转自《国际糖尿病》
一旦确诊2型糖尿病,患者就要终生和病魔纠缠。患者必须严格控制饮食,保持血糖稳定性,在必要时服用降糖药物。
二甲双胍是2型糖尿病患者稳定血糖的一线药物,但长期服用容易产生药物耐受性,令降糖能力受限,患者需要经常更换药物服用,无疑对身体造成一定程度的危害。
近期,托马斯·杰斐逊大学(Thomas Jefferson University)内分泌学及糖尿病中心的一项长达2年的研究报告,首次表明两种药物联合使用(达格列净Dapagliflozin,及艾塞那肽exenatide),能确保连续用药两年不会发生耐药问题,并且能更好地控制糖尿病病情。研究结果在线发表于Diabetes Care杂志。

试验设计

科研团队进行的是双盲随机对照Ⅲ期临床试验。他们招募了695例对二甲双胍产生耐受的2型糖尿病成年患者。
他们在服用二甲双胍基础上按照试验规定被随机分成三个组别。第一组:服用安慰剂+注射艾塞那肽(QW)。第二组:服用达格列净+注射安慰剂。第三组:注射艾塞那肽(QW)+服用达格列净。试验时间为期两年。
试验结果

两年后,研究员对所有试验组患者进行体检。数据显示,第一组和第二组均有不同程度降低二甲双胍引起的药物耐受性。第三组相对前两组效果更佳。全部组别均没有发现任何副作用或不良反应(图1)。


图1. 2年内各组血糖变化情况
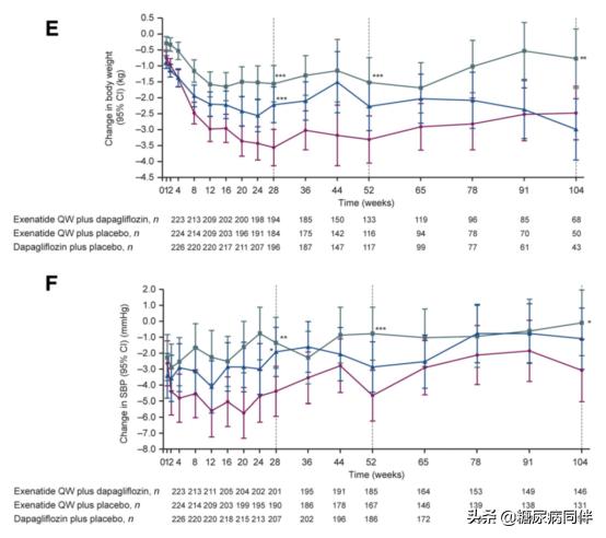
第三组:艾塞那肽和达格列净联合用药,不但能延长患者使用二甲双胍对血糖控制的敏感性达两年之久,而且在用药过程中能够减轻体重和稳定血压,从整体上改善糖尿病病情(图2)。

图2. 2年内各组体重、血压变化情况
另一项代谢学研究报告显示,达格列净和艾塞那肽药物所产生的协同效应,能影响人体脂质积聚及分布,对代谢综合征有改善作用。
未来展望

主要研究者Jabbour博士认为,达格列净和艾塞那肽药物的协同作用,能长期帮助2型糖尿病患者控制血糖,改善病情。他相信亦能应用于预防和控制糖尿病引起的多种并发症。

林佑:中国香港大学李嘉诚医学院/中医药学院硕士,目前从事中药学相关的临床及科研工作。致力传播国内外医药科学研究信息。
参考文献:Diabetes Care. 2020 Oct;43(10):2528-2536.