就太厉害了,他那时候竟然能随口说一句,说这种表达成x+iy的这种数,它里面有等级。(z=x+iy)这个是复数,还有比复数更是复数的数,他用拉丁语说:那是十足的阴影之阴影。就是我们今天说,我们学什么东西的时候,求你的心里阴影面积。你看那个时候就有这种表达了:他说这复数里面还有更复杂的数,那是十足的阴影的阴影。高斯这种人我们不说了,我愿意把他比喻成,就是从科学家的角度上说他是大鲸鱼类的。我们都知道有个鲸落的概念:一个鲸鱼如果死了的话,它能够哺育一个小生物圈。高斯遗留下的著作里面,如果大家愿意研究的话,里面随便往前发展一点的话,那都有的是内容。
所以说,我们现在看高斯。既然我们接受了复数表达式,我们发现复数与复数相加,前边叫实部相加,后边是虚部相加。然后z 1 乘z 2 是这个样子:(ac-bd)+i(ad+bc),和z 2 乘上z 1 是一样的,这就是我们小朋友在中学学的叫“乘法交换率”。但是到1863年Karl Weierstrass就证明了实数到复数这个地方是两个交换代数的扩展,再也没了。再往后再想有z 1 z 2 =z 2 z 1 这事是没了,接下来我们会看这种事情。
我们会发现引入复数之后出事了,什么呢?就是当我们谈a、b这种实数的时候我们经常会比大小, 但是当我们谈复数的时候,a+ib和c+id的时候,我们没法说他们俩谁大谁小。 这是我们关于数的习惯地比较大小,这事儿就不能干了。这就逼得我们不得不去理解这个东西到底是什么意思。谁跟我们理解呢?还是要用 几何法 ,你用几何你就能理解了。看几何是怎么理解的:这是初中的时候经常有这种题目,给你两个长度a、b,再给你一个夹角α,你给我做一个三角形。这种题目都有。

大家看如果这个长度是a,这一段是b的话,夹角是在这儿,是和水平面夹角的。如果,大家看,这是夹角α,这个长度是a,那么这个顶点到垂线的距离就是asinα。如果b大于垂线这个距离的话,你画一个圆的话,和它(基线)就有两个交点。这两个交点当作三角形第三点,A、P、B就决定一个三角形。当然了有两个解,这个没问题。可是如果是b要比这个垂线,也就是比asinα短的话,你以它(P)为圆心画个圆呢,就没有焦点了,好像这个三角形就不能画了。结果有人说不对,这个三角形好像还能画。怎么画呢?他说你看这个垂线:那我用这个垂线当作一个直径的话,我画一个圆(绿色虚线)。那我以这一点(P)为圆心,以b为半径画一个圆,和这个圆(绿色虚线)交两点,它也能得出两个三角形,它也是由原来的两个长度和一个夹角决定的三角形,不一样是出题老师的意思吗?但是你会发现有意思了,这个三角形(下图)相对这个三角形(上图)它往上挪了。也就是它提醒了我们大家,当出现√-1这种事情,它意味着是一个和水平面垂直方向的运动,往垂直方向挪了。
那这让我想起什么呢? √ -1这种存在,可能和上下运动有关系。 这个就触到知识盲区了。那么有没有这回事呢?你会发现同时有很多人注意到这一点。谁呢?我刚才提到了1832年还陨落了一个大神叫萨迪·卡诺,Sadi Carnot。萨迪卡诺不仅厉害,他们家族将来会出现一个姓庞加莱的。大家不理解为什么卡诺家族会出现一个姓庞加莱的。这是一个据说人类历史上唯一一个什么数学物理都会的。大家知道三体吧,三体就是他(庞加莱)的文章里来的概念,我们不提。将来他的一个侄子是法兰西的总统,卡诺的一个侄子也是法兰西的总统,这一家人太厉害了。那么热力学创始人萨迪卡诺他爹,老卡诺,当年竟然出了一个几何题:说这有一个线段a,在线段上找一点,把这个线段截成两截,这两截乘积等于线段平方的一半。也就是说,我把它写成方程的话就是x(a-x)=a/2,但是这个一元二次方程大家都会解了,解等于a/2+(±ai/2)。ai/2说明这个点就不在这条线上。另外一个法国人比埃就解释,说这就可能意味着这代表这个点不在这根线上,在旁边。a/2±ai/2,就是这个半截到这儿(线段中点)的距离,再往上这么多距离在这个点(X点),这一点(X点)到这一点(线段一端)的距离乘上这一点(X点)到这一点(线段另一端)的距离,就等于这个a/2。当然这是直角三角形,大家用几何做法一定就懂这个道理是怎么回事儿。也就是说,现在我们突然认识到ai/2这个东西,它不在你这一条线上,它是在旁边。是个几何意义。
这是数学史上真实发生的事情,没想到有一天我会在我们的日常生活里也注意到这个事情。我的一位朋友带着他的小女儿,我们知道小孩子嘛,有时候弄不清楚方向,所以这个妈妈就故意训练她。年轻的妈妈就问:你现在在我的左边还是右边?小女孩想了半天,特聪明地来了一句“旁边”。 左边、右边这是一个一维的概念 ;当这个小孩子回答说在旁边的时候,大家知道旁边是什么,饶你一圈的时候,这个回答是对的。 这突然告诉我们这是一个从一维空间到二维空间扩展的问题,也就是说复数是一个从一维存在的数,转到二维存在的数。 它天然地就可以用来表示二维空间里面的东西。这个例子也告诉我们大家,看见没有,就是数学史上存在真实发生的事情,在今天依然发生在我们的日常生活里面。所以说我希望大家能记住这个故事的时候,就千万别再误以为那些高深数学有多么难,那些高深的数学和我们的生活它的联系可能就是很紧密的,而仅仅是你不知道而已。
这时候在欧洲挪威有一个工程师韦塞尔Wessel,注意到了复数是可以表述成有方向的线段,其实就是“极坐标”。极坐标在我们中国的古诗里面早就有,极坐标的出现有2000多年了,而笛卡尔坐标,即直角坐标是1600多年出现的,请大家一定要记住。所以在我学数学的过程当中,我误认为极坐标出现的晚,不对,极坐标是最自然的东西。大家记得我们中小学念的诗词:西北望长安,可怜无数山。它指的就是方向+距离。极坐标是特别特别自然的,西北望长安,可怜无数山;方位角+距离。
这位韦塞尔是一个工程师,他就认识到用复数就可以表示成平面上的一点。这样的话从原点出发就是线段。 复数如果表示有方向的线段,突然发现特别有用。 大家知道三个线段组成一个三角形是什么条件呢?你看,用复数代表这样一个有方向的线的话,突然就是这么简单的事情,就是:

也就是说如果这就是原点的话,有方向的线段加上有方向的线段加上有方向的线段,回到原点,这就是三角形。这就是 一个三角形的一个不依赖于坐标系的表达 ,你看这就是所谓的最高深的数学,其实很早很早就有。这个地方我又要提醒大家一句,关于三角形我们上初中就学了,许多人肯定误以为三角形已经早会了。我提醒大家一句,关于三角形的内容太多了,我们在中学教过重心、教过垂心、外心,大家就误认为三角形可能就只有这几个心,我告诉大家三角形里面几何的心最少两万种,你才学三四种,才哪跟哪呢。那许多人肯定不服气,说曹老师你又骗我,说三角形就是画三条边,怎么会有那么多内容呢?你肯定骗人嘛,哪有那么复杂?你看不出这么复杂,是因为你看的角度不对,因为你是从这一点出发,画一条线闭合了,说这个就叫三角形,你觉得没有什么复杂的地方。但是反过来想,假设是这三个随机的线段,随便撒到这个平面上,或者撒到一个空间里,这三个线段碰巧凑成了一个三角形,请问这个条件有多么地难。那么如果你从这个角度来说,突然认识到一个特别难能够达成的事情,它里面一定有特别多的内容。从这个角度你就能明白三角形里面的几何,可不是你我三天两天能学完的。
现在我们就能理解了,这个复数是一个有方向的线,复数相乘就是这个方向夹角的相加。 我们突然发现bi代表的东西如果是平方是负的,大家知道一个线段如果变成负的就是转180度,所以bi*bi=-b,相当于b转动了180度。转两次是180度,那bi转一次就是转90度。也就是说,如果你用实数表示水平方向的话,那么bi一定表示的是垂直方向,这就告诉我们复数表达的一个平面,就是一个笛卡尔坐标所表征的平面。这个地方我要提醒许多学理论物理的人,为什么我们的复平面和平面不是一回事,因为复平面只能用直角坐标,i代表的是90度的偏转;而一般平面是可以任意两个方向,只要它俩不重合,就能够表征这个平面,这是平面与复平面之间还是有细微差别的地方。
现在我们来表达复数,复数有多少种表达呢?我们刚才已经学了x+iy;第二种就是极坐标表达,就是说距离和方位角的表达;第三种我们将来会学,有这种rcosθ+irsinθ的表达;第四种就是这种一个模乘上一个相位角eiθ,这个θ就叫 phase,相因子 ,这个就是我们将来通向规范场论的地方。那么还有没有别的表示呢?有,比方说我们可以把a+ib表示成这样的2*2矩阵(a,-b;b,a),这个对角线都是a,这两边的b是-b与b。这样的矩阵的加法和乘法就是复数的加法与乘法。那还有没有表达式或表达矩阵呢?有,有很多,比方说将来你学 四元数 的时候,可以用四元数来表达复数。哎你不是说四元数比复数更复杂吗,怎么用更复杂的来表达简单的呢?这个地方又牵扯到一个哲学的东西,就是 如果我们要用复杂的东西表达简单的的东西,这是一种复杂向简单的回归 ,或者告诉你简单里面也会内置复杂,有一天你要能学会从高观点下去看简单的问题,你才能看出它的不简单之处。回到比方说刚才的三角形,如果你学的就是在黑板上从一点出发画一个三角形,你永远想象不到它里面有多少内容,但是如果你从高观点,从高维空间说随机的线段它们碰巧粘在一起能够构成三角形的时候,你就能明白它里面包含了多深刻的内容。这也是俄罗斯有一套教材,关于数学物理教材,叫做高观点下有效的xx东西,请家长关注一下这套东西,学会从高观点下去看问题。
那么我们既然学了复数,复数有什么用?复数的用处太多了,比方说数论里面有一个说法,叫做任意两平方和的乘积必定是两整数的平方和,如果你从数论角度证明的话,这个可难证明了。但是如果用复数的乘法,就是复数乘复数等于复数,复数取模就是平方和,那就等于平方和,这是一个算法,算数,特别简单。举个例子,比方说(2+5i)×(4+3i)=-7+26i,这个意思是(2+5)x(4+3),一定等于72+262,特简单,算就完了,有什么好证明的?大家看到没有,高观点下看问题就能够看出它的简单,也可以看出它的不简单。
那么第二个复数有什么用呢?就是用来证明几何,我们都知道比方说这是一个三角形,从每个顶点到对面中点画这三条中线,然后交一点,这就叫做重心。重心等于什么呢?几何证明可费劲了,但如果用复数表示三个顶点位置的话,重心就等于三个顶点复数的算术平均,(z a +z b +z c )/3就完了,哪有那么多事,然后用复数去表达线之间是平行的、垂直的,那就是实部虚部那一乘,到底等不等于0的问题,就特别简单。
知道我们用复数去做几何,将来同学们如果是敏感的话,你就知道天底下将来一定存在一个学问就叫几何代数。学会几何代数那物理表达就更简单了,当然了,你们也一定知道将来还有一个学问反过来叫做代数几何。
复数的用途太多了,有了复数接下来会有复分析、复几何,等等,各种变换,都是用复数 。我们在电磁学里面用复数的时候还是羞答答的,是当做辅助工具,去帮助求积分。而等到量子力学里面用复数就是赤裸裸的,因为学量子力学上来波函数一定是复数,量子力学的语言里面一定用复数。甚至复数不过瘾,待会还有旋量,旋量很多人就不懂了。相对论表达有人误以为是复数,不对,那是一个简化,是约化了的四元数甚至是双四元数,如果你懂这些数的时候再看相对论就会发现数学好简单。
这个地方我还提醒大家一句,就是 关于复数将来会引入旋量 ,我读过许多量子力学的书里面都会说描述电子这样自旋1/2粒子用到的数学有多么神奇等等,是量子力学的神奇。直到有一天我发现我被他们骗了,在量子力学诞生之前,所有这些描述自旋1/2粒子的数学都发明出来了,只是你不知道而已。你不知道就在那儿糊弄别人,告诉他这个东西多神奇,量子世界多么难以理解,其实那数学早就有了。关于量子力学表达的虚张声势是由这些人不知道数学造成的,那个东西数学早就有,而且特简单。
四元数的引入
接下来故事就有意思了,我们说复数能够表示我们二维平面里面的转动,转动特别好玩,这个复数a±ib就是实数3±1,5±2的一个扩展。这种3±1=(2,4)在一条直线上,a±ib变成平面的扩展,立马就有人说一件事情:不对,我们生活的空间不是二维的,我们生活的空间是三维的,所以如果有一个数能够跟它描述二维空间里面的物理似的,能描述三维空间的物理那多爽呀。所以这就有人想把a±ib这样一个描述二维的数给表示成描述三维的数,这个事儿是谁干的?就是刚才我提到的那个哈密顿,哈密顿想:这样一个数什么复数不复数的,它就是一对数而已,只要它的加法和乘法弄对了,你写成什么样都无所谓,所以请大家记住形式不是重要的,重要的是它的算法,它的加法和乘法是什么样子决定什么叫复数,而不是你把它写成什么样子。
既然需要一个这样描述三维空间世界的,那我就去发明一个能够描述三维空间转动的代数三重数,(a,b,c)这样的数,我只要找出它的算法,能够表示成三维空间里面的事情不好吗?当然好了,所以这位老先生就开始忙这件事情。刚才我提到这个人的姓名是世界最重要的名字,每一秒钟都有人在输入,我给大家讲一句他的故事这个人有多厉害呢,这个人是他叔叔带大的,叔叔是中学老师,3岁的时候跟他叔叔。叔叔就开始教外语,学了十年,3-13岁学的都是外语,学完了从他老家爱尔兰经过整个欧洲,经过小亚细亚,经过波斯、印度,这一路上所有的语言都学完了。从3-13岁学完了从爱尔兰经过整个欧洲,经小亚细亚、欧洲、波斯的范围,甚至他还会点马来语,就已经学完了。21岁大学没毕业的时候就被聘为了教授和天文台台长。
我们现在中国学霸这个词儿特别泛滥,请大家对照一下看谁还好意思管自己叫学霸?而且到这一点的时候我特别提醒一句我们的外语学习的问题,我们从幼儿园许多家长就急哄哄地送孩子学英语,结果到博士了还有考博士英语,也就是说为了考英语许多人就能考20多年,这是一个特别浪费时间的事情,不带这么玩儿的。好好想想怎么学习外语的事儿,有空咱们再聊这个事情,今天咱们先聊怎么学数学。
哈密顿现在要发展出 三元数 ,(a,b,c)这样的三元数,能够表示我们三维空间的物理。那么怎么发展三原数呢?当然简单了,二元数是a+bi,他现在说a+bi后面再+cj;i的平方等于-1,那我要求j平方也等于-1不就完了吗?加法当然没有问题了,我们来看乘法:a+bi-cj如果乘以自己的话,等于没有i项的、有i的项、有j的项,结果出现ij+ji的这一项,这个东西怎么办?他发现如果你要求ij等于0,或者要求ij等于负的ji的话,这项都能抹掉。这一个问题解决了,但是他发现如果这是两个相同的三元数乘积,如果你要算任意两个三元数乘积,或者任意两个三元数模平方乘积的话,它麻烦了。因为什么呢,他发现这样构造的三元数乘积结果永远是四项,就永远多出一项,这个东西不好玩了,所以这个问题他就老解决不了。
老解决不了大家看出现了一个什么事情?哈密顿从1830年,25岁的时候开始考虑这个问题,结果考虑一段时间放下了,过两天又拿起来,拿起来没有搞定又放下,结果一使劲就考虑了13年,这个问题还没有解决。因为他13岁离开,学完那么多外语,21岁没毕业就是大学教授,30岁封的爵士,所以他的名气太大了,名气太大就会招天下的英才上门讨教。结果在1843年夏天的时候有一个19岁的德国人Eisenstein来拜访他,到英国来看哈密顿,双方进行了亲切友好的谈话,这个谈话没有谈多久把哈密顿吓一跳。哈密顿说这个德国小伙子太聪明了,数学知道太多了,如果我要不赶紧把刚才这13年的事儿干出来的话,估计这个新代数就会被这个德国年轻人先干出来。他说先把别的工作放下来,专心做这件事情,这是6月份的事情。
1843年10月16号这天下午,哈密顿和他的夫人在沿着爱尔兰运河去开会的路上突然灵光一现,说既然两个三元数乘积永远等于四项,13年没解决这问题,那从一开始就是四项不就完了吗?大家看到没有,这就是一层窗户纸的事情,他能够琢磨13年没有琢磨清楚。老是三项乘积等于四项,那一开始四项不就完了嘛,所以这个数一开始就是 a+bi+cj+dk这样一个四元数 。这个ijk平方都等于-1,就像原来的i一样。然后它的乘法就是ij=k,jk=i,ki=j,这不就完了吗。所以这位老兄当时想出来了,特别激动,又生怕待会忘了,就从地上摸出一块石头,赶紧把这个公式刻在他路过的那个桥上,生怕忘了,接着去开会去,会上就告诉他科学院的同事们说我刚才想到了这个问题,下周来给大家报告。这座桥就是爱尔兰的Broome桥,世界上最重要的科普基地,因为这座桥上就刻着重要的公式“i=j=k=ijk=-1”,这是人类史上最重要的,因为1843年10月16号下午,这都是有点的这样一个创造。
这个创造出来以后就很有意思了,这个 四元数乘上四元数还等于四元数 ,四元数乘出来虽然都还是四元数,大家看到没有,表达式特别复杂,既然表达那么复杂那么长,那么麻烦,这就是一种危机。这是我们常说的一句话,危机意味着机会,对不对。因为乘法太长了以后,逼的这个人不得不对这样一个表达式做简化,要提出新概念,要把四元数表示成两个部分的和q=r+v,前面这个东西他管它叫做标量,后面三个加在一起他管它叫矢量。也就是说我们今天在数学在物理里面学了那么长时间矢量标量,我们一头雾水的东西,其实是四元数的两部分。
知道这样一个矢量和这样一个标量,它们俩的相加、乘积就引出了这个乘积的表达式:这就是两个矢量的点乘、叉乘,这就是我们读研究生、读大学的时候电动力学里面的点乘、叉乘的概念。当年我学这个东西是学的一头雾水,而且重要的是不管是在我们的中文课本里面还是西方语言的课本里面,关于矢量这个概念基本定义都是错的。我们汉语的矢就是弓箭,就先天地以为说它像弓箭一样是个有长度、有方向、有箭头的一个量。错,矢量这个意思本身叫vector,叫承载、叫疏运,就是我们雷达车或者如果一条狗,狗身上带跳蚤的那条狗就就叫vector,叫做承载者、携带者。这个vector本身只要满足这种线性的加法和乘法它就叫vector,它可以有长度、有方向,但是它不必须要有长度和有方向,这是重要的。这就是为什么我们,尤其是我当年学电动力学的时候看的那些点乘、叉乘乱七八糟的那一堆公式,老师也不懂,然后我们大家就跟着背,背了过两天又忘了,为什么?就是因为我们根本不知道标量和矢量是四元数两部分,就是满足四元数的加法和乘法。 只要知道四元数的乘法,所有这些公式都是自然而然的,根本不需要背。
这就带出来一个很重要的现象,到底是怎么造出这个现象的,就是电动力学书。大家回忆一下电动力学书,国内用的是郭硕鸿先生的,美国著名的是杰克逊的经典电动力学,它们后面都有两页点乘叉乘这种公式,大家看这个公式记起来是不是特吓人。当年我记这东西也记不住,我考试也不及格,我现在突然想明白一个问题,大家想象一下,一本书后面为什么要列两页公式?那什么意思呢?意思是说它根本没有指望你会,对不对,这本书后面列了两页公式就是让你查的。让你查的意思就是你是不会的,而且你学完我这个课你还是不会。
可是我们的学生中间有优秀的学生,几年前我在武汉大学做讲座的时候,做完讲座我要到机场,结果有一个男孩子一拉车门坐进来的时候说老师我送你去机场,我和你聊几句。这个学生是哈尔滨人,大二的学生,他就问出了如下这样的一句话。说曹老师我读了杰克逊经典电动力学,我觉得他有问题,但是我不知道是什么问题,你告诉我是什么问题。那我告诉他什么问题呢,就是因为关于这个地方的问题,这一个把标量和矢量分割开来是一个热力学统计物理的奠基人吉布斯,是个美国人。当年到欧洲留学,回来把这两部分给砍断成两截,然后又因为美国后来成为世界科学的中心,流毒甚广,造成一个错误。而且我们大家一定要知道,电动力学要点是讲电流怎么产生电力、产生磁场,所以它研究的是电流,但是电流是线。所以说研究电磁学,研究电流的学问一定要用线的代数,这个词儿叫Linear algebra,我们汉语把它翻译成线性代数,是我们的中国理工科大学都要学的。而这个翻译是完全错误的,因为从线性代数你不知道它是干嘛的。它不是线性代数,它是线的代数。就是说是点的代数到线的代数,到面的代数,这是一个几何的东西。它的几何这个线的代数的数学就是后面的四元数和后面发展的Clifford代数。你把代数弄对了,学问就弄对了。
这也是又回到回答刚才主持人的问题,就是我为什么去讲这些问题呢?就是因为这些都是我当年学过的,受了很多委屈,我现在发现不是我当年不好好学,是因为那书也不对,那老师也不会。
现在我们回到 四元数的表示 ,我们看四元数是可以表示成2×2的矩阵的。我们刚才说了复数可以表现成2×2矩阵,四元数也可以表现为2×2矩阵,但是它的每个矩阵元是复数,是a+ib、a-ib这种形式。这是一个2×2的复数矩阵,它里面有几个数呢,abcd四个独立的数,所以我可以把这样一个2×2的矩阵当成一个矢量,它有四个方向的基矢量。这(第一个)基矢量这是单位基矢量不提,这后面这三个基矢量是什么东西?实际上就是我们上大学时候学的Pauli矩阵,量子力学的泡利矩阵。当年我学量子力学的时候就觉得泡利好聪明,他怎么得出这个矩阵。现在我明白了是人家小时候上的课课本里面有,不是泡利发明的、多聪明的,他小时候学的课本里面就有。
而且我在不同的地方给大家讲过了,泡利上中学的时候有多滋润呢?是因为他爸爸上大学的时候同班同学遇上个大神叫做马赫,他爸爸同学马赫不是大神,但是马赫的爸爸,恩斯*马特**赫,是数学家、物理学家、哲学家,是大神。当然请大家记住,一个天才一定要长的好看,讨人喜欢,这个泡利就长的特别讨人喜欢,就深受他爸爸的同学的爸爸,恩斯*马特**赫大神的喜爱。所以这个爷爷级的大神恩斯*马特**赫能愿意做他的Godfather,做他的干爸。他小时候这位大神指导他,就说最顶级的爱因斯坦想攀都攀不上的大神,恩斯特辅导他。
等到泡利上中学的时候,马赫说岁数大了,我辅导不了你。结果怎么着呢?从维也纳大学派了一个数学教授维特厄,就是我们上大学学量子场论里有对x和对z的共轭求微分的那个表达式的那个维特厄,去辅导他的初中数学;从维也纳大学又派一个理论物理讲师辅导泡利的物理,这也就是为什么泡利高中毕业进入到慕尼黑大学的时候,慕尼黑大学物理大神索末菲说我可没有啥教你的了,你的水平太高了,就是这个道理。所以说教育这个问题如何提高老师的素质,如何让全社会里面特别有学问的人抽着空利用吃饭时间,或者利用旅游时间多给孩子讲讲课这点太重要了,一定要请大神。这就是四元数。
接下来如果你把四元数每个虚部写成两个泡利矩阵的积,那么你可以把四元数表达成这个形式:q=a+bσ 3 σ 2 +cσ 1 σ 3 +dσ 2 σ 1 ,这就是bi+cj+zk的问题,i就对应了两个泡利矩阵的乘积,也就是说这告诉我们i和j和k它不是一个线方向的东西,它是个面的东西。
又回到刚才我们说的,我们学代数要学点的代数、线的代数、和面的代数, 四元数是面的代数 ,所以说ijk是面的方向,这个ijk本身构成三维空间的矢量,但他们本身是面的量。这一点我今天竟然遇到一个人,他说他中学的时候老师教右手定则就是ijk乘法右手定则,他觉得别扭了。我再说一句,就是如果你上中学的时候老师教你右手定则你没有觉得哪别扭,那大概你学物理数学就学不出来了,就是那里面明明有问题,你感觉不着,有人是有感觉的。
那么四元数还能表达什么呢?四元数可以表达4*4实矩阵,abcd都是实矩阵。这种4*4的矩阵,因为又四个独立的数,我也可以当他是四维的矢量,它的基矢量是这四个矩阵:

你看这四个矩阵想到什么了?这就是我们量子力学的 “狄拉克矩阵” ,狄拉克矩阵可以由泡利矩阵构造。有人就说狄拉克矩阵是从泡利矩阵里构造的。狄拉克说不对,那是我自己构造的,其实他们俩谁不是自己构造的,都是原来有的。你只要读哈密顿的书,哈密顿的四元数入门里面都有。
所以到这个时候我特别想说一句感慨,就是我们学物理,尤其是学理论物理为什么感到困难,就是因为我们在开始学之前不知道它所需要的数学,学了之后也不知道人家需要这些数学。所以如果你没学过这些数学,学这些内容就觉得人家好神奇啊,太厉害了。如果你要学过这些数学,你就觉得好自然,它本来就应该是这样子。 这就告诉我们大家,学物理一定要有一个习惯,既然选择了学物理,就一定要好好学数学,因为数学是物理的语言 。你如果是学物理,不去数学,你会花很多的功夫还不明白,都苦死了。
那么我们看四元数有什么用,就刚才还是四元数完全平方的问题。就很简单地,就能证明四个整数的平方和和另外四个整数的平方和的乘积还是四个整数的平方和。这是大神欧拉1748年不知道怎么算出来的,可是你用四元数乘积特别简单就能算出来了。我给大家举一个例子,同学们记住这个例子,回去吓唬不会的同学:(1+2+3+4)(2+3+4+5),你很轻松地就可以用四元数乘法,就能算出来等于36+6+12+12。就是一个简单的算式。但是你从数论的角度,想得出这个结果,那你就累死了,只有大神能干出来。
欧拉大神厉害到什么程度呢,我请大家记住,他晚年已经是瞎了,已经完全看不见了,但是他还差不多保持着三天一篇论文的记录。而且最重要的是欧拉现在去世已经230多年了,他的论文整理还没做完呢,想象一下他做出多少成就。所以说,这个地方又是我以前的一个感慨,如果用数论证明特别难,用四元数算的话特别简单,就是一个例题。我特别想说一句,你的累死累活,如果不掌握方法,不过是别人的轻描淡写。尤其是前两天有人算算自己一年挣的钱,再比较一下别人的罚款,说从老祖宗是猴子的时候算,我挣钱都没有人家挣的多。不对,单位时间挣的钱数不对,这就是跟这个一样,层次不对。你如果把它限制在数论层面,这个问题就是个顶天的难题;算成四元数,这就是一个习题。
那么四元数有什么威力呢?四元数的威力可大了,因为四元数有个很重要的性质,就是qq不等于qq,也就是说四元数乘积顺序不能颠倒。不能颠倒意味着什么呢?你会发现日常生活里面许多东西是不能颠倒的。比如说早晨起来你是先洗脸还是先刷牙,你发现这个问题好像不太重要,先洗脸后刷牙,或者先刷牙后洗脸都没关系。但是穿鞋与穿袜子好像这个顺序就不能倒,先穿袜子后穿鞋还是先穿鞋后穿袜子,好像这不行。也就是说我们的自然里面是有这种前后顺序不能颠倒的物理过程,如果前后顺序不能颠倒的过程正好有了前后乘法不能颠倒的数,你就知道这个数可能就是描述这个物理。比方说转动,前后不能颠倒, 四元数就乘法不能颠倒 ,于是乎你突然认识到,四元数本身是可以用来描述乘法的。而且而这个乘法不是a*b,是先乘一下,然后再还要倒回头的这种乘法,而且最重要的意思是你绕着一个方向转出θ角的时候,对应着是相当于用的是角度为φ的四元数乘积结果。相当于这个矢量,绕着它矢量的这个方向转φ/2角。然后突然你会发现量子力学关于电子自旋的1/2是哪里来的你突然就知道了。
当年我们学这些东西的时候看日本人J.J.Sakurai的量子力学去描述这个转动。哎,我都神奇死了,我就不懂。我读理论力学的时候,理论力学人用欧拉角描述转动,然后我就一步一步跟,我也跟不会,当时我就直觉觉得它一定是错的。当然我们那时候老师不理你,你要是认为他错了,你题没作对,反正给你不及格。但是多年之后我终于发现它确实是错的,欧拉角描述这个转动,一不能构成群,二不唯一。所以,欧拉角描述三维转动,有工程上能用,但是它不构成学问,而三维转动要用四元数来描述。就是我现在觉得特别有种冲动要找当年的老师再找几分回来,真的不是我不会,是我竟然能认识到那个学问是错的。
这个地方感慨的是从前的欧拉转动定律的证明特别繁杂,但是用四元数就是简单的乘积。这个地方我的感悟是一个问题为什么复杂,它是由于你看问题的层面低才复杂的,比方说像我这样的科学家做一个课题,需要百八十万块钱的时候这就是一个特别复杂一个了不起的事情,可是从国家科技布局的科技问题,你那一百万算什么钱呀。对吧,你把层面放的足够高的时候,问题就简单了,就没那么复杂。这一点其实是非常重要的一个问题。
OK,现在我们看四元数作为乘法的问题,我刚才已经提了,格拉斯曼在1844年的这本扩展的学问里已经提供了16种乘法,而同学们你们其实在小学的时候就应该注意到两种不同的乘法。比如说3×4,这就是简单的两个数的乘,可是一个篮子里有3个苹果,2个篮子里面有6个苹果,2×3,前边的“2”就是算符,而不是两个苹果。就后边的3是3个苹果,前边的2是加倍,是操作,是多方一篮子在这儿,它是个动作。你看这些乘法我们小学老师都不跟我们讲,所以说乘法这个事情,有各种各样的乘法,有2×3=6,也有2m×3m等于6m,也有两个矢量乘法等于点乘+叉乘的方法,也有v’=qvq这种先做q的逆乘上它再乘以它的乘法,这叫共轭的乘法。也就是说世界上乘法有很多很多种,目前为止基本上许多人一辈子乘法就学到这儿(带单位的乘法),许多人学物理的人乘法都没学到这儿(矢量乘法),在这儿说什么能量、物质,其实就是不懂这个公式。懂这个公式,就没那么事情了。
这就说明什么呢? 这就说明乘法这个东西,前边的东西叫算符,后边被乘的东西叫乘法的对象 ,乘法的对象要发明的,要找着的。我们看复数的乘法,复数乘上复数还等于一个复数,复数乘上一个这样二阶的列,还等于二阶的列,这个二阶的列和复数是可以等价的,所以当年我们做2×2的矩阵,实数矩阵这么乘的时候,好像觉得这俩不是一回事,但是也没觉得怎么不是一回事,因为它(矩阵(x,-y;y,x))与它(二阶列(x,y))可以等价,所以就没觉得有什么事情。可是当我们用四元数乘积的时候突然事情就不对了,因为四元数乘以一个四元数等于一个四元数,四元数乘以两个分量的两阶的东西等于两个两阶的东西,但是这个东西和四元数是不相等的,也就是说这冒出一个崭新的对象,被四元数乘的这个东西有个崭新的对象。这个崭新的对象就是去年得诺贝尔奖的这位大神,特别善于玩的东西叫旋量。 也就是我们有四元数之后,近60年之后才找到四元数乘法的对象,叫spinor,叫旋量,花了60年的时间。 这个东西就是描述转动,描述粒子自旋性质的数学。我当年学量子力学就被他们说,这是一个多么多么了不得的东西,是量子力学的神奇的东西,其实不对,就是简单的数学。
1843年10月16日,就发明了四元数,我们的哈密顿告诉了他的朋友格莱乌斯,格莱乌斯两个月之后就发明了八元数。八元数就是一个实部加上7个虚部,八元数表达方式有多少种可能呢,有480种可能。480种可能太复杂今天就不提了,但我提醒大家一句:八元数不仅他俩乘积的顺序不能颠倒,而且是三个数相乘的顺序,不是先后顺序而是先干哪两个乘法,这个顺序也没有。也就是说我们小学乘法的那个叫乘法的结合率,也不存在了。现在就回到一个问题,我们小时候学算术,不就学123456这种算数吗。老师在教我们说乘法有交换率,有分配律,你们没觉得哪儿奇怪吗?这种东西都知道2×3=3×2,2×3×4,先做2×3,还是先做3×4是一样的,你老是说乘法交换律、分配律干嘛,没必要啊。为什么呢?就是因为真实的数学不是这样的,真实的数学是当我们发明了八元数,我们想干成十六元数根本干不着的时候,我们才总结乘法是有这种交换律、分配律,并且到八元数的时候交换律违背完了,分配律也违背完了,往下你没路可走了,所以再也没有了。 所以说这个世界上,只有一元数、二元数、四元数、八元数,四种情形,这叫做Hurwitz定理,这个地方我们不说四元数,我们说乘法的交换律与分配律。
这就让我有一个特别重要的感慨,它提醒我知道一个最根本的事实: 许多东西不是因为它有你知道它的存在的,是它没有的时候,你才知道它的存在的。 比方说很多年轻人,你不知道你恋人对你有多好,或者对你多么有意义。等有一天你失去他的时候,就知道他有意义了。或者像我们中国的古诗里面,我们父母对我们的爱是毫无条件的,所以父母在的时候,你也管不着他们的事。因为他在,所以你不觉得他的存在,可是有一天当他不在的时候,你才突然认识到他存在的意义,所谓我们古诗里面说最悲伤的事情是“子欲养而亲不待”,他不在了你才能知道意义。而且这些对于我们在学问上也是对的。我们作为一个中国人,整天说中文,其实我们对中文的语法、中文的构思,一般人几乎都没有认识。可是如果你跳出去,你如果用另外一种语言说话,用另外一种语言思考,你回头看我们中国语文里面的时候,会发现中国语文里面有很酷的东西。比如说当年法国人要判断罗塞塔石碑上面字的时候,就注意到中国字的特别重要的东西,就是中国字是从鸟兽演化过来重要的过程,就是象形字,光表意,山、水,大家都知道,到有一天发展出既表意又表音,到发展到有一天我们的字不表意只表音。大家听这三个阶段,脑子里想想哪些汉字你能想出来只有图象,图像+音,和只有音的。像玻璃、葡萄是音,放在一起才有意思,像粘,米字旁一个占,它就有意,同时又告诉你音。这都是语言发展过程特殊的东西,你从另外一种语言来看的时候才突然懂得这些东西。
现在我们看代数的规则,我们刚才说了有交换律和结合律的问题,一元数,就是实数,都有;二元数都有,四元数就没有交换律了,只有结合律,八元数结合律交换律都没有了。都没有的时候我们才认识到有这些规律。我再提醒大家一句:无是个非常重要的存在,从无里头我们才能理解一些有。
说完了这么多,先说数,复数、四元数,由四元数产生的现代代数,现代代数上面发展的Clifford代数,这些东西是我们学电动力学、学量子力学非常重要的东西。比如说我们许多研究磁学的人,到现在不知道磁场B在数学上到底算什么,这是今天我们给大学生研究生留的第二个作业,磁场B在数学意义上到底是个什么?相对论也会用到双四元数,八元数的物理现在有人在研究,但是没有什么结果。
当然像复数、四元数,当20世纪诞生了量子力学以后,复数一瞬间就风光无限。这有很多学问,我们学物理、学数学,会学经典力学、经典光学、波动力学、波动光学、波动力学就是所谓的量子力学,电动力学、相对论、代数、代数方程、复数、超复数等等,这么多学问学科都跟蚂蚱一样,你觉得很散,但是这么多蚂蚱用一个绳索能串起来,就是这个词:Hamilton。所有这里面的东西,你如果熟悉Hamilton的工作,这些东西就能串起来了。这个人叫William Rowan Hamilton,我再提醒大家一句,13岁学完一大堆外语,21岁大学没毕业的时候成为教授和天文台台长,30岁封为爵士。
群论
我刚才费劲讲了半天都是比较浅显的东西,现在稍微进入有一点深度的东西是群。我们老祖宗有一句话,叫“物以类聚人以群分”,你看这个成语多酷,群是用来给物分类的,这门学问都在这儿呢。
那么这一门学问有没有呢?我们看法国有一个电影,三部连续剧,第一部是《棋牌在哪里》,第二部是《人们又找到棋牌》。这里面有一个故事,一个德国兵逮了两个法国俘虏,让他们去牵两头奶牛过来,给俘虏的法国军官们喝牛奶。但是牛不听话,结果牛跑散了,两个法国人也跟着跑散了,押解的德国士兵们就不干了,说“Gruppieren”,就是德语的“组织起来,你们不许跑”。法国人听不懂,Gruppieren是什么意思?Ah, Gruppiere(群), Ca veut dire Ensemble(集合,系综)。我明白了,德国人说的Gruppiere,就是法国人说的集合系统。你看“集合”这个概念就是中国汉语统计物理书里面最难的东西,所以叫系综,我们把它翻译成“系综”了,其实在法语里面统计系综和数学的集合是一个词。为什么我们学东西都是那么费劲,很多人家一个词在中国,同一门学科里面都分成不同的词。数学物理,又单独地不同地翻译,让我们学习得苦死了,现在我们就明白了有一个Group,叫群的东西,群的这门学问加上微积分、加上变分法、微积分方程,就是我们学物理人必备的四大数学工具。
经常有人把物理学,把我们的宇宙比喻成一个毯子,毯子上边有特别漂亮的图案,这些图案是对称的。 但是怎么描述一个毯子,或者怎么织布的图案,就要用 群论 。比方说关于布上的花样,就只有17种空间群。大家都想象不出来我们中国的老祖宗有多聪明,二维平面布的花样或者窗棂的花样,只有17种空间群。如果大家有空到宁波的天一阁,你看它的窗棂,它几乎17种空间群的窗棂都有的,甚至在最后有一面墙上,把这些窗棂放到一面墙上给你一个总结,让你看清楚。这些都有,但是没人懂这个。
过去几年我讲了相对论、量子力学,我突然发现这些智慧都在老祖宗里面。比如说相对论,我们北京西山大觉寺乾隆皇帝提的字,提的八个字的匾: “无去来处,动静等观” ,就把相对论的精髓全说清楚了。葛洪的抱朴子里面有枉曲直凑,就是说你把直的给它弄硬弄弯了,就弄成曲的了。过去做车轱辘,你不都用直的木头一点一点弯,弯成这样的曲的吗,所以说枉曲直凑,这一句就把微分几何的所有思想说清楚了。那么今天关于群论的,物以类聚人以群分,这个出自于《战国策》。所以看着这几个相对论、微分几何、群论,我特别感慨老祖宗什么道理都说的那么深刻,怎么没本事把它发展成一个学问体系呢?最深刻的思想全说清楚了,怎么不把它弄作一个理论呢。
现在看群, 群就是一个集合,一堆东西 。这一堆集合里面元素可以互相乘,就是乘法。大家又学了一种新的乘法。这个乘法的结果还是在这个集合里面,这个就叫群。所以群是这样的元素,乘法结果除了还在集合里面,肥水不流外人田以外,还满足三个条件,第二条是要满足结合律,这点很重要;第三条要满足有单位元,就有一个东西乘不变,也就是说我们平常自然数乘法里要有个1;第四条是要有个逆,就是有一个东西乘了以后,再乘上另外一个元素等于没变。它是一个特殊的集合,这个集合的乘法要有逆。就有点像我们的电梯,有些电梯按错了就不让你逆了,但有些单位的电梯就有逆,你按8楼错了,再按一下就回来了。这一类有特殊的乘法的集合就是群。
其实群大家都熟,比如说平常的自然数,加法当作乘法的话,任意两个数相加,还在这里面,它就在这个集合里面;加法满足结合律就不说了,一定有一个单位元,单位元是0,因为任何一个数加上0,还等于它本身,没变;每个数都有一个负数,是它的逆,你看这样就满足了。然后复数的乘法,1,-1,i,-i,这四个元素你用复数的乘法的话,乘积结果一定在里面,一定满足;然后有单位元1,也都有逆,你看见了没有,这些集合就叫群。你发现x4=1的四个根就构成了群,或者刚才说的四元数都加上正负号,这八个元素就是Q8群。这些群都会在自然界里面有对象,能够让我们描述它的性质。
不跟大家讲细节了,只是告诉大家刚才我们有群这个东西,只告诉大家群元素貌似是等价,但是请大家记住, 群里面一定有更深层次的结构 。有点像我们说你是哪儿的,我是物理所职工,物理所职工上千号。从物理所职工,这个角度大家都是等价的。但是不对,里面一定有各种各样的结构,理解这样的结构才算理解了这个群。我们对别的单位与社会的理解,我们都是中国人,但是中国社会有各种各样的小的区域,有不同层次的事情,你只有理解不同层次的小结构,才说明你理解了这个社会的问题。这个思想非常重要。
那么有了这样的一个群论的角度,拉格朗日考虑了“子群陪集”,就是所谓的商群,就是用来理解伽罗华说的一元五次方程没有解的原因,给一般听众解释实在是太费劲了,我也不讲了,比较专业的同志们等着看PPT吧。
李群、李代数与规范原理
现在要给大家讲一个重要的东西,如果这个群元素不是刚才那种分离的,而是连续的,这叫做 李群 ,李群的子群是正规子群,商群子群则带来纤维丛理论。规范场与纤维丛理论一样,是由中国人领先做出来的重要成果。规范场论从杨振宁先生而来,纤维丛就是南开大学的陈省身先生提出。我当年读的时候觉得很费劲,我后来想,什么是纤维丛?就是毛豆腐,上边长了毛毛,就是纤维,下面就是基空间,这并不是很难懂的东西,换算成数学的概念就行了。所以请大家记住,学这些东西,能把他们看作是具象的东西就能理解的好一点。
现在给大家举个例子,群这个东西为什么有用,我们看一个正三角形,三个顶点是1、2、3,你可以做什么操作?你把1、2换一下,2、3换一下,或者绕1、2、3绕120°或者1、2、3绕240度,这个正三角形都不变,也就是说正三角形就有6个操作,不动是一种操作,第二个是过三个顶点的镜面,第三个绕120°、240°旋转。这六个操作,既可以表示成1、2、3的替换,也可以表示成这样6个这样的矩阵,这告诉我们什么事情呢?告诉我们 群可以有不同的表示 。
所以如何表示群,是群论重要的性质或者是重要的学问。有人说还是不懂,我再给你举一个简单的例子,我们大家都知道观音菩萨,你看有千手观音,降魔的时候是一个凶狠的形象,可是观音菩萨还负责什么?观音菩萨还负责送子,观音菩萨是原佛教里的次行道人,次行道人是男性,男性来送子总是不太方便,所以人们把他改造成一个女的,所以如果大家看观音像就很有意思了,有千手观音,有带胡子的观音,还有送子观音,各种形象都有,为什么?因为观音能够聚千般于一像,观音才能观世音,听到我们的悲苦才能及时做出不同的反应,是降魔还是送子。“群”也是,一个群有不同的表示,不同表示在不同地方有不同的用。
群论来自不同的地方,最重要的是李群和李代数,群论来自数学各个学论,来自代数、数论、几何、分析。在这里我们要提到一个来自德国 哥廷恩大学的Klein,Gauss,他有一天突然明白了几何的分类是要用它的群,他在大学做了一个报告,这个报告就是后来数学史上重要的爱尔兰纲领。
李群、李代数说的是什么意思呢?李群是一个 连续的群 ,所以把它表示成指数函数的话,指数函数如果等于1的话,说明它上面的参量X等于0,所以知道这个参量就能知道李群是什么样,这就是所谓的李代数问题。这个概念很复杂,没法给大家细讲。但是可以举一个例子,比如二维复数变化连续群,就是李群,它可以表达成指数函数的形式,通过选择指数,可以将二维转动表达成一个矩阵,这就是李群、李代数的威力。

为什么要说李群?李代数呢?因为这个他们是通向规范场论的必经之路。群里面有什么重要的群呢?一个是描述二维复矢量空间的转动群叫做SU(2)群,扩大一点就是描述三维复矢量空间长度不变的群叫做SU(3)群,SU(2)群是三个,Pauli矩阵,刚才已经提到了,如果是SU(3)群,除了单位群还多出8个矩阵,这8个矩阵就叫做Gell-Mann矩阵,这个人和什么东西联系在一起呢?就是很多科学爱好者喜欢的名字“夸克”,所以请同学们要知道夸克用这8个矩阵描述,才算知道夸克。
接着往下说。物理理论,一开始从观察、构造公式开始,但是学到高层次要知道我们的物理理论是从五个原理开始,比方说我们生活的社会里面作为一个中国人要爱国,爱国就是原理性要求。经典力学和光学就是最小作用量原理,热力学就是Carnot原理,这个原理容易讲清楚,就是凡不以干活为目的的传热都是浪费,或者不以做工作为目的的上班都是浪费,但是就是这样一个简单的原理,如果说不是工作中的传热都叫做浪费的话,一个热机工作就是两个等分过程或者两个绝热过程,这个过程本身叫做可逆过程。可逆这个活儿就得倒着干,我们从高温吸收热量,从低温释放出去,让机器做工,既然可逆,我就可以通过干活把热量从低温转移到高温处,人类就这样知道什么叫制冷了,从原理出发的科学威力是极大的。
相对性原理告诉我们物理公式和你观察的运动状态、用什么坐标系没有关系,跟参照谁没有关系,跟你的坐标系没有关系,你的物理定理要表达成这个形式,这就叫相对论。
除了这三个,学物理还要学一个 规范原理 ,什么叫做规范原理?来自于这个法国人,这个法国人许多人可能不知道,但是他爱人大家都知道,就是居里夫人。居里先生对物理学贡献有很多,请大家记住物理上凡是带居里的都是居里先生。居里先生给物理学带来最大的贡献,我个人认为就是她1894年的认识,他 发现描述存在的对称性数学对象应该作为物理学研究对象 ,刚才学的矩阵、转动数学描述,1894年居里先生说这本身应该是物理学的研究对象,从此开启了一个用对称性决定大自然里面相互作用是什么样的时代,理论物理开启了新的时代,固体物理开展了一个新的时代。
这个思想产生后,德国人尤其是哥廷恩大学的人如,Felix Klein、Emmy等等马上把群论用到科学上。静力学、固体物理、理论物理都用。这个地方有两个大神,一个是爱尔兰大学到哥廷恩工作的,一个是哥廷恩毕业的学生,这个人有多厉害呢?在哥廷恩1918年校内的一篇杂志,几乎涵盖了近代物理的大量内容。在1926年薛定谔写出量子力学方程,但是1928年Herrman Weyl写出了群论与量子力学,配上1931年Wigner群论及其原子谱量子力学应用,这些是让量子力学成为一门大学问两部重要的文章。
W eyl这个人学问有多大呢?Weyl 1928年写这个书的时候竟然知道中国成都文竹院,对称性这本书里面他插图第63就是成都文竹院的窗子,多少人去文竹院看不懂窗子里面的花样。
群论有多困难呢? 今天听讲座的朋友肯定说我没有听懂,为什么你没有听懂?因为一流物理学家都不懂,当这两位老兄把群论引到量子力学的时候,德国为中心的一流物理学家也是不懂的,他管群论叫什么?这些物理学家管群论叫做“群瘟”!所以我就很感慨,一流物理学家对于自己没有本事理解的学问一点也不免俗去贬低,请大家理解,这是正常的心理状态,当我们不能理解它的时候就贬低它。
在1918年,这时欧洲大瘟疫流行,流行到欧洲世界大战主要参加国都打不动仗了,1918年第一次世界大战结束了。但是它在科学上非常重要,1918年以前爱因斯坦已经发现了量子力学,狭义相对论,但是在1918年,德国哥廷恩有一个女老师写了一篇文章,这篇文章叫做 不变的变分问题 ,就是这篇论文 建立了对称性和物理的守恒律关系,让物理学跨入了一个新时代 ,是对称性决定相互作用的时代,我们经常说谁的文章有划时代的意义,这一篇就是有着划时代的意义。
规范场论的诞生
1918年,同样是从哥廷恩大学毕业的,在瑞士ETH任教的和爱因斯坦交好的数学家外尔开始研究物理,为什么?给广义相对论夯实基础。他的导师是哥廷恩大学的希尔波特,希尔波特年轻的时候接受了一个任务,给数论写综述文章,但是写的过程发现数论基础很不扎实,所以给数论再次奠定了个基础。外尔给广义相对论写综述,说爱因斯坦不懂数学,给爱因斯坦广义相对论奠定数学基础,这个结果就带出了规范场论。
这篇文章思想就是物理学由哈密顿原理来,函数积分作用量最小才是物理的现实,这就是哈密顿原理。她注意到让积分最小,就有特殊的对称性,特殊的对称性就是常见的时空对称性,这是爱因斯坦的相对论。她是学数学的,她说如果有别的对称性呢?比如 时空对称性就是能量守恒、动量守恒,这个大家都知道,她说如果有抽象空间对称性就能引出新的物理,这就是规范场论 。这个女士是学文的,今天有很多同志问我学文科能不能听懂,我们看看文科怎么创造出数学物理的。这女孩1882年出生,大学学外语法语、英语,毕业以后本要到中学当老师的,可是分配工作的时候不甘心当一位老师,跟她父亲说我还是喜欢数学,她爸爸本身是大学的数学教授,她说既然女儿愿意学数学,那就学。6年以后就到了1918年,这位女士给了我们划时代的数学成果,后来被称为近世代数之父。这个地方叫做抽象空间对称性,抽象空间对称性是什么东西?日常生活里面有,只是你不注意而已。
给大家看一只小虫子,很漂亮,叫做 “圣诞树虫” ,仔细看它是螺旋的,但是这两粒在一起的时候一定是相反方向旋的,你明显能够看到时空方面的对称性,一个是左旋一个是右旋。它有没有抽象空间对称性呢?有,颜色,赤橙黄绿…假如七种颜色,这就是七维空间对称性颜色。


可能有人认为颜色这个东西也是我们眼睛看到的,不算抽象对称性,但是某种意义上颜色就是 抽象空间对称性 ,学量子物理的时候给夸克分类的时候用的就是颜色,还有量子色动力学。如果这个不算抽象空间对称性,那么还有一个抽象空间对称性,一它的很深,就是这对圣诞树虫一定是一公一母。知道如何描述它的时空对称性就是相对论,知道如何描述抽象空间相对论,那个就叫规范场论。
中国话里面规、范、模、具早就都有,它为什么在物理上重要呢?比如大家都熟悉的温标,对于温度你是可以给它不同的标度,但是不管标度怎么给,不可以违背物理定律,就是各种值高的东西,一定是往热量低的地方流,只要这个物理不错,你给出的温度标就都是合理的,这就是标度的问题,所以规、矩、模、范跟这些东西都有关系。原来说买钱不买范,这是做钱的范,是国家的,不能弄一套在家藏着。但是学物理的正好相反,是买范不买钱,因为你买钱各种各样现象太多了,但是理解它的范,理解理论最深的骨架,这叫学物理。
规范场论中的重要意义
什么叫 规范自由度? 做微分的时候知道,一个积分结果等于某个函数,但要加一个常数,这个常数不影响这个方程,这个叫做规范自由度。经典力学里面Euler-Lagrange方程,随便加上一个函数对于时间的微分,也都不影响这个方程。这是大家都熟悉的一个事实,可是又有人想,既然这个东西有这样一个自由度,随便加上这个函数,方程自由度都不变。那么反过来想,某一个东西随便加上什么样的函数不变的,对它意味着什么?这就是 规范场思想 ,意思是当你享受某种自由的时候,其实它同时意味着某种限制?这就是规范场论最核心的思想。大家工作的时候,如果领导说由你全权处理,充分自由,你千万别把它理解为充分自由,这个特殊的自由就意味着特殊的约束,这就是规范场论深刻的思想。大家一定要记住这个反向思维,而特殊的自由必然是意味着特殊的要求。
举个简单的例子,比如硬币正反面,哪个叫正面,哪个叫反面?没有关系,约定好了大家都认可就可以了。但是我们一般认为它的约定规定1是正面,2是反面的话,换一个地方它还是1是正面、2是反面。规范自由度可以是局域自由度,就是这两个硬币规定1是正面,另外一个地方可以规定2是正面,这个也不影响物理, 这个就叫做规范自由度的局域自由度 ,也就是我们说的十里不同俗,你们这个村规定一定是正面,我们村一定规定是背面,但是都不影响经济、不影响花钱,这是规范自由度,这个自由度一些年龄大的人很能理解,就是当年的地方粮票,每个省每个市都发自己的粮票,你的粮票允不允买细粮都是各地方规定,你的规定不影响我的。
规范自由度有哪些呢? 有一个简单的例子就是圆柱,绕它的轴整体转一个角度的话,不管转多少角度它还是那个圆柱。但是设想你把圆柱切成不同的薄层,每个薄层随便转成不同的角度看起来也还是圆柱,这个转动的角度是局域的,选多少度跟别的地方没有关系。对于球壳也是一样的,球壳可以有两个独立的角,转过来还是球壳,把球体分成不同的球壳,不同的球壳独立转过来两个角这还是一个球,这就是规范自由度,从这个角度去看,我们可以发现电磁理论正是有这样一个规范自由度的。


对规范自由度来讲,如果你对它加一个规范后,它就能针对特定的规范有一个特定的形式,所以既然有这个规范自由度,我们就要充分利用这个自由度,加规范看变成什么样子,变成不同样子的方程。但是它的样子不一样就能看到不同的物理,比如我们的电磁学方程组,当你选择Lorenz规范的时候,它有一个自由度,你现在用它限制自由度的时候,方程就变成了琴弦震动的方程,于是人们猜测电磁这个现象能够产生电磁波?既然电磁波在这个地方对应速度,这个速度算出来以后发现和光速差不多,难道电磁波是光?光速有两个不同的参数计算,它没有参照系,这是狭义相对论最基本的原理。公式的变化具体过程可能一天都介绍不完,大家知道电磁学是规范的理论就行了。
我们知道引力是规范理论,引力的规范在哪呢?就在于空间是由能量、动量、张量决定的 ,但是能量、动量守恒对应的是平移部分,而时空真正的对称群大的很,说明这里有大量的自由度。同时间,微分几何还有另外一条路径的发展,微分几何另外一条路径发展来自于一个非常重要的人,叫Tullio Levi-Civita。为什么要讲这个人呢?当年爱因斯坦要发展广义相对论的时候,最终决定要用数学。而爱因斯坦正是找他教学了意大利语,爱因斯坦创立完广义相对论,他从微分几何的重要奠基人,成为广义相对论的重要专家。我为什么说这些呢?尤其是做学问的,不管这个世界上谁需要你帮助,请大家记住一定要去帮助别人,帮助别人的过程是你在做事情的过程,收获的不是那个人的感谢,是你做这个事情过程当中的所得。
但是这一点要跟大家强调清楚,关于引力的微积分方程, = 里你看这个表达式,和刚才学的一元二次方程方程结构是一样的,是x=c,与bx=c这两个东西怎么融合在一起的问题。而引力与电磁场的规范场论,与解决把这两个东西加到一起的问题,本质上是一样的,差别在一个是微分的,一个是实数的。
所以有人尝试将矢量平移和内积的表示方式进行联络,对应不变量正好是电磁学方程,所以带来一个重要的认识, 电磁学不是独立现象,是引力伴随现象 ,就是苹果掉到地上,砸到头,这是引力现象,而摩擦生电,或者电火花发光,这些电磁现象竟然是引力的伴随现象。
所以,在1918年发表的一篇文章,里面第一次使用了“规范”的概念。我再提醒大家,规范与校准、校验、定标,这些词都是联系在一起使用。也就是要给这个称上加定盘心,告诉你这个地方的读数该是多少。这个标准的秤锤,但是秤钩有两套,所以上边表示几斤的标度也有两套,而且最重要的从这儿一定是越来越细,不能是等粗,而秤心也不是等间距的,这里面涉及的学问就是物理学最深刻的学问,请大家千万不要小看物理量校准与测量,这才是最深刻的学问。
我认为,说得清楚中国杠杆的原理,你就懂得物理的一半。给我们创造数学与物理的大神都在哪儿工作,看看庞加莱,他是数学全才,但他是铁路工程师,在法国的长度标准局。爱因斯坦给我们带来广义相对论、相对相对论,爱因斯坦在哪儿工作呢?他在瑞士伯尔尼专利局,为什么审专利能够做出相对论呢?因为那时候最重要的就是钟表校准的问题,而爱因斯坦就是考虑火车上的钟表与火车站的钟表,如何校准的问题,得出一个微分方程,这个微分方程的解就是电磁学的规范变换、洛仑兹变换,这是爱因斯坦成名的原因。而我们所谓的科普书里面永远不会说到这一点,你为什么不知道爱因斯坦的伟大,光看科普书,永远不知道为什么不知道一流科学家会接受专利局职员的工作。
再看,你不知道巴黎长度标准局到底有多大的意义,请看这一套东西,这是北斗系统,请问巴黎长度标准局与北斗系统有什么关系?北斗系统最上边最值钱的原子喷泉钟,原子喷泉钟的概念来自于巴黎长度标准局,你学会了原子喷泉钟,而人家这个地方产生概念,这就是我们科技要追赶的距离。

外尔将规范理论整理成一篇文章,有电磁场的时候从一点挪到另一点,长度有变化,这篇文章是爱因斯坦审稿,爱因斯坦说这个理论是不对的。为什么?如果这个理论对的话,原子性质就依赖于它经过的路径,原子波长是不同的,那么过两天原子就变的不一样。但是我们的世界不是这样的,原子是稳定的,原子波长是定的。爱因斯坦的审稿意见最后是:但是这篇文章的深度和理性是我们每个人都要充满敬意看待的,这审稿意见多么高情商。
可是,大家想象一下,像这么好的理论难道没用吗?谁来拯救他呢?拿什么拯救?后来这样的一个理论就被薛定谔、伦敦他们这些人拯救了。拿什么拯救呢?老量子力学与新量子力学。
第一个拯救的人是 薛定谔 。薛定谔是奥地利维也纳大学教授,当时在瑞士访问,这么好的理论哪能无视呢?他从外尔能量量子化的概念,发现外尔表达式有道理,他说很难相信这个量子化条件是偶然结果,而没有深刻的意义,他提出了修改因子γ的建议。1926年,得出来了量子力学基本方程,也就是“薛定谔方程”。

他写出量子力学方程,怎么证明对呢?要举一个例子,用来解氢原子的方程,一般的量子力学书都会告诉这个解是什么,大家看这个解算复杂吧。我当年学量子力学的时候背这个公式,有一天我看了原文发现,薛定谔虽然是维也纳数学物理教授,他也不会解。谁解的呢?就是刚才的规范场的人帮他解的。恰恰我们会发现就是薛定谔这两个方程救了他的理论,所以请大家记住帮同台僚就是帮自己,帮别人不是让别人付钱说谢谢,同事有一个值得帮的机会,帮的过程当中自己的提高与获得,那是你的收获。这个方程出来之后,当年,一个俄国人说,我们现在有薛定谔的方程,把薛定谔方程与电磁学规范场论放在一起,不就有电子与量子力学的电磁场理论了吗,这就是规范场论了。
一个叫 Fritz London 的人明确指出相因子的概念,路径不可积分,但是在每一点的规范尺度是唯一的。这使得外尔的理论包含了通往波动力学的逻辑之路。不可积因子同电磁理论联系没有问题,但是不能当作时空的尺度因子,而应该是当做波动力学的相因子。
外尔电磁学与引力的规范场论
规范场论不再往下讲了,接下来介绍更重要的: 外尔电磁学与引力的规范场论 ,1929年外尔又写了一篇长论文,Pauli先是讽刺,但是看他到写的长论文的时候,发现外尔写的非常有道理。Pauli理解了外尔思想之后,1933年在物理学手册上把论文表述很清楚,表述清楚到什么程度呢?清楚到不仔细的人,以为这个理论是他的。但是没事,这是规范场论,我们之前就知道引力是规范场论,这些东西虽然很神奇,没有带出新东西,新东西还在酝酿中,是什么呢?就是关于原子核里面的作用,原子核里面有质子中子,它们为什么待在一起呢?Pauli的同门海森堡提出了别的对称性,比如说同位旋,同位旋角度下看质子中子有对称性,是同一个矢量的两个分量等等。
我们用这些思想看原子核的话,会发现特别有趣的现象,刚才说同种正电荷靠的近,是强相互作用造成的。原子核里面有质子中子,质子、中子可能会跑出来,比如产生α粒子,这很好理解。可是从里面还跑出电子,电子哪儿来的,原子核里没有电子。这说明什么?质子中子电子有弱的相互作用。这里面还跑出光子,里面没有光,光的过程一定是在哪个过程产生的,因为光是电磁波,所以这个地方可能有电磁相互作用,所以我们可以判断原子核这么小的地方里面有强相互作用、弱相互作用,有电磁相互作用,我们相信一定有某种原因使得这些作用同时存在。

这中间有一个叫Oscar Klein的人,用五维空间的东西,把这套理论都发展起来,1938年,他用法语发表了文章,因此很少人知道他的研究。
接下来我给大家讲讲安徽省,有人老说江苏省是散装省,安徽倒不是散装省,分三块,通过淮河和长江的沿线划分,这三块是三个文化区。中国第一本物理书是明朝的方以智写的,家是安徽桐城。安徽凤阳有个人叫杨克纯,他在安徽淮阳县当中学老师,1922年他的长子在振宁出生,因为在振宁出生,所以叫杨振宁,1945年杨振宁到美国芝加哥大学攻读物理博士。1938年的时候,杨振宁先生在昆明读中学,他的父亲建议他阅读1937年出版的“有限群理论”,这个有限群理论将来出现在外尔的对称性书里面,1954年杨振宁先生的成名之作“规范场论”就是外尔的理论。我看这样的东西,总相信冥冥之中某些人的成就是前面安排好的。
谈论这个我不得啰嗦一句,什么样的人是著名科学家的问题,能把自己的姓进入到科学里面的。比如说,你的姓和某个理论、方程、概念绑定了,什么爱因斯坦相对论、诺德定律、欧拉方程、狄拉克矩阵、外尔旋量这是一类。第二类是你的姓被改造成了形容词,或者形容词做名词,比如说牛顿改成Newtonian,Lagrange改成Lagrangian,Laplace是Laplacian,Hamilton是Hamiltonian。杨振宁也被改成Yangian。还有最高水平是姓被改造了好,并且有小写来代替,比如Abel到abelian,用a来代表。杨先生的工作是什么呢?杨先生关于规范场论的工作体现主要是其在1954年、1974、1975年的工作,1974年的文章是最清楚的。具体的工作都列在下面。

杨振宁在做报告的时候,Pauli坐在最前排,我们都知道Pauli被称为物理学的鞭子,谁做报告都不客气。杨先生做报告的时候,Pauli说同位旋粒子质量问题如何解决呢?杨振宁先生说这个问题太难了,我们考虑了,没解决。Pauli说这算什么借口,但第二天他就明白了,对杨振宁先生的工作非常认可,第二天Pauli建议杨振宁先生看薛定谔的1932年的文章,薛定谔1932年正式把相对论与狄拉克电子结合在一起,写了很了不起的文章。课本中只讲薛定谔方程,这其实不够全面,在整个物理学史上还有很多重要的人。
后来规范场论谁的表述最好呢,是同时期的哈佛大学学生肖恩,在1954年他的博士论文中将规范场论论述的特别好,最简单的指数函数,把变量扩展成矩阵,扩展成2*3矩阵,扩展成2*2矩阵,该是什么?这是Shaw的博士论文研究的内容。还有一个没太被注意的日本人,叫内山菱友,他1954年到了普利斯顿研究所,注意到杨振宁先生的工作,才知道自己的工作多么重要,所以赶紧又写了论文,并引了杨振宁先生的论文,文章在1956年发表,人们都认为他的工作比杨先生晚了很多。但是其实内山的工作由简单的李群推广到广义李群的情形,构造了广义规范理论,而且条理特别清楚,我建议读专业理论的博士,一定要读内山菱友的这篇论文。由于这篇论文是用日语发表的。因此知名度很低,内山菱友的照片都很难找,但是他是特别了不起的日本物理教育家。
四种基本相互作用,强、弱、电磁、引力相互作用,规范场论都适用,而强相互作用、弱相互作用、电磁相互作用它的对应的群,SU(3)、SU(2)、SU(1)都差不多,所以它们统一比较方便,而引力虽然也是规范场论,但是它的规范比较复杂,是庞加莱群。到目前为止还没有引力和其他三种相互作用的统一,统一就是关于粒子的标准模型,什么叫做统一呢?就是一个规范群中一个场是不同的粒子场的不同分量,这是非常了不起的理论。

由物理学发展产生的启发
这个地方给大家提一个非常重要的事情,学问构成很重要的就是扩展。有学问,要有能力在平面扩展,以及更深层次的扩展,和往下深挖扩展。对于新的知识接受不是自然而然的接受,很多时候是不得已,摁着牛头喝水才接受。今天讲的这些事情,从物理说到实处,以至于引到一元二次方程、狭义相对论,在此过程中都对新的知识都不是自然而然的接受,而是把路走到这个地方不得已接受。谈到工作的时候,我特别想说,刚才我们说了虽然有些地方升教授强调独立工作,但是真正创造过程中,真正层次上互相有帮助启发的合作是非常重要的。
关于我过去三年里面讲的 量子力学、相对论和规范场论 ,我请大家记住它产生于瑞士同一个小镇子,苏黎士,这个小镇上聚集着外尔、爱因斯坦、薛定谔,这三个人都是同时对规范场论、量子力学有贡献的人,薛定谔当时在苏黎士大学。爱因斯坦毕业于Eidgenosse,外尔在这所大学里面工作,今天随便把这所大学翻译成瑞士联邦理工就不能理解这个学校的意思,这个学校开头叫Eidgenosse,就是汉语中志同道合的人,这个学校名字会让你有所感触。这三个人他们在一起,凑到一起带给我们这么深刻的理论,也意味着他们是“同志”。这个时期在这个学校工作的,还有闵可夫斯基,他对于相对论发展也很重要。
写到这儿的时候我特别感慨,什么是天才,天才不过是受到合格教育的正常人而已,包括在座各位,包括线上那么多同志。非常抱歉和可惜的是我们都没有受到正常教育。第一个,科学巨擘的成长需要什么条件?第一,生来是那块料子。第二,他碰巧生在有教养的人家,比如杨振宁先生,父亲就是美国芝加哥大学数学博士,后来送了他去美国芝加哥大学读物理博士。第三个是长在有文化底蕴的地方。第四,年轻时要上算的上大学的大学。最后一条就是成年后身边有几个可以相互砥砺的杰出的朋友同侪,一个人在成长过程中,凑齐了这几条可以说以后前途不可限量。
德国一个小镇叫哥廷恩,哥廷恩有这么一句话,说哥廷恩之外没有生活。哥廷恩大学厉害到什么程度?高斯、韦伯、黎曼、狄里希利、希尔伯特、克莱因、闵可夫斯基、诺特、外尔等,这些都是这个地方的。我们都知道黎曼只活了40岁,做了15年数学,有一种评价,在19世纪,黎曼一个人做的数学占当时数学界一半的贡献。而且黎曼是学文科的,他到19岁的时候还弄不清楚自己要学语言还是神学,结果在大学里面遇到了高斯老师,老师说你应该去学数学,于是他到柏林大学去学数学。这就是一个好大学最重要的标配,就是大学里面要有巨擘, 不是你成为那个老师的学生,而是你在校园里面能够遇到他,能够赶上他,能有那种崇高的理念 ,这就足够了。
许多人读物理,为什么一直读的不对?就是数学学的不对,经典电磁力学、电动力学、数学基本都是那三个人创造的,这三个人中,Hermann Grabmann是德国中学老师,又是学文科的语言学家,他创造了内机、外机这些概念。再说Clifford,Clifford享年只有34岁,但是Clifford代数以及整个相对论思想, 包括引力是物质产生的,而物质不过是弯曲空间里面的涟漪,以及引力是以弯曲的波的形式传播 这些话都出现在Clifford的书里面。在赶海捡贝壳时,由于落潮的时候整个沙滩上都是起伏的,判断不出哪个地方有东西,所以先用工具让沙滩平变,但是我们说物质附近的空间是弯曲的,引力是弯曲波形式,所以捋平的时候,发现有些地方无法弄平,那个地方就是有物质的,有东西的。这是日常生活中简单的智慧,但是蕴含了最深刻的道理。
请大家注意,在学相对论、规范场论这种东西时,一开始是很难,但是你学着学着慢慢感觉到它有道理,而且很深刻,就可以为你带来喜悦,大概就能学下去了,这也是我学它的经验。
关于经典力学、方程,请大家一定要读这些经典,关于规范场论写的最好的就是规范场论 《黎明》 的一本书,我学习过程中,从一元二次方程到规范场论,我都会在一本小册子里面记笔记。再提醒大家,如果读书都读那些自己也不懂的人写的书,你会越读越孤独的。所以读书有一个窍门,当你读一个东西读不懂的时候,最正确的做法不是书读千遍其意自现,是把这本书扔了换一本,因为总有一个人能够把这个问题讲明白,换一本书,而不是在那个地方死扣,因为那个人你看不明白,道理再讲也会不明白。

这就是我给大家的建议,要读厚重的书,学深刻的知识,做从前不会的事情。有一句话在欧洲哲学里面被浓缩成:“No time to be brief”,这句话特别难翻译,就是你有时间干琐碎的事情,但是没有时间干精简的事情,我也尝试着翻译为 “人生再难,不可以草草地、匆匆地辜负” 。
结语
经过三年,我们把理论物理三座大山, 规范场论、相对论、量子力学 ,都介绍过了。但是这些学问其实论难度、内涵思想都远远赶不上经典的物理,经典的物理才是思想最多的,是数学物理创造的东西, 经典物理是地基性的东西 ,其他是顶层建筑式的东西,所以真正的学问应该在经典。如果有机会,我们把经典力学、热力学、电磁学、电动力学人这些知识一点一点从平地建立起来。电动力学是我一直很害怕的东西,它里面的内容太深了。这也是为什么在过去三年里面没有讨论它的问题。
给大家看一张图,问“毛驴拉磨”为什么要蒙眼睛?如果大家学过广义相对论就知道,在这样的空间里面,圆才是最短的,圆是直线,所以给毛驴蒙上眼睛,就是让毛驴正确的理解认识到圆也是直线。所以我今天讲的这些东西,大家觉得太难了,不懂,怎么接受它呢?就是把眼睛一蒙,世界就好理解了。你要有这种态度。学数学、学物理要用什么呢?要用你的内眼看它,有两个大神,一个是Euler,后来眼睛几乎看不见了,一个是大神庞加莱,他一辈子眼神都不好,眼神不好的人有内眼,有计算能力,躺在床上,可以在脑子里面把论文推导出来,这恰恰是其他人做不来的事情。

我这个讲座之所以讲那么深刻的东西,不是说能够让年轻人都看懂,因为我自己也不懂,我自己不懂也不能完全讲懂,但是我希望你们听说过。我特别希望有一天在这片土地上成长起来的,从小愿意学习深刻学问的少年,也能够像杨振宁先生,像今年95岁的李政道先生一样,为人类的数学和物理做出不可磨灭的贡献。
你们听说过这首歌吧?《Santa Lucia》,我嗓子不会唱歌,但是给大家稍微哼一下,这首歌是专门到诺贝尔奖获奖者房间里面唱的意大利民歌,我希望这首歌将来能够派得上用场,希望年轻一代有人得诺贝尔奖。
感谢大家的捧场。谢谢大家!
编辑:Norma、荔枝