长江日报-长江网2月19日讯 2月19日上午,武汉市江夏区梁子湖风景区保福祠村的村民杨明伟从村里的“代购超市”买回了5袋面条。这个不用出村的“代购超市”设在村委会旁的一间闲置空房,专门为不能出村的村民提供米、面、油等主粮。

江夏区梁子湖风景区保福祠村“代购超市”村干部正在取货 杨欢供图
“书记,我家的大米快吃完了,怎么办?”在防疫期间,保福祠村*党**支部书记董书忠在村里为村民测量体温时,听到村里的干昌荣等6户村民反映家中粮食快吃完却又不能出村购买。据统计,保福祠村目前有150户432名村民在家,其中七成多是返乡村民,不少人家里粮油等都所剩不多。
于是,董书忠思量着在村里办一个“代购超市”。2月9日,董书忠和村干部一起从中心城区采购了一批米、油、面条等物资,将村部旁的一间闲置空房改造成“代购超市”,以进价再卖给村民,村干部组织村民每天错峰前往购买。

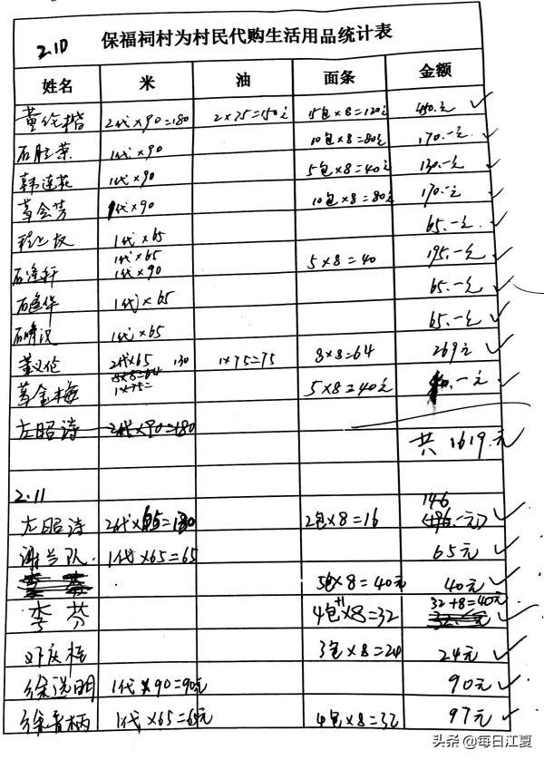
江夏区梁子湖风景区保福祠村“代购超市”的账单 杨欢供图
18日下午,长江日报-长江网记者看到,村民张小伟戴着口罩,开车到村部买了2袋米、2壶油和1袋面条。他说:“回村后一直没出门,家里的粮食只能吃两三天,听说村部有卖的赶紧过来买。”在“代购超市”,张小伟用手机扫码付款,村干部帮他把粮油分好,他再装上车,全程“零接触”。
“为防止交易时互相接触交叉感染,我们让一名村干部专门负责货物记载,并用微信扫码支付。”董书忠说,到目前他们已经帮村民代购了49袋米、10壶油、156袋面条,总价值6000余元。
为了尽量减少村民出门,董书忠带着村干部分组兼职当“跑腿小哥”,为村民送货上门。村民需要什么物品,通过电话、微信或在村干部上门排查时告诉村干部,董书忠就会开着自己的面包车送货上门。
“要不是村干部送货来,我家九口人就要断粮了。”村民樊祝英说,自己平时住在纸坊,春节前回村过年,原本准备初二就返程,没想到突发疫情,家里平时只有两位老人,生活用品很快就用完了。18日,村干部将她订购的2袋米、5袋面条和洗衣粉、牙膏等生活用品送上门,这已经是她请村干部代购的第四批生活用品。“我们前一天打电话,村干部第二天就送到,这段时间让他们费心了,非常感谢他们。”樊祝英说。
(记者张奔设 通讯员李春兰 杨欢)