
导读
为比较替诺福韦(TDF)和恩替卡韦(ETV)降低肝细胞癌(HCC)风险的有效性,来自台湾高雄医院、义守大学医学院等的学者进行了一项Meta分析,该研究近日发表于Lancet Gastroenterol Hepatol(影响因子 14.789)。
研究显示,TDF和ETV降低HCC风险的有效性无显著差异,建议治疗应以患者的耐受性和可负担性为指导。

乙型肝炎病毒(HBV)感染影响着全球2.4亿人,每年导致686 000人死亡。对于慢性乙型肝炎(CHB)患者,HCC是导致死亡的主要原因。因此,通过长期抗病毒治疗降低HCC风险是CHB治疗的基本方法之一。
作为一线药物,虽然TDF和ETV均能降低CHB患者的HCC风险,但目前尚不清楚两者的有效性是否存在差异,既往的Meta分析存在显著异质性,结论互相矛盾。本次研究将纳入和分析更新的数据,并阐明异质性的来源。
研究简介
检索PubMed、Embase、Web of Science和Cochrane library数据库,查找发表于2006年1月1日~2020年4月17日,CHB患者接受TDF或ETV单药治疗,平均或中位随访至少1年,发生HCC的时间-事件数据的相关研究。
使用随机效应模型,汇总发生HCC的协变量校正风险比(HR),使用I²统计量和Cochran Q检验评估纳入研究之间的异质性,并使用预先设定的亚组分析确定异质性的来源。
与之前的Meta分析相比,本次研究具有以下优势:
-
使用既往研究中未纳入的最新对照数据,以更新本次Meta分析。
-
仔细检查每项研究的设置、纳入和标准,以避免将同一患者重复计入。
-
预先设定亚组分析,以确定异质性的来源。
-
汇总所有可用数据,以评估不匹配和倾向性评分匹配人群的HCC发生率。
研究结果
共计纳入31项研究的119 053例患者。在不匹配人群的研究中,ETV组和TDF组的5年HCC累积发生率分别为5.97%(95%CI 5.81-6.13,28项研究)和3.06%(95%CI 2.86-3.26,13项研究)(p<0.0001)。
在倾向性评分匹配的8项队列研究中,ETV组和TDF组的5年HCC累积发生率分别为3.44%(95%CI 3.08-3.80)和3.39%(95%CI 2.94-3.83)(p=0.87)。
对14项协变量校正的对照研究进行分析,结果显示,TDF和ETV的HCC风险(主要结局)相似(校正HR 0.88,95%CI 0.73-1.07;p=0.20),但存在显著异质性(I²=56.4%,p=0.0038)(图1)。

图1 比较14项协变量校正的对照研究中TDF和ETV对HCC发生率的影响
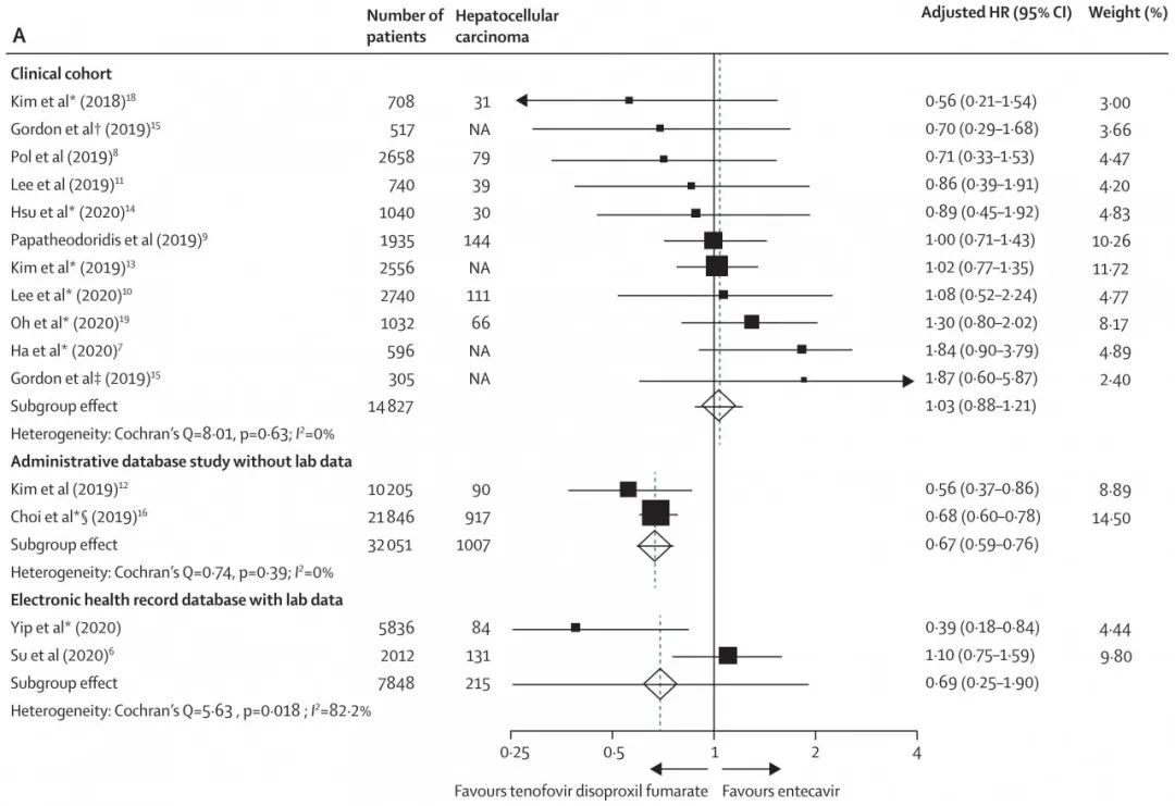
在基于医院临床队列的亚组分析中,两组的HCC发生率无差异(校正HR 1.03,95%CI 0.88-1.21;I²=0%)。但在管理数据库研究中,TDF组的HCC风险较ETV组更低(校正HR 0.67,95%CI 0.59-0.76;I²=0%)(图2)。

图2 根据研究分层比较TDF和ETV对HCC发生率的影响
研究讨论
本次研究显示TDF和ETV降低HCC风险的有效性无显著差异,但在总体分析中发现了显著异质性。在不匹配人群的研究中,TDF组的5年HCC累积发生率显著低于ETV组。
这些发现可能表明,由于对混杂因素的解释不充分,结果会偏向于TDF。但美国直到2008年(东亚直到2011年)才批准TDF用于治疗CHB,而ETV自2005年开始上市。这可能导致ETV队列中出现年龄较大和病情较重患者的偏倚,因为这类患者在TDF上市之前就已达到治疗指征。这种偏倚在本次分析中显而易见,接受ETV治疗的患者HCC发生率在不匹配和匹配人群之间有所不同。
此外,亚组分析显示,不同的研究设计可能会导致不同的结果。在管理数据库研究中,TDF降低HCC风险的有效性优于ETV。
这可能与调整混杂因素能力的差异有关。基于医院的研究通常可以获得包括实验室检查、人体测量、影像学和病史在内的详细数据,以便更全面和准确地调整背景风险。相比之下,管理数据库中包含的信息一般不太全面和精确,详细的临床和实验室数据一般不可用。因此,在基于管理数据库的研究中更可能存在残余混杂。
研究结论
总之,本次研究显示TDF和ETV降低HCC风险的有效性无显著差异,但现有数据之间存在显著异质性。建议治疗应以患者的耐受性和可负担性为指导。
文献索引:Tseng CH, Hsu YC, Chen TH. Hepatocellular carcinoma incidence with tenofovir versus entecavir in chronic hepatitis B: a systematic review and meta-analysis. Lancet Gastroenterol Hepatol. 2020 Sep 29. doi: 10.1016/S2468-1253(20)30249-1.