在阅读此文前,诚邀您请点点右上方的“关注”,既方便您进行讨论与分享,还能及时阅读最新内容,感谢您的支持。
月球是地球目前唯一的天然卫星,虽然至今构造活动仍未完全平息,但总的来说近三十亿年在月球表面未发现显著的火山、构造运动,在很大程度上保留了形成时期的地质特征及物理过程,进行月球热演化模拟工作可以为研究太阳系其他类地行星的内部演化史提供启示。

图1 不同纬度的月球日变化温度图 (Paige, Foote et al., 2010)
表面温度是月球研究中一个非常重要的热物理参数,是月球热演化模拟的一个基本边界条件,影响着月球内部的热状态和热演化。与地球不同的是,月球为无大气行星,表面气压仅为10-14大气压,大气活动几乎是不存在的,所以月球表面的温度主要是由太阳辐射接收和月球内部能量释放两部分因素主导,而接收的太阳辐射能量很大程度上会受到太阳入射角的影响。
同一个地点早晚正午会差很多,极区和赤道的平均温度又会相差很多。月球赤道平均温度约为206 K,两极平均温度约98 K(图1)(Paige et al., 2010)。在以往的行星热演化模拟中,学者一般将地表边界温度设为常值(Spohn, 2001; Stegman et al., 2003; Shearer et al., 2006; Breuer et al., 2010; de Vries et al., 2010; Dwyer et al., 2011; Laneuville et al., 2013, 2014; Zhang et al., 2013, 2017; Evans et al., 2014; Boukaré et al., 2018; Li et al., 2019),对月球这类无大气行星,极区和赤道表面温度相差100 K以上的纬度差异是否可以忽略,尚未见到文献进行讨论,需要认真考察后才能给出答案。
本文在月球热对流演化历史的模拟中,考虑月表温度边界条件的纬度差异,研究无大气行星表面温度对于内部热演化的影响。作为初步探索,仅考虑有限元二维球壳的对流模拟。

月球表面温度
月球热状态主要是由所吸收的太阳辐射和内部热流两部分控制,表面温度变化由纬度和月球昼夜周期变化等因素来决定。月球的自转周期为27.32天,平太阳日日长是29.53天,表面风化层的密度和热导率较低导致月表呈现出高度绝缘性,月表大气稀薄不足以缓冲地表温度。正是由于月球较长的自转周期、表面高度绝缘导致只有很小的一部分热量传到内部以及表面大气稀薄几乎不存在大气活动,月球日间的辐射温度与白天月球接收的太阳辐射通量大致保持平衡。
而白天月球接收到的太阳辐射量很大程度上受到入射角的影响,不同纬度地区由于入射角不同接收到的太阳辐射能量差异很大。赤道地区太阳高度角最大,接收的太阳辐射能最多,温度较高。随着纬度的增加,太阳高度角逐渐减小,接收到的太阳辐射能减小,月球表面的温度也随之降低。

由于没有大气在不同区域间流动进行热传输,月球表面的昼夜温差是非常大的。白天月表接收太阳辐射能量温度升高、随太阳高度角显著变化;夜间储存在浅月表的热能是月球的主要热源,表面温度主要受到近地表风化层物理性质的影响,呈现出比较均匀的低温。
对于全月温度分布规律,前人作了很多研究,Pettit和Nicholson(1930)认为月表温度与月球纬度余弦的六次方根成正比(Pettit and Nicholson, 1930);Racca(1995)温度模型则指出月表温度与经纬度余弦呈指数关系(Racca, 1995);Lawson等(2000)在研究中提出月表温度与太阳辐射入射角余弦的四次方根成正比,因此可见月球整体温度呈现出较高的纬度相关性(Lawson et al., 2000)。
Vasavada等(1999)提出一种月球表面温度计算模型,以步进的有限差分方法求解热传导方程,计算结果表明无大气行星表面温度随纬度降低,其中水星两极和赤道近地表温度相差180~290 K左右,月球两极和赤道温度相差150 K左右(Vasavada et al., 1999)。Fang和Fa(2014)根据嫦娥二号的微波辐射数据,选取高频通道的昼夜平均亮温,依据月球表面风化层内的双线性特征,反演了月球表面和近地下的平均温度,得出结论地表和地下的平均温度均随纬度的增加而降低,并且在高纬度地区,平均温度下降幅度更大(Fang and Fa, 2014)。
Hurley等(2015)提出了一个近似函数来表示月球表面温度与纬度、当地时间的相关关系(Hurley et al。, 2015)。Williams等(2017)基于美国月球辐射计实验计算得到的月表温度结果显示,月球纬向平均温度赤道比两极高约111.5 K(Williams et al., 2017)。根据上述研究,月球表面温度具有明显的纬度依赖性已经在学界达成共识。

除了计算月球表面温度物理模型外,还可以通过绕月探测卫星直接测量得到月表温度分布规律。美国在2009年6月发射月球勘测轨道飞行器LRO(Lunar Reconnaissance Orbiter),其中搭载的Diviner辐射计的任务就是绘制全月昼夜表面温度图,确定月表岩石丰度及对硅酸盐矿物制图等。自2009年7月5日之后, Diviner一直在持续运行,获得了涵盖整个纬度、经度、当地时间和季节全部范围近一万亿辐射测量数据,系统地绘制了月球温度分布图。
根据Diviner的测量结果,本文截取了2009—2017年之间的全月温度数据,计算得到每0.5个纬度的平均最高温度、平均最低温度和平均温度,从实验中也可以看出月表温度具有明显的纬度依赖性,我们选取纬度平均温度作为外边界条件。其中月球赤道平均温度为215.5 K,两极平均温度为93.91 K,相差121.59 K,与Williams的计算结果基本吻合。
上述温度是Diviner辐射计实验测得的月球表面月壤的平均温度分布,在下述的研究中我们的模型最上层为月壳,并未建立月壤层。2014年曾有学者做过月表近地下的温度反演(Fang and Fa, 2014),结果显示月壤层以下的温度也具有明显的纬度依赖性,与实测结果的趋势一致。因此我们选用Diviner实测的纬度平均温度作为月表的边界条件,研究表面温度对于月球内部热对流的影响。

月球热对流计算原理
本研究实现二维无限普朗特数的月幔对流,使用ASPECT开源代码完成月球热对流的数值模拟(Kronbichler et al., 2012; Heister et al., 2017)。在热演化模拟中,月幔为底部和内部共同加热的黏性流体。其中,月核冷却释放热量从底部加热了月幔,同时月球内部放射性元素生热完成月幔的内部加热。
为了简化计算,采用 Boussinesq近似,仅考虑动量方程的浮力项中密度的变化,其他方程与其他项中的密度均保持恒定。因为月幔的耗散系数较小,月球内部的耗散与绝热加热可以忽略不计。月球热演化的无量纲化控制方程如下(Zhang et al., 2013):
∇⋅u=0, (1)−∇P+∇⋅(η ε˙)−Ra⋅T⋅er=0, (2)(∂∂t+u⋅∇)T=∇2T+Q, (3)∇⋅u=0, (1)-∇Ρ+∇⋅(η ε˙)-Ra⋅Τ⋅er=0, (2)(∂∂t+u⋅∇)Τ=∇2Τ+Q, (3)
式中,u为速度,P为月幔内部除去静水压部分的动压,ε⋅ε⋅为应变率张量,η为黏滞系数,er为径向矢量,T为温度,Q为月球内部物质的生热率,t为时间。因为月幔中剪切应力和应变率数值较低,因此扩散蠕变主导了月幔流变学,黏滞系数的计算公式如下:

η(T)=η 0exp(ERT−ERTref), (4)η(Τ)=η 0exp(ERΤ-ERΤref), (4)
其中,η0为参考黏滞系数,Tref为参考温度,E为有效活化能,R为气体常数。假设干橄榄岩主导月幔流变学,则1600 K下的参考黏滞系数为1021Pa·s.Ra为瑞利数,计算公式如下:
Ra=α 0g 0ρ 0ΔTD3κ 0η 0, (5)Ra=α 0g 0ρ 0ΔΤD3κ 0η 0, (5)
式中,α0为参考热膨胀系数,g0为月球表面重力加速度,ρ0为参考密度,ΔT为月幔初始温度降,D为月幔厚度,κ0为参考热扩散系数,η0为平均参考黏滞系数。

地震学是了解行星内部结构的主要方法,而对于月球内部结构的研究主要依赖于阿波罗计划在1969—1977年之间采集得到的月震数据。在本研究中,月球外径为1740 km, 内径为400 km, 包含40 km的月壳,余下为月幔。
月球上表面温度边界采用图3给出的纬度平均温度,为了简化计算将核幔边界设为恒定温度1900 K(Spohn, 2001),该选择参考了铁合金在该压力下的熔点。速度边界设置为表面无滑,核幔边界自由滑动。
关于初始温度的选择,据国外学者对于阿波罗计划返回的月球岩石样品的分析,月球起源于一个较高的温度(Konrad and Spohn, 1997)。模型假设月球的700 km月幔处于完全熔融状态(Laneuville et al., 2013),温度为橄榄岩的固相线,700 km以下至核幔边界,近似于恒温绝热状态,40 km的月壳层温度线性变化。
表1 月球热演化物性参数表(Spohn, 2001; Stegman et al., 2003; Laneuville et al., 2013, 2014; Zhang et al., 2013; Evans et al., 2014; Li et al., 2019)
|
参数 |
参数描述 |
值 |
|
Ro |
月球外径 |
1740 km |
|
Ri |
月球内径 |
400 km |
|
Dc |
月壳厚度 |
40 km |
|
g0 |
重力加速度 |
1.63 m·s-2 |
|
k |
热传导系数 |
3 W·m-1·K-1 |
|
α0 |
热膨胀系数 |
2 ×10-5K-1 |
|
T0 |
参考温度 |
1600 K |
|
η0 |
参考黏滞系数 |
1021 Pa·s |
|
ηmax |
最大黏滞系数 |
1027 Pa·s |
|
κ0 |
参考热扩散系数 |
10-6 m2·s-1 |
|
ρ0 |
密度 |
3400 kg·m-3 |
|
cp |
比热 |
1000 J·kg-1·K-1 |
|
E |
活化能 |
1 ×105 J·mol-1 |
|
R |
气体常数 |
8.314 J·mol-1·K-1 |
在0~10 GPa以内,橄榄岩的固相线可根据下述公式拟合(Hirschmann, 2000):
T(℃)=aP2+bP+c,Τ(℃)=aΡ2+bΡ+c,
其中a=-5.104,b=132.899,c=1120.611,P为压力,单位为GPa。根据上述公式,结合月球密度3400 kg·m-3,重力加速度1.63 m·s-2,计算得到月球固相线(初始温度)如图5所示。

图5 月幔橄榄岩固相线与月球热演化初始温度图
假设45亿年月球已经分化完成,月幔的放射性元素浓度要远远低于月壳。月球的放射性元素主要包括K、Th和U三种 ,其中三种元素的浓度之比为Th/U(3.8)和K/U(2500)(Taylor, 1982)。基于前人对月球地壳岩石、月球γ射线光谱和月球热流测量分析,原始月幔U元素的丰度估计在20~35 ppb之间(Hood, 1986),本文取24 ppb, 具体数据见表2。
表2 放射性元素参数表(Evans et al., 2014)
|
U |
Th |
K |
|
|
月幔含量(ppm) |
6.8×10-3 |
25.84×10-3 |
17 |
|
月壳含量(ppm) |
0.24 |
0.912 |
600 |
|
生热率(W·kg-1) |
9.46×10-5 |
2.64×10-5 |
3.48×10-9 |
|
半衰期(Ga) |
4.47 |
14 |
1.25 |
计算结果及分析
月球热演化模拟时间开始于45亿年前,热演化的特征主要为大规模岩石圈的向下生长,随着月球的冷却,岩石圈增厚,较冷的岩石圈部分黏滞系数大,不参与对流。本研究共采用了四组模型(表3),A组为恒定黏滞系数,B组黏滞系数随温度变化。Model A1与Model B1采用纬度相关的平均温度作为月表边界条件,Model A2与Model B2的上边界条件为恒温250 K,以对比月表温度对于月幔对流的影响。
表3 热演化模型表 导出到EXCEL
|
月表边界条件 |
黏滞系数 |
|
|
Model A1 |
纬度相关温度 |
常黏滞系数 |
|
Model B1 |
纬度相关温度 |
随温度变化 |
|
Model A2 |
恒温250 K |
常黏滞系数 |
|
Model B2 |
恒温250 K |
随温度变化 |
对流形态
Model A1与Model A2黏滞系数恒定,A1组外边界条件为纬度相关温度,A2组外边界条件为恒定温度250K,除月表温度边界外其余参数保持一致,月球内部温度变化图如图6和图7所示。
常黏滞系数A组的模拟结果显示,月表边界条件会在演化前期显著地影响月球内部对流。在开始演化200个百万年后,A1组在两极低温区域形成明显的下降流,冷的地幔柱在经过100 个百万年后下沉到核幔边界附近,与核幔边界较热的物质进行能量交换,内部热物质上升,形成多个对流环。
A2组则是在演化开始的一段时间内保持均匀向下冷却,200个百万年后开始明显对流,又经过一百个百万年下沉地幔柱到达核幔边界与周围物质进行热交换,形成了多个对流环,此时不断有冷的下降流从月表进入到月球内部。500个百万年后,月球内部较冷,热物质上升在上月幔形成部分熔融物质。

在900百万年的演化后,两组模拟对流加剧,月球内部热量快速散失,整体月球呈现较冷的状态。恒温月表边界条件相对于纬度相关温度的模拟,在前期演化计算中表现出随机性,浅层下沉地幔柱会出现在不同纬度;但在月表温度随纬度降低的模型A1中,在月球内部前期的热演化中会保持对称形态,更倾向于从两极产生冷的下降流、赤道形成上升地幔流进行热量的交换,这是与均一温度演化最为不同的一点。
在热演化模拟中使用常黏滞系数可以较为清晰地看到月表边界条件对于月球内部热状态的影响,但常黏滞系数的模拟不符合月球实际情况,模拟中选取全月黏滞系数为1021Pa·s-1使月球整体冷却过快不利于后续更多的研究,因此还考虑了黏滞系数随温度变化的模型B1与B2组,
Model B1以纬度相关温度作为月表边界条件,演化开始,月球自上而下冷却,低温区从月壳往下慢慢增长;在200个百万年后,开始形成明显的四个对流环,赤道的热柱上升,而两极会有较冷的下降流,核幔边界向上输送热量,此时月幔部分温度会略高于核幔边界,月幔底部和偏上的部分在进行着热量交换。

图6 Model A1温度演化结果

图7 Model A2温度演化结果
经过500个百万年后,月球内部以两极为中心在高纬度地区形成了四个小尺度的对流环。月球表面温度受太阳入射角的影响,且纬度越高受入射角的影响越大,低纬度地区平均温度变化较为平缓,高纬度到极区温度梯度变大,这一点在图2的平均温度图中也有体现。纬度70°的平均温度为164.8 K,而两极的平均温度为93.91 K,温差过大可能是高纬度地区产生小尺度对流的原因。
在600个百万年后,开始在早期四个对流环的基础上生成新的对流,下降流从中纬度地区生成,这可能是因为高温月幔物质在上升的过程中,不断地放热,与周围温度较低的物质发生热交换,温度降低后又降落,整体对流加剧,形成了多个稳定的对流环。
演化进行到1.5亿年后,基本又恢复到四个对流环的稳定状态,直至演化结束,依然保持上升流从赤道升起,下降流至两极回落,平均温度最终下降至1243 K。造成这种现象的原因就是月表温度差异,在模型设置中,两极温度要低于赤道温度很多,在月球内部热演化中两极会生成较冷的地幔下沉,驱动月球内部热对流。

图8 Model B1组月球内部温度变化结果
图9为B2组月球内部的温度变化图。当设置月表温度边界条件为恒温时,在演化开始200个百万年后月球内部开始对流,与B1组结果不同的是,B2组月球并没有在赤道、两极形成较为对称的对流形态。截取500个百万年时的温度图像显示,此时月球浅表形成三个较冷的下沉地幔柱,与核幔边界热的上升流形成了六个对流环。在600个百万年后,月球内部对流开始加剧,在原来的基础上开始生成新的较冷下降流,月球内部的能量交换速度加快。30亿年的演化过后,月球内部对流逐渐趋于稳定。45亿年热演化结束后,月球内部稳定保持在四个大尺度的对流环,但与B1组上升、下降流的位置并不同。
从以上四组的结果中可以明显看出,月球温度边界条件设置为纬度相关温度时,会在很大程度上影响到月球内部的热对流演化。在赤道温度较高、两极温度较低的月表边界条件下,月球会在两极部分形成较冷的下沉地幔柱,在赤道形成上升地幔柱进行月球内部的热量交换。这种边界条件影响下对称形式的对流图像,在月球演化早期表现得最为突出。
可以看出,选取纬度相关的温度外边界条件时,由于表面温度较低,月球内部的冷却速率是较快的,B1组的月幔平均温度始终高于B2。

岩石圈厚度
月球内部热演化的重要特征之一就是岩石圈的不断向下生长。岩石圈覆盖在对流月幔之上,包括月壳和一部分由于过冷黏性过大不参与对流的月幔。以1473 K作为岩石圈的底界,Model B1结果中岩石圈的厚度在300~800 km之间,其中赤道岩石圈厚度在370 km左右,两极岩石圈最厚的区域为800 km左右,最大差别可达到430 km。由于两极的温度较低,更易形成下降地幔流,俯冲的冷物质对流传输使得同一深度极地区域温度较赤道低,因此极地部分的岩石圈厚度更大。
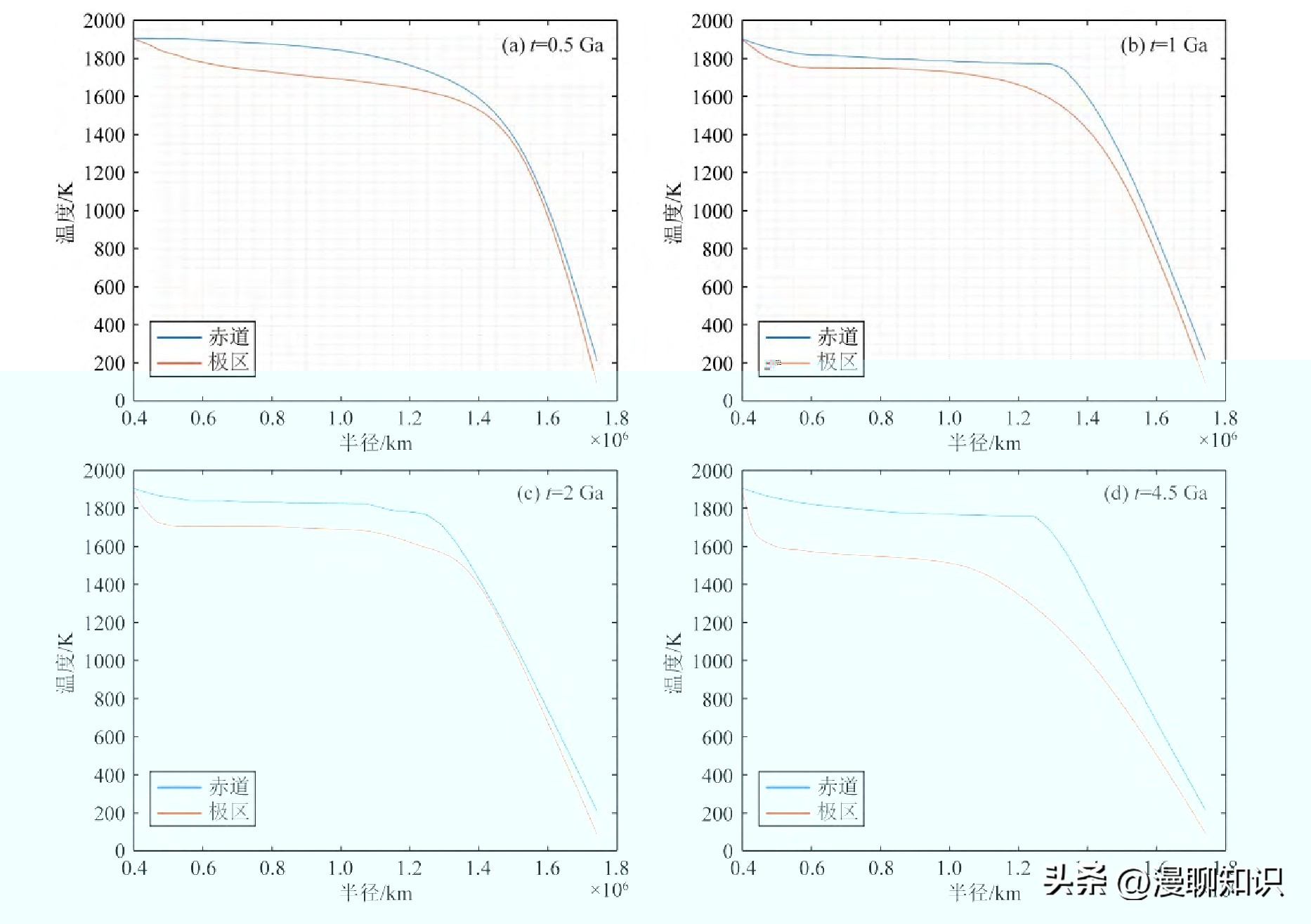
图11分别绘出了四个时间点的岩石圈厚度。在开始演化至500个百万年时,月球基本处于均匀冷却的状态,赤道与岩石圈厚度基本相同。45亿年的演化结束时,高纬度区岩石圈厚度明显高于赤道部分。图12为四个时间点温度随半径变化,可以看出同等深度下赤道部分的温度要明显高于极地区域。
在500个百万年时,极区产生较冷的下降地幔柱,冷物质俯冲向下运动,造成其内部冷却较快,温度低于赤道部分,但浅表部分与初始温度条件大致相同,两个区域没有产生较大温差。随着演化的进行,可以看到极区与赤道在同一深度下温差越来越大,在经过45亿年的演化后,赤道岩石圈厚度要比极区薄400 km以上。图13为Model B1组黏度随半径变化图,可以看出在同一深度,月球赤道的黏滞系数较极区是相对较低的。

图9 Model B2组月球内部温度变化结果
热流密度
将B1组得到的温度演化结果导出,计算月表的热流密度差异,列在表4。月表热流密度是指单位时间内月球内部向月表单位面积输送的热量,是研究月球热演化历史的一个重要物理量。
Langseth等(1976)估算月幔热流为4 mW·m-2,是由月球内部长期的冷却降温与放射性元素生热两部分控制。Jaeger提出假设月球由球粒状陨石构成(Jaeger, 1959; Rasmussen and Warren, 1985),陨石与地球平均产热率相同,根据地球产热率估算月球的热流值为9.6 mW·m-2。
目前为止,月球热流密度的实测数据仅来自20世纪70年代Apllo15和17着陆点开展的月表热流实验,校正后的热流值为14 mW·m-2和21 mW·m-2。Warren和Rasmussen(1987)在Apllo实测热流数据的基础上进行了局部热流聚焦效应的修正(Rasmussen and Warren, 1985; Warren and Rasmussen, 1987),计算得到全月平均热流为12 mW·m-2,我们热演化计算得到的现今热流密度结果与这一值相差不大。
表4 月球表面热流密度(单位:mW·m-2)
|
200 Ma |
500 Ma |
1 Ga |
1.5 Ga |
2 Ga |
|
|
赤道 |
29.232 |
19.53825 |
15.03375 |
13.20525 |
12.00075 |
|
极地 |
32.17035 |
21.58035 |
15.9651 |
14.35485 |
13.4301 |
|
2.5 Ga |
3 Ga |
3.5 Ga |
4 Ga |
4.5 Ga |
|
|
赤道 |
11.31375 |
10.968 |
10.75875 |
10.5525 |
10.347 |
|
极地 |
12.51435 |
11.4651 |
10.6416 |
10.05435 |
9.56085 |

图11 受月表边界条件影响的岩石圈厚度
月表热流密度正比于月温梯度,而假定岩石圈内温度线性变化情况下,粗略的说,月温梯度q(q=ΔT/L)与岩石圈厚度L以及岩石圈底面与月表的温差ΔT有关。
从表4中数据可以看出,在月球热演化的初期,极地较低的月表温度与较大的温差ΔT使得极地的月温梯度和热流密度可以略高于赤道部分,可以看出早期演化中极地的地温梯度更大一些,岩石圈厚度虽然略厚、但相差还不大,因此两极热流密度还可以略高于赤道。
在35亿年后,由于岩石圈的增厚,两极的岩石圈厚度要高于赤道部分,其效应超过了月表温度较低的效应,月温梯度变小,因此35~45亿年极地的热流密度都略微小于赤道。这种对流下沉俯冲翼热流密度低,上升翼热流密度高的情况与地球类似。

在地球上板块俯冲翼一般为低温度梯度和低热流密度,上升端为高热流密度;但早期月球的演化结果却是相反的,极区为下降幔,热流密度却略微高于赤道部分。月球与地球显著不同的一点是:地球上海洋板块全部参与对流,但月球覆盖着一层较厚较冷的岩石圈,内部是在一个凝滞的盖子下面的对流系统。受此影响,月球表面不会像地球海洋板块那样有巨大的热流密度差异。
且在月球演化的早期,受到月球表面温度差异对于对流系统的影响,岩石圈下面部分温度不是线性变化的,所以岩石圈上部虽然温度较低,但温度梯度类似还反而略略偏大。
在20亿年月球演化的早期,岩石圈深处极区温度变化更为剧烈,但此时赤道与极区的岩石圈厚度仅相差100 km左右,因此岩石圈上部极区的温度梯度是略微大于赤道部分的。
在45亿年时,虽极区表面温度偏低,但赤道与极区的岩石圈厚度相差300 km以上,极区低温梯度变小,低于赤道部分。总的来说岩石圈底面温度类似,地表温度相差约100 K,两极的温差明显大于赤道,但是由于两极岩石圈厚度也显著大于赤道,所以地表赤道两极月热流密度差异始终相差在10%以内。

图1 2 赤道与极区温度随半径变化图

图1 3 赤道与极区黏度随半径变化图
核幔边界的热流密度列在表5,表中数值单位为mW·m-2。两极的热流密度要高于赤道一个数量级。高纬度区域冷的月幔物质下沉,造成其相对赤道来说,温度要低很多,具有更高的月温梯度,因此核幔边界需要更快地向极低地区散发热量,这就导致了极地部分核幔边界的热流密度高于赤道部分。
表5 月球核幔边界热流密度(单位:mW·m-2)
|
200 Ma |
500 Ma |
1 Ga |
1.5 Ga |
2 Ga |
|
|
赤道 |
0.05 |
0.15714 |
1.85714 |
1.73571 |
1.51429 |
|
极地 |
0.05 |
1.83571 |
4.08571 |
1.22143 |
8.74286 |
|
2.5 Ga |
3 Ga |
3.5 Ga |
4 Ga |
4.5 Ga |
|
|
赤道 |
1.17857 |
1.21429 |
1.8 |
1.75 |
1.72143 |
|
极地 |
12.36429 |
12.90714 |
14.40714 |
17.47143 |
17.44286 |
在理想对称条件下,计算结果早期对流环明显显示对称性,然而后期对称性受到破坏。我们分析可能有两方面的原因,一是月表温度是岩石圈上表面的温度,并不是参与对流的月幔的上边界,随着岩石圈的加厚,真正参与月幔对流的部分上边界温差逐渐减小,因此月表温差对对流的影响减弱。
另一个因素是数值计算误差的积累,造成了不对称对流的发展。然而,由于真实天体不可能是完全横向均匀的,实际在组成、结构、物性和温度等方面,会存在这样或那样的横向不均匀性,所以后期的不对称对流环的发展,恰恰可以表现非均匀性的影响。且这种横向不均匀性的影响,特别在黏滞系数为温度的很强的非线性函数情况下,可以掩盖天体表面温度纬度分布的影响。

如果月球、水星一类无大气的天体地表温度赤道和两极的差异能够引起对流的纬度分带,或起码是天体演化早期的纬度分带,那么应该在现今天体表面地质构造方面有所显示,水星有一些现象似乎与纬度有关。水星上的构造活动大约开始于距今39亿年前,并持续到10亿年前左右。
水星表面主要为收缩构造地貌,是全球范围内地壳形变的证据。如果仅是由内部冷却引起的全球收缩,会使水星表面的断层随机排列分布。Messenger通过轨道高入射角成像和地形数据绘制了水星大尺度叶状逆冲断层陡坎分布图,与预期结果却并不相同,水星表面收缩地貌的空间分布和方位并非随机排列,而是与纬度呈较高的相关性。
水星低纬到中纬的断层一般为南北向,而高纬度地区断层一般为东西向。Watters等(2015a)认为水星断层方位的非随机取向主要是受到全球收缩、潮汐引力和赤道-极点岩石圈厚度变化三个因素共同作用;收缩特征的不均匀平面密度分布可能反映了地幔下涌或岩石圈强度的非均匀性。

根据水星收缩地貌的研究和启示,结合我们前文的月球热演化结果中同样出现了月球地幔下涌的非均匀性以及岩石圈在两极和赤道的厚度变化,我们可以考虑月球的构造是否在一定程度上也受到了内部对流的影响。
在岩石圈等厚度的情况下,行星的收缩和膨胀会分别导致挤压断层、伸展断层的随机排列和均匀分布。但对月球上的断层方位进行分析后发现,断层陡坎的方位是非随机的,与各向同性应力所产生的结果是不一致的。从低纬、中纬和高纬三个纬度范围统计分析整个月球断层的数量和分布特征,结果表明,在低纬地区,南北方向是陡坎发育一个相对发达的方向;中纬度地区的优势方向为北西-南东和北东-南西向;月面东西向断层主要分布在高纬度地区,具有一定的连续性和规律性(陆天启等, 2019; Matsuyama et al., 2021)。很明显,冷却收缩并不是月球的唯一应力源。Watters等(2015b)提出潮汐应力对月球地壳的应力状态有重要贡献。

月球断层方位的纬度分布,与水星表面构造中低纬度南北向、高纬东西向非常相似。目前的研究表明,潮汐消旋可能是造成月球这种全球构造的一个因素(Melosh, 1977)。由于表面温度原因所造成的两极与赤道的岩石圈厚度变化,也可能对月球表面断裂方位呈纬向分布有一定影响。
我们的演化结果表明,两极区域的岩石圈厚度要比赤道部分高出一倍左右。根据Beuthe的弹性薄壳模型理论,那么月球赤道南北方向的断层和极地东西方向的断层分布很可能受到赤道岩石圈减薄的影响(Beuthe, 2010)。月球深部的断裂在不同区域间的分布密度差异较大,这可能与月幔涌动的非对称性以及岩石圈的不均匀强度相关,都与月表温度条件有着密切关联。因此,由月表温度差异导致的不均匀月幔涌动以及赤道与极地岩石圈厚度的变化,很有可能在一定程度上影响了月球深部断裂与浅表构造,具体定量的计算是我们下一步的研究方向。
我们所做的月球热演化是二维柱状体的模拟,在散热速度上要慢于三维演化很多,所以在经过45亿年的模拟过后,月球并未冷却到实际情况,岩石圈厚度比月球实测的厚度要薄一些。可以想象的是,三维月球热演化会在更大程度上受到表面条件的影响,具体有待于后续研究。

月球作为无大气行星,其表面温度主要由太阳辐射和内部释放的能量来决定,因此呈现出高度纬度相关性。本文将月表温度与纬度相关函数作为上表面边界条件,完成了二维月球热演化模拟工作,结论如下:
(1)由于月球表面赤道温度高,两极温度低,会导致两极岩石圈更容易沉降,与地球上的俯冲带类似,上升流更倾向于从赤道涌起,呈现出与均一月表温度模拟时对流升降翼纬度随机分布显著不同的结果,在月球演化早期这种影响尤其明显。
(2)受月表条件的影响,初期两极散热更快,两极对流的俯冲翼也使得低温物质下沉,两极岩石圈下部温度也不再是线性减小,因此两极岩石圈要比赤道更厚,甚至可以厚一倍;岩石圈厚度的差异可能会在一定程度上影响到月球表面断层方位呈纬度相关分布。
(3)热演化计算得到的现今热流密度与实测值大致符合。在月球演化的早期,极区形成下降地幔流,赤道上升地幔流,但热流密度极区可能高于赤道部分,这与地球上海洋板块俯冲翼一般为低热流密度、上升端为高热流密度的情况是不一样的。这是由于海洋板块会全部参与对流,但月球上岩石圈由于过冷是不参与对流系统的。受到岩石圈厚度以及月表温度差异两方面协同影响,在演化前期极区热流密度高于赤道部分,后期赤道表面热流密度略微高于极区部分。
通过两组不同温度边界条件的结果对比,说明纬度相关的月表温度对于月幔对流存在影响,特别在月球演化早期的影响还是比较大的,今后在没有大气的固体行星或卫星的热演化模拟中不可忽略。
本文仅仅是初步的研究,仅限于二维柱状有限元模拟,这会减少了散热面积、使冷却速率比三维月球冷却速度慢,今后值得继续开展三维模拟研究。
Beuthe M.2010.East-west faults due to planetary contraction.Icarus,209(2):795-817.
Boukaré C E,Parmentier E M,Parman S W.2018.Timing of mantle overturn during magma ocean solidification.Earth and Planetary Science Letters,491:216-225,doi:10.1016/j.epsl.2018.03.037.
Breuer D,Labrosse S,Spohn T.2010.Thermal evolution and magnetic field generation in terrestrial planets and satellites.Space Science Reviews,152(1-4):449-500,doi:10.1007/s11214-009-9587-5.
de Vries J,van den Berg A,van Westrenen W.2010.Formation and evolution of a lunar core from ilmenite-rich magma ocean cumulates.Earth and Planetary Science Letters,292(1-2):139-147,doi:10.1016/j.epsl.2010.01.029.