
防走失,电梯直达安全岛报人刘亚东A

来源:新智元

新智元报道
来源:Sciencemag
编辑:张佳、啸林
【新智元导读】全球近170万人感染新冠肺炎,疫苗遥遥无期,许多人寄希望于潜在特效老药。日前,Science报道了一项针对这些药物制造成本的新研究,发现这些药成本其实超低:9种中有8种成本为每人每天不到1.50美元,“人民的希望”瑞德西韦每日用量成本仅为0.93美元,但如今售价竟然高达6万元,翻了将近一万倍。科学团队呼吁在这个非常时刻的全球合作,以成本价量产特效药,不同国家并行生产以降低单点失效风险,并开放技术转让。
由于新冠疫苗仍可能需要一年或更长时间才能问世,因此针对这种病毒的第一*器武**可能是目前针对COVID-19患者进行临床试验的药物。
日前进行的一项新研究表明,许多目前正在生产或开发中的新冠潜在药,每天每位患者所需的药量的费用为1美元,甚至还有更便宜的。
研究人员认为,如果有证据证明这些药对新冠病毒有效,那么需要国际上的协调努力,以确保全世界的人们都能负担得起。
新冠潜在药成本大都低于1.50美元/天
世界各地的科学家都在对至少12种新冠肺炎潜在疗法进行临床试验。一些化合物已经在市场上销售了几十年,如用于防治疟疾和狼疮的氯喹和羟基氯喹。利物浦大学的药品定价专家、也是这项研究的一作Andrew Hill表示,这使得估算它们的最低成本相对容易。

Andrew Hill
这项研究由利物浦大学、帝国理工学院、澳大利亚伯内特医学研究院和霍华德大学的研究人员共同完成。

Hill和他的同事们重新制定了一项策略,他以前曾用这个策略来估算治疗艾滋病毒、肺结核和丙型肝炎的药物成本。他们首先建立了一个印度授权的数据库,其中包括进出印度的每公斤活*药性**物成分(API)的成本,印度是仿制药生产的主要中心。
除此之外,他们还增加了将API制成药品、包装的额外成本,并为生产这些药品的公司增加了10%的利润。

新冠潜在药物的制造成本:尽管这些药物大都可以廉价生产,但它们的售价却是其成本的数百倍。
在分析的9个候选COVID-19治疗方案中,有8个方案的估计成本为每人每天接受治疗的费用低于1.50美元,而整个疗程的费用从0.30美元至31美元不等。Hill说,底线很明确。“所有这些药物从根本上说都非常便宜。”(Hill团队无法估计一种名叫Tocilizumab的化合物的成本,Tocilizumab是一种用于治疗类风湿性关节炎的单克隆抗体,因为它目前只有少量生产)

目前各种药物用量、最高价、最低价、预估疗程成本、预估每天成本表
最低估计生产成本为:瑞德西韦每天0.93美元,法维吡韦每天1.45美元,羟氯喹每天0.08美元,氯喹每天0.02美元,阿奇霉素每天0.10美元,洛匹那韦/利托那韦每天0.28美元,每天0.39美元索非布韦/达卡他韦的费用为每天1.09美元,吡非尼酮的费用为每天1.09美元。每个治疗疗程(10-28天)的生产成本在0.30美元至31美元之间。这些药物的当前价格远高于生产成本,特别是在美国。

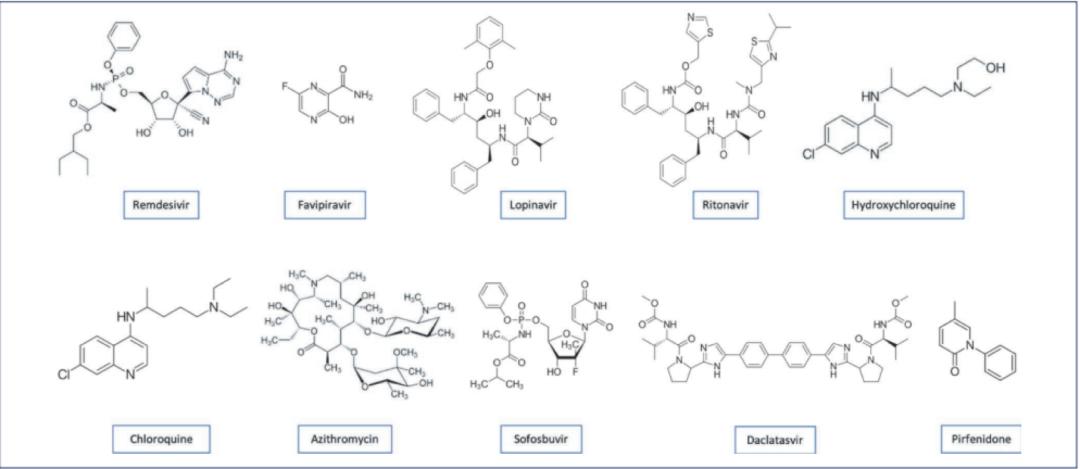
备选药物的化学结构
但是,如今这些药物并不总是便宜可买。Hill和他的同事报告说,在印度和巴基斯坦等严格控制药品成本的国家,每个疗程的零售价在0.20美元到510美元之间,而在美国,每个疗程的零售价在19美元到18610美元之间。

文中列出了每种药物在各国的售价,其中大多数图表都长得像这张洛匹那韦:美国价格(远)高于其他国家,而中国的成本则排在末尾。

也有个别例外的情况,中国的价格也排在第一第二,比如川普力荐的羟氯喹。另外,川普吹早了,几天前羟氯喹治疗新冠病毒论文被撤掉了。
瑞德西韦成本0.93美元,售价翻了近万倍?
Hill指出,他的小组评估的大多数药物均未获得专利权,因此可以由仿制药商廉价地生产。但是,COVID-19临床试验中的某些抗病毒药是专有的。随着对新冠病毒药物定价的争论已经升温,一个引爆点是瑞德西韦,这是吉利德公司的一种药物,它似乎抑制了新冠病毒用来复制的RNA复制聚合酶。Hill的研究小组估计,这种药物在1天药量中的成本为0.93美元。

那么,瑞德西韦的售价是多少呢?因为目前还没有统一定价,我们从某外国网站看到,10毫克瑞德西韦售价850美元,按照研究中使用的每天100毫克的剂量计算,每天要花8500美元,换算成人民币近6万元。

瑞德西韦售价(仅供研究,不向患者销售)
参见:https://www.medchemexpress.com/Remdesivir.html
“无国界医生”组织的药剂师Jessica Burry担心,COVID-19治疗的高定价将相当于定量配给,从而使较贫困的患者和国家无法享受这些治疗。“由于价格高和供应有限而实行药品配给只会延长流行病的蔓延,”她说:“如果救命药人们负担不起还有什么用?”
如何确保任何国家的任何新冠肺炎患者都能获得他们需要的药物?
一些组织担心,专利保护和有限的供应可能会使其价格飙升。3月30日,无国界医生组织和近150个民间社会组织向吉利德首席执行官Daniel O'Day发了一封公开信,要求“吉利德立即采取行动,确保快速供应和可负担性,作者恳请吉利德放弃对该药物的专利保护,允许仿制药商增加供应。吉利德的公司事务和总法律顾问Brett Pletcher回应说,吉利德已经在大幅提高产量。Pletcher在公司公开信中写道,该公司还在与联合国儿童基金会(UNICEF)建立合作伙伴关系,以在全球范围内分发该药物。
如何快速而廉价地分发新冠病毒药物或许可以参考全球基金和美国总统艾滋病紧急救援计划的做法,他们正在为艾滋病和肺结核提供药物。每个组织分别汇集世界各国政府或美国政府机构的财政捐款,并用这笔钱为廉价仿制药谈判价格,然后将其分发给有需要的国家,这种方法因挽救了数千万人的生命而受到赞扬。
杰斐逊人口健康学院(Jefferson College of Population Health)的医生和制药行业专家David Nash表示,这种模式也可以用于新冠病毒。Nash说,国际药品定价专家应该开始建立这样的计划,以大规模生产和分发新冠病毒药物,并补充说他们应该迅速行动。“我们现在在等待临床试验结果的同时就应该开始对话。”
在这项研究中,作者给出了4个建议以确保任何国家的任何新冠肺炎患者都能获得他们需要的药物:
1.在临床试验中显示重要疗效的治疗方法,应以接近制造成本的价格在全球范围内提供。在临床试验中评估的所有疗法制造起来都很便宜。显然,这些药物的大规模生产将需要在经济上可持续。例如,GFATM和PEPFAR在世界范围内分发了针对HIV,肺结核和疟疾的治疗药物,以接近制造成本的价格治疗了数百万人。支付的价格使仿制药公司可以获得可接受的利润。
对于新冠肺炎,我们应该采用类似的药物分配模型:制造这些药物的公司的利润率为10%比较合理。这与艾滋病毒,结核病和疟疾的定价结构相似。这样,仿制药公司既可以接近成本价生产,其利润仍可接受。激励低价生产药品的核心是订单数量的庞大。
2.每个产品至少应由三个不同的公司并行生产,并从不同的国家/地区采购其药物活性成分。在新冠流行的早期,由于关键工人的隔离和工厂之间关键原料的运输延误,中国对药物活性成分的生产受到严重中断。由于预计当地短缺,印度已暂停了几种关键药物的出口。在许多国家/地区同时生产药品将保护我们免受单个国家中断或短缺的影响。
3.不应有知识产权障碍阻止全世界范围内这些药物的大量生产。我们需要开放的“技术转让”,以便可以与决定在当地生产药物的任何国家共享制造关键药物的方法。
4.应开放所有新冠肺炎临床试验的结果和数据库的完全访问,以便其他人可以从中学习。为了加快获取这些药物的速度,各国应可以相信彼此的严格的监管机构对关键疗法的审查和批准的认可。各个国家可能没有时间进行正常的法规审查。
总之,在可以大规模开发和生产有效疫苗之前,改用药物可能是我们在接下来的12-18个月内治疗新冠肺炎的唯一选择。如果旧药物确实显示出抗新冠肺炎的功效,则可以以非常低的单价生产,每个治疗疗程的价格在1到29美元之间。通过GFATM和PEPFAR大规模生产和销售用于治疗HIV,TB和疟疾的药物的系统可以作为治疗新冠的蓝图,以确保在全球范围内以低价获得有效药物。
参考链接:
https://www.sciencemag.org/news/2020/04/would-be-coronavirus-drugs-are-cheap-make
