柔脑膜转移非小细胞肺癌患者的预后极差,目前缺乏标准的治疗方案。BLOOM研究中,奥希替尼160mg显示出一定疗效,近日,一项回顾性研究纳入AURA系列研究数据,分析了奥希替尼80mg用于柔脑膜转移患者的疗效,结果发表于《JTO》杂志。
研究背景
柔脑膜转移(LM)的特点是肿瘤细胞侵袭性地扩散到脑脊液(CSF)和柔脑膜并伴随侵犯蛛网膜下腔,这部分肿瘤患者的预后极差。在所有非小细胞肺癌(NSCLC)中,LM的发生率预计为3%~4%,而EGFR突变患者中LM的发生率增加到9%~16%。
由于存在血脑屏障,CNS成为肿瘤转移的“避难所”。经治疗LM患者的中位总体生存期(OS)为3~10个月。由于现有治疗方案疗效有限,且缺乏标准治疗方案,因此,LM患者未被满足的医疗需求仍很高。研究显示,第一代/二代EGFR TKI的标准剂量用于这部分患者的疗效较好但是中枢神经系统穿透力并不理想。随机对照研究和对患者的反应评估标准的缺乏限制了对EGFR TKI的有效评估。为此,2017年神经肿瘤临床疗效评价LM工作组(RANO-LM)提出了LM患者评价标准,但还没有在前瞻性研究中得到验证。
BLOOM研究中,奥希替尼(160mg qd)用于EGFR敏感突变NSCLC LM患者已显示出疗效。AURA研究评估了奥希替尼(80mg qd)用于EGFR T790M阳性晚期NSCLC患者的疗效。本研究回顾性分析了AURA扩展研究、AURA2、AURA17、AURA3中,奥希替尼(80mg qd)用于放射学评估LM患者的疗效和安全性。
研究方法
经EGFR TKI治疗进展后EGFR T790M阳性晚期NSCLC患者接受80mg奥希替尼治疗。无神经症状和疾病稳定的中枢神经系统(CNS)转移患者(包括LM患者)符合标准,研究回顾性纳入LM患者进行分析,根据RANO-LM修改后的标准评估经独立中心盲法评估LM应答。研究评估LM的客观缓解率(ORR)、缓解持续时间(DoR)、无进展生存期(PFS)和OS。并分析了AURA LM和BLOOM研究中基线非CNS肿瘤大小变化与LM反应的相关性。
研究结果
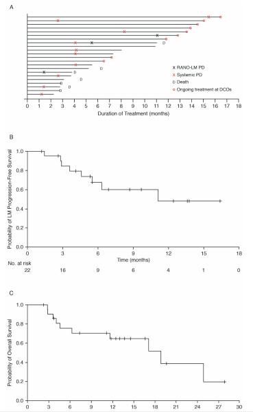
奥希替尼80mg治疗的患者中有22例患者被评估为LM,7例、8例、7例、7例患者分别来自AURA3、AURA17、AURA扩增、AURA2研究(图1)。59%的患者为女性(13/22),82%的患者为亚洲人(18/22),82%的患者WHO评分为1,中位年龄为58岁。所有患者为EGFR T790M阳性,3例患者曾接受过WBRT治疗,奥希替尼的中位暴露时间为7.3个月。

图1 患者分布
疗效
LM ORR为55% (12/22),在12例有反应的患者中,6例患者达到完全缓解(CR)(27%), 6例患者达到部分缓解(PR)(27%)(表1)。共有10例LM患者(45%)无应答,其中,8例(36%)患者病情稳定6周以上,2例(9%)患者疾病进展(表1),在3例既往接受WBRT治疗的患者中,1例患者达到CR(开始使用奥希替尼前732天接受了WBRT治疗),其中2例患者无应答。在这2例无应答者患者中,1例疾病稳定,另1例在接受第1剂奥希替尼后6周产生疾病进展。中位DoR未达到(图2 A)。CNS ORR为23% (5/22),全身ORR为46%。LM、CNS、全身疾病控制率分别为91%、72%、91%(表1)。
表1 疗效分析

中位LM PFS为11.1个月,9个月时,60%的患者无LM疾病进展(表1,图2B),中位CNS PFS为6.3个月,中位总体PFS为4.4个月,中位OS为18.8个月,6个月、12个月、18个月OS率分别为76%、65%和52%。所有患者生存的中位随访时间为11.7个月。

图2 DOR、PFS、OS分析
研究显示LM应答和非CNS肿瘤大小无剂量疗效相关性(图3),很多情况下,即使在非CNS中发生疾病进展,也能观察到LM CR和PR。

图3 AURA和BLOOM研究LM应答与非CNS肿瘤大小图像分析
结论
奥希替尼(80mg)在EGFR T790M阳性LM NSCLC患者具有一定的临床疗效,与BLOOM研究(奥希替尼 160mg)结果相当,LM应答和之前WBRT治疗无明显相关性,总之,研究显示,奥希替尼(每日80mg)用于经EGFR TKI治疗进展后EGFR T790M阳性、经放射学评估的LM NSCLC患者显示出有意义的获益,提示奥希替尼是这类患者的合适治疗方案。
参考文献:
Ahn MJ, Chiu CH, Cheng Y, et al. Osimertinib for patients with leptomeningeal metastases associated with epidermal growth factor receptor T790M positive advanced NSCLC: the AURA LM analysis [published online ahead of print, 2019 Dec 27]. J Thorac Oncol. 2019;S1556-0864(19)33854-7. doi:10.1016/j.jtho.2019.12.113