洁净室是空气悬浮粒子浓度受控的房间,其建造和使用方式可最大限度减少房间进入的、产生的和滞留的粒子。房间内的温度、湿度、压力等其他相关参数均按要求受控(ISO14644-6)。
洁净室的四大技术要素:
一、送风至少经过三级过滤(粗效、中效和高效),并且高效过滤器应设置在系统的末端。
二、洁净室应有足够的净化和空调的送风量。
三、洁净室应维持必要的压力梯度(正压梯度或负压梯度)。
四、洁净室应有合理的气流组织。
洁净室的分类:
按气流流型洁净室可划分为:单向流洁净室;非单向流洁净室;混合流洁净室;矢流洁净室。
单向流洁净室:
单向流(层流)洁净室,其中又分垂直单向流洁净室和水平单向流洁净室。

单向流气流的净化原理是活塞和挤压原理,把灰尘从一端向另一端挤压出去,用洁净气流置换污染气流。包括有垂直单向流和水平单向流。
垂直单向流是气流以一定的速度(0.25m/s~0.5m/s)从顶棚流向地坪的气流流型。这种气流能创造100级、10级、1级或更高洁净级别。但其初投资很高、运行费很高,工程中尽量将其面积压缩到最小,用到必须用的部位。
水平单向流是气流以一定的速度(0.3m/s~0.5m/s)从一面墙流向对面的墙的气流流型。该气流可创造100级的净化级别。其初投资和运行费低于垂直单向流流型。
非单向流洁净室:
非单向流洁净室的气流流型又可分为顶送下回;顶送下侧回;顶送顶回等。

非单向流气流的净化原理是稀释原理。一般型式为高效过滤器送风口顶部送风;回风的型式有下部回风、侧下部回风和顶部回风等。依不同送风换气次数,实现不同的净化级别,其初投资和运行费用也不同。
混合流洁净室:

混合流气流是将垂直单向流和非单向流两种气流组合在一起构成的气流流型。这种气流的特点是将垂直单向流面积压缩到最小,用大面积非单向流替代大面积单向流以利节省初投资和运行费。
矢流(对角流)洁净室:
选上侧圆弧型高效过滤器风口送风,对侧下回风口回风的气流流型。

矢流洁净室的气流是以放射型的流线流出,流线之间没有竖向交叉,可用相对少量的送风获得较高级别的洁净度。多用在医药、医疗和电子等行业的小洁净室中。在某些特殊的实验室中也得到广泛的应用。
各种气流流型洁净室的风量、冷量、初投资和运行费的比较(仅供参考)
不同洁净级别洁净厂房的送风量、冷量投资耗电的指标

注:表中的送风量、单向流以断面风速表示,非单向流以换气次数表示。
表中冷量指标一般指电子工业洁净厂房。表中的初投资包括洁净厂房的围护、冷冻供应系统、空调净化系统,不含土建结构和自动控制的投资。表中的耗电量系指制冷系统和空调送风系统耗电,不含电加热和电加湿的耗电量。
按洁净室主要控制对象划分洁净室又可划分为:工业洁净室;生物洁净室。
工业洁净室:
工业洁净室主要的控制对象是灰尘粒子(不分有生命的、无生命的)。
工业洁净室主要应用在电子、航天、航空、机械、化工、化学制药、能源、纳米等工业中。尤其是电子工业和光电子工业更是离不开洁净室和洁净技术。
生物洁净室:
生物洁净室主要控制对象是有生命的、活的微生物粒子,如病菌、病毒等对人类、动物、环境有害的粒子。
生物洁净室广泛地应用在医疗(洁净手术室、洁净病房)、生物制药、实验动物饲养、生物安全实验室、卫生防疫检疫的事业中。生物洁净室的发展速度非常快,而且得到了各方的认同和重视。
工业洁净室与生物洁净室的差别表

洁净室洁净度等级标准:
ISO-14644是国际标准,现在美国、欧洲、日本、俄罗斯和我国都采用此标准,美国原来应用的是美国联邦标准209A、B、C、D、E,现在美国也不用了。原来我们熟悉的100级、1000级、10000级和100000级都是源自美国联邦标准FS209B,现在它们分别被国际标准ISO-14644标准中的5级、6级、7级和8级所替代。
ISO-14644的洁净度等级标准列如下:
洁净室及洁净空气中悬浮粒子的洁净度等级

注:① 每点应至少采样3次。
② 本标准不适用于表征悬浮粒子的物理、化学、放射及生命性。
③ 根据工艺要求可确定1~2粒径。
④ 根据要求粒径D的粒子最大允许浓度由下式确定(粒径0.1μm~5μm):

(个/m3)
式中,N为洁净度等级在1~9级中间可以0.1为最小单位递增量插入。
国标洁净等级标准ISO-14644与各国洁净度等级标准的比较如下:
国际标准ISO-14644与各国标准的比较表

注:美国联邦标准FS209E已经停止使用。
洁净室的消防、节能和环保:
洁净室的消防:
一、洁净室建筑不利于防火的因素:
1、空间密闭、围护结构气密性好,一旦火灾温度会迅速上升,大量烟气不易排出,令人窒息又不利于疏散和扑救。
2、洁净室建筑内各种关卡多,对外出口少,疏散通道不畅,延长了疏散距离和时间。
3、洁净室建筑装修有一些高分子的合成材料会产生浓烟和毒气。工艺生产中往往会使用大量的易燃易爆的化学物质也是洁净室潜在的火灾威胁。
因此洁净室的防火和人员疏散非常重要。
二、洁净室建筑耐火等级
1、甲乙类洁净室建筑的耐火等级应为一级或二级,宜为单层建筑,其最大占地面积不易超过3000m2。
2、丙、丁、戊类洁净室建筑的耐火等级可为一级或二级,可为单层或多层,除丙类建筑占地面积不应超过8000m2(单层、二级);6000m2(多层、二级);4000m2(多层、三级)外,丁类和戊类占地面积不限。
三、洁净室人员的安全疏散
在进行洁净室平面规划时考虑人员疏散的原则
1、疏散路线要简捷明了,便于寻找和识别。
2、疏散路线要做到步步安全(着火房间→房间门→疏散走道→楼梯间→室外)。
3、扑救线路不要与疏散路线交叉。
4、疏散通道要通畅,少曲线,少高低不平,少宽窄变化。
5、疏散方向至少有2个可供人员疏散。
6、疏散门的开启方向应有利于人员的疏散逃生。
四、洁净室建筑材料的防火
1、洁净室内部的装修材料应尽量避免采用在燃烧时产生大量浓烟和有毒气体的高分子合成材料。根据“洁净厂房设计规范”规定:洁净室的顶棚和壁板(包括夹心材料)应为不燃烧体,且不得采用有机复合材料。顶棚的耐火极限不应低于0.4h,疏散走道的耐火极限不应低于1.0h。
2、特别要重视参观走廊的隔墙(包括大面积玻璃窗)的耐火极限问题。
3、技术竖井的井壁的耐火极限也不应低于1.0 h。
洁净室的水消防:
一、室内外消火栓系统
室内、外消火栓供水系统的用水量应根据洁净室生产工作间火灾危险性类别,建筑物的耐火等级以及建筑物的体积等因素目前应根据“建筑设计防火规范”确定,当“消防给水及消火栓系统技术规范”颁布后应按新规范执行。
二、自动喷水灭火系统
自动喷水灭火系统的用水量应根据洁净室的火灾危险性等级和“自动喷水灭火系统设计规范”确定。自动喷水灭火系统宜采用预作用式自动喷水灭火系统。
三、洁净室各个场所必须配置灭火器,其设计应满足“建筑灭火器配置规范”的要求。除消防给水外,还应设置必要气体灭火系统等。
洁净室电气消防:
一、洁净室的电源和供配电
根据“建筑设计防火规范”和“洁净厂房设计规范”的要求。
1、消防电源的负荷分级应符合国家标准“供配电系统设计规范”的要求。
2、消防用电的设备应采用专用的供电回路,当生产、生活用电切断时,应仍能保证消防用电,其配电设备应有明显的标志。
3、消防用电设备的管线应满足火灾时连续供电,并且管线应有防火要求。
4、消防应急照明灯具和疏散指示标志灯的备用电源的连续供电时间应满足实际消防要求。
二、洁净室的消防照明
1、洁净室内应设置供人员疏散用的应急照明。在安全出口、疏散通道的转角处应按“规范”设置疏散标志(疏散指示灯)。
2、在专用的消防口处应设置红色应急照明灯。
3、消防控制室、消防水泵房、自备发电机房、配电室、防排烟机房以及发生火灾时仍需正常坚持工作的其他房间应设置应急照明。
三、洁净室的消防报警和控制
1、洁净室的生产区(包括技术夹层)、机房、站房等均应设置火灾探测器(感温探测器、感烟探测器或空气采样器等),及早预知、早报警。
2、洁净室生产区及走廊应设置手动火灾报警按钮。
3、洁净室应设置消防值班室(或控制室),消防控制室应设置消防专用电话总机。
4、消防控制设备及线路连接应可靠,应有合格的显示功能。
5、消防报警应进行核实,并应进行如下:
消防联动控制:
① 启动消防水泵(除自控外还应设手动控制装置)。
② 关闭电动防火阀,停止空调风机、排风机、新风机,并收其反馈信号。
③ 关闭有关部位的电动防火门或防火卷帘门。
④ 点亮应急照明灯和疏散标志灯。
⑤ 手动切断有关部位的非消防电源。
⑥ 启动火灾应急扩音器,进行人工和自动广播。
⑦ 控制电梯降至首层,并接收反馈信号。
洁净室的防排烟:
一、根据“建筑设计防火规范”和“洁净厂房设计规范”的要求:洁净室的疏散走廊和面积大于300m2的洁净室均应设置机械防排烟措施。
二、最新报批的“电子工厂洁净厂房设计规范”中对洁净室的防排烟系统的要求作了一些修订,内容是:洁净厂房的疏散走廊应设置防排烟系统,但对于大面积的电子工厂的洁净厂房当每50m2内不超过一个工作人员时可不设置防排烟系统。
洁净室净化空调系统的节能:
洁净室的空调负荷
洁净室的净化空调负荷由下面几部分组成:
一、室内负荷
主要包括:
1、室内作业人员的散热、散湿负荷。
2、室内照明灯具的散热负荷。
3、洁净室围护结构(墙、顶、地、门、窗)的传热、传湿负荷。
4、生产设备和生产过程的散热、散湿负荷。
二、洁净室新风处理的热、湿负荷。夏季是降温去湿;冬季是加热、加湿。
三、空气循环时风机(或FFU)的温升和水泵的温升负荷。
洁净室的空调负荷特点:
一、高级别洁净室(100级,10级,1级)是垂直单向流洁净室,其送风机的风量非常大,高达400~500次/h换气,而且风机的压头也很高,一般多在1000~1500Pa,因此风机温升的负荷大。按理论计算:在集中送风方式的系统中,风机的温升为1.5℃,仅此一项的负荷就是500~700W/m2;如果采用FFU送风方式,风机温升的负荷也要250~350 W/m2。因此,风机温升的负荷大是其一个负荷特点。
二、服务于微电子和光电子的高级别洁净室因工艺排风量大,所以新风量也很大,新风量一般在10~20次/h换气;因此,处理如此多新风的负荷大约为400~800 W/m2;个别工艺的排风量更大,固新风负荷也还会更大。因此新风负荷大是其第二个负荷特点。
三、生产设备和生产过程的散热、散湿负荷大,是高级别洁净室的第三个负荷特点。生产负荷的大小是与工艺生产本身的性质、生产设备的密闭、保温、通风以及水冷却的情况有关。
四、围护结构的传热、照明灯具的散热以及作业人员的发热这三项负荷相对比较小,三项负荷之和还不足总空调负荷的10%(其中:照明负荷大约25~30 W/m2;围护结构负荷大约20~30W/m2;作业人员负荷大约10~15 W/m2),这是高级别洁净室第四个负荷特点。
洁净室空调净化系统的节能措施
洁净室的空调净化系统节能,应首先从分析其空调负荷特点入手,抓住空调负荷中的主要矛盾,才能事半功倍。从前面可知,高级别洁净室空调负荷中占90%以上的负荷是:新风负荷、风机温升负荷和工艺设备和工艺过程负荷三项。这是它的主要矛盾。
一、降低新风空调负荷的节能措施
1、减少排风量。改进工艺和工艺设备,尽可能不排风,少排风。采取密闭式排风罩在同等的排风效果下尽量减少排风量。
2、减少正压漏风量。加强洁净室围护结构的密封性,既能保持洁净室必要的正压值,又可减少所需的正压漏风量。
3、提高新风空气处理设备的效率。
二、降低风机温升负荷的节能措施
1、在确保洁净室洁净度的前提下,尽量减少送风量,尽量用局部高净化来替代全面高净化。
2、加强空调设备和空调系统的密闭性,减少漏风量。
3、采取净化送风与空调送风分离的送风方案,使90%的净化送风量就近循环以减少风机温升负荷。
4、采用FFU加新风机组加干盘管的送风方式以减少风机温升负荷。
5、提高风机效率,采取变频措施。
三、工艺设备和工艺过程的发热是工艺生产本身的问题,只能依靠工艺自己来解决。
四、除上述措施之外,还可采取如下措施
1、合理选择和确定洁净室内的工艺参数(温度、湿度、洁净度)。
洁净室的净化空调是重点能耗大户,因此在选择和确定洁净室的洁净度和温、湿度时要慎之又慎。即在满足生产工艺要求的前提下,不应过高过严要求。否则,其能耗会大幅度上升。有专家分析计算洁净室内温度放宽1℃时其能耗可节省3%左右;其相对湿度放宽5%时其能耗又可节省3%左右。另外负荷计算时安全裕量不应留有过大,否则设备的耗电会大大增加,为了今后的发展最好留有动力设备的空位。
2、优化净化空调系统空气处理过程
净化空调系统空气处理过程的优化对节能的效果十分明显,优化的目的就是减少或消除冷热抵消现象和降低风机温升。
在“洁净手术部和医用气体设计与安装”的国家标准图的例题中的计算结果是这样的:对于一级洁净手术室(北京)夏季耗冷量,当采用一次回风系统时是60 kW,而采用二次回风系统时只有25kW,当采用新风机组深冷抽湿处理时其耗冷量只有20kW。
3、合理选择净化空调设备
① 设计建造洁净室时要选用高效率的净化空调设备(冷机、风机、水泵)。
② 选择低阻高效的过滤设备,风机和水泵的压头选择不宜过高。
③ 电动设备最好采取变频措施。
4、低位热能的利用和废热的回收
低位热能和废热回收的潜力非常大。现在很多专家在这方面进行了大量研究,如:工艺冷却水的回收和利用;喷水气化潜热的利用;冷冻机、空压机废热的回收以及利用冷冻水和中温水回水混合制造中温水等等。
5、加强水管和风管的保温。
6、减少冷热源的跑、冒、滴、漏。
7、采取热回收,充分利用废热。
8、尽量利用天然能源作空调系统的预冷和预热,如:太阳能、地下水、土壤能等。
9、利用蓄冰和蓄热等优惠政策。
洁净室的环保工程:
洁净室的废水处理
一、工业洁净室特别是电子工业洁净室排放的废水主要成份有:含酸废水、含碱废水、含氟废水、含磷废水、有机废水等不同行业、不同产品、不同工艺其废水的成份不同,但都必须进行处理,处理后的废水达到国家排放标准方能排放。
半导体集成电路工厂的废水处理大都采用化学中和沉淀法处理。其典型流程如下:

二、生物洁净室特别是生物安全实验室排出的废水中往往含有病毒、有害微生物和致敏性物质,而且产品品种、生产工艺不同废水的成份也不同。因此含有害微生物的废水应按成份分别收集,分别灭活、消毒灭菌后达标才能排放。
洁净室的废气处理:
一、工业洁净室,特别是电子工业洁净室排放的废主要成份有:一般废气、热废气、有机废气、酸碱废气、含磷等特殊废气、含粉尘的废气等,不同行业、不同产品、不同工艺其排放的废气的成份不同,但都必须处理达到国家排放标准后方能排到室外。
1、一般由生活用房、值班室、卫生间排出的一般废气可直接排到室外。
2、排放的有机废气超标时必须经过有机废气处理设备处理达标后再排放有机废气,处理方法有活性炭吸附法、液体吸收法和催化燃烧法等。
3、含酸碱废气在生产工艺中排放的较多,一般都是经过淋液湿式洗气吸收塔进行中和处理达标排放。
4、排放的热废气一般情况下可直接排放,如果温度较高必须采取隔热措施以免伤人。
5、含尘废气必须经过适当的除尘装置除尘后再排至大气。
6、含磷、含砷等特殊废气首先防止在排气系统中产生化学反应并通过专用的废气处理设备处理后达标排放。通常处理方法有稀释法、吸收法、吸附法、催化燃烧法等等。
二、生物洁净室尤其是生物安全实验室的排风一般含有活性的有毒有害的病菌等微生物。因此这类排风须经过过滤灭菌后再排放。如手术室的排风须经过中效过滤方能排到室外;P3实验室的排风须经过高效过滤器过滤后方能排到室外;P4实验室的排风须经过两级高效过滤器过滤后才能排到室外。为了安全最好采用袋进袋出的高效过滤器装置。
洁净室设计
洁净室净化空调设计程序步骤
设计前的准备工作及应收集的有关数据和资料
一、收集国家和地方有关洁净室建设的政策标准规范
1、洁净度等级的国家标准和国际标准ISO 14644
2、“洁净厂房设计规范”GB 50073-2013
3、“电子工业洁净厂房设计规范”(修订中)
4、“制药工业洁净厂房设计规范”(修订中)
5、“医院洁净手术部建筑技术规范”GB50333-2013
6、“实验动物环境及设施”GB14925-2010
7、“生物安全实验室建筑技术规范”GB50346-2011
8、“洁净室施工及验收规范”GB50591-2010
9、“电子工业洁净厂房施工及验收规范”(制订中)
10、“民用建筑供暖通风与空气调节设计规范”GB 50736-2012
11、“通风与空调工程施工质量验收规范”GB50243-2016
12、“建筑设计防火规范”GB50016-2014
二、该项目的“可行性研究报告”以及上级主管部门对报告的批复意见;该项目的“设计任务书”和建设方对该项目建造的有关要求、意见和建议。
三、该项目建厂地区的气象资料、水文地质资料和周围大气污染的环境状况。
四、洁净室内生产工艺对净化空调的要求和必须收集的生产工艺的技术条件和有关数据、资料:
1、洁净厂房内的生产工艺设备平面布置图和设备清单,以及工艺对吊顶高度的要求。
2、工艺对洁净室内的洁净度、温度及精度、相对湿度及精度、正压、振动、噪声、照度、静电、屏蔽等要求,越具体越好。
3、洁净室内生产工艺设备的产热量、产湿量、产尘量。各设备的安装功率、效率、热转化系数和同时使用系数等。
4、洁净室内生产工艺设备的局部排风量、排放气体的性质、成份、浓度和废气排放量以及废气治理方法。
5、洁净室内生产运行的班次、运行规律、生产的最大班人数。
五、洁净厂房的建筑和结构的情况和有关的数据:
1、洁净室建筑的平面布置图、立面图、剖面图。各房间的分割、面积、名称、层高。
2、洁净室围护结构(墙、地、顶、门、窗等)的建筑材料以及其热工性能。
3、建筑结构状况、结构的承载能力,尤其是旧建筑的改造项目结构的安全十分重要。
六、全厂冷源、热源、电源的情况及供应:
1、冷热源的性质、参数和供应量。有无加湿用的蒸汽等。
2、电源的性质、参数和供应量。
七、地方消防、环保部门对该项目建设的要求和意见。
八、其他相关专业(给水排水、气体动力、建筑结构、强电弱电等)的要求和意见。
九、设计时所用的设备、材料、配件的性能、参数和价格的资料。
工艺平面和建筑平面的规划:
工艺平面一般由甲方工艺技术人员根据工艺流程和工艺设备以及工艺生产的需要进行合理规划。
工艺平面规划后在满足工艺平面规划的前提下,布置换鞋、更衣、吹淋、厕所等人流辅助生活用房、物流吹淋辅助用房和走廊参观以及消防疏散等通道,最大限度地保证生产工艺的流程短捷和火灾时人员的安全疏散。
净化空调系统和排风系统的划分原则:
根据建筑专业提供的建筑平面图,工艺专业提供的工艺设备平面图和工艺对各洁净室的洁净度,温、湿度等环境的要求,即可进行净化空调系统的划分工作。
一、净化空调系统的划分原则
1、洁净度,温、湿度及其精度相同或相近的洁净房间宜划为一个净化空调系统。便于洁净度和温、湿度的控制。
2、距离较近的洁净房间宜划为一个系统,可减少系统管道的长度和管道交叉。
3、有条件时可将4级、5级单向流和6级、7级、8级非单向流组成混合流净化空调系统。
4、洁净室不宜与一般空调房间合为一个系统。
5、使用规律和使用时间不相同的洁净室不宜合为一个净化空调系统。
6、产尘量大、发热量大、有害物多、噪声大的房间宜单独设计为一个系统。
7、混合后会产生剧毒、引起火灾和爆炸的房间不应合为一个净化空调系统。
8、有剧毒和易燃易爆的甲、乙类房间应单独设系统,而且应为不回风的直流系统。
工艺设备局部排风系统的划分原则:
1、工艺设备的局部排风系统不宜过大,每个排风系统的排风点数不宜过多,这样排风管理调节方便,排风效果好。
2、一个排风系统不宜跨在两个或两个以上的净化空调系统。
3、混合后产生剧毒、爆炸、火灾、凝水、结晶和有害物的排风不应合为一个排风系统。
4、使用规律不同房间和设备的排风不应合为一个排风系统。
空调负荷计算(热湿、风量、水力三大平衡计算)
一、洁净室的热负荷计算(热平衡计算)
1、洁净室的热负荷包括下列各项:
① 围护结构的传热负荷计算: (KW)
式中:Ki— 围护结构的传热系数(W/m2℃)
Fi—洁净室围护结构的面积(m2)
—洁净室内外温差(℃)
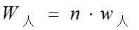
② 室内人员的热负荷计算
人员的显热负荷 Q人显 = n·q人显(kW)
人员的潜热负荷 Q人潜 = n·q人潜(kW)
人员的全热负荷 Q人全 = Q人显+ Q人潜(kW)
式中:n—室内的人数(人)
q显—每个人的显热负荷(kW/人)
q潜—每个人的潜热负荷(kW/人)
③ 室内的照明负荷计算:

(KW)
式中:N—照明设备的功率(kW)
n0—整流器消耗的功率系数(n0=1.0~1.2)
n1— 安装系数(明装n1=1.0,暗装n1=0.6~0.8)
n3—照明设备的同时使用系数。
④ 室内设备的产热负荷计算
电热设备热负荷 Q设热 = n1n3n4N(kW)
电动设备热负荷 Q设动 = n1n2n3N(kW)
电子设备热负荷 Q设电 = n1n2n3N(kW)
式中:N —设备的功率
n1—安装系数(n1= 0.7~0.9)
n2—负荷系数(n2= 0.3~0.7)
n3—同时使用系数。
n4— 通风保温系数。
⑤洁净室总的热负荷计算
总显热负荷:
总全热负荷:
二、洁净室的湿负荷计算(湿平衡计算)
洁净室的湿负荷包括下列各项:
1、室内人员产湿计算:

(kg/h)
式中:w人 —每个人的湿负荷(kg/h·人)
2、室内设备的产湿计算:

(kg/h)
式中:F— 产湿设备的水蒸发面积(m2)
—产湿设备单位面积的水蒸发量(kg/m2·h)
3、洁净室总的湿负荷计算:

三、洁净室的风量计算(风平衡计算)
1、洁净室的送风量的计算
洁净室的送风量不仅仅能消除洁净室的总的余热,余湿以保证洁净室的温度和相对湿度;而且,洁净室的送风量还应能消除室内产生的灰尘等粒子的污染,以保证洁净室的洁净度等级。因此,洁净室的送风量应为消除余热的送风量,消除余湿的送风量和消除粒子污染的净化送风量三者之间最大的送风量为该洁净室的送风量。
① 消除洁净室内余热的送风量计算:

(m3/h)
式中:Q显,Q全—分别为洁净室的显热和全热负荷(kW)。
c—空气的比热(1.01 kJ/kg·℃)
—空气的密度(1.2 kg/m3)
—洁净室的送风温差(℃)
—洁净室的送风焓差(kJ/kg)
② 消除洁净室内余湿的送风量计算:

(m3/h)
式中:W—洁净室的湿负荷(g/h)
—空气的密度(1.2 kg/m3)
—送风的绝对含湿量差(g/kg)
③ 消除(稀释)室内产生粒子的净化送风量计算:
在一般情况下,由于室内产尘量G很难准确,因此,在工程中都不用上述公式计算送风量。而采用断面风速法(单向流洁净室)和换气次数法(非单向流洁净室)进行净化送风量的计算。
气流流型和送风量(静态):

注:① 表中换气次数适应于层高小于4.0m的洁净室。
② 室内人员少、热源少时,宜采用下限值。
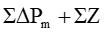
2、洁净室的新风量计算:
洁净室的新风量不仅仅要补充洁净室的排风量和维持洁净室正压的泄漏风量,同时还要保证洁净室内工作人员每人每小时不小于40m3的新鲜空气量的要求。因此:L新=L排+L正≥n·40(m3/h)
式中:L排— 洁净室总的排风量(m3/h);
L正—维持洁净室正压的总泄漏风量(m3/h)
n— 洁净室内人数。
① 洁净室内设备局部排风量计算
L排= 3600×F×V(m3/h)
式中:F— 排风罩的开口面积(m2)
V—开口部的平均风速(m/s)
② 洁净室正压泄漏风量计算:
正压泄风量可用缝隙法和换气次数法进行计算:
缝隙法:

式中:q—单位缝隙长度的漏风量可查表(m3/h·m)
l—缝隙长度(m);—— 漏风系数。
换气次数法可查表得到。
围护结构单位长度缝隙的渗漏风量表(m3/h·m)

洁净室的压差值与房间换气次数表(次/时)

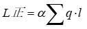
四、净化空调系统的水力计算(水力平衡计算)
净化空调系统的水力计算包括水系统和风系统的水力计算两大部分。水系统(冷冻水和冷却水系统)的水力计算,其目的是为了进行水系统的阻力平衡(减少失调)选择管径和水泵;风系统(送风系统、回风系统、新风系统、排风系统)的水力计算主要目的是为了确定风管的管径(尺寸)和选择风机(送风机、排风机)。
系统的水力计算其实就是系统的阻力计算。
系统的总阻力H总=

(Pa)
式中:— 各管段的磨擦阻力(Pa)。
Z:—各部件的局部阻力(Pa)。
1、磨擦阻力:

(Pa)
式中:— 磨擦阻力系数。
D— 管道的“直径”(m)
圆形管道D即是圆的直径。
矩形管道D为当量直径:

,a和b均为矩形的边长(m)。
v —流体在管道中的平均流速(m/s)。
— 流体的密度(kg/m3)。
L—管道的长度(m)。
—流体的动压头(Pa)。
2、局部阻力:

(Pa)
式中:—空调净化系统中配件的局部阻力系数。
七个典型的空气处理系统即空气处理过程的优化:
此方案的净化空调机组(空气处理机组AHU)集中设置在空调机房内,全部的净化空调送风均在净化空调机组内进行净化和热、湿处理,然后由庞大的送风管道将全部的送风输送到洁净室的吊顶上部,再经过设在洁净室吊顶上的终端高效过滤器或高效过滤器送风口过滤后送到洁净室内,来实现洁净室工艺生产所需要的温度、湿度、洁净度和房间的压差,洁净室的回风经回风口、回风管再接回到空调机房的净化空调机组内与新风混合后重复进行净化和热、湿处理。
此方案又可分为全新风送风方案(直流系统);一次回风方案;一、二次回风方案和(MAU)加(FFU)方案等四种不同的净化空调送风型式。
这种送风方案是当前洁净室特别是非单向流洁净室应用最广泛的净化空调送风方案。这种送风方案的系统划分明确,风量和温、湿度控制调节都单一。
但是洁净度级别较高、送风量较大时,存在着空调机房占面积大,送、回风管体积大占面积和占空间大,送、回风管道长,送风机的余压高,噪音大,风量输送耗电量大等问题。因此,这种送风方案较适用在低级别的非单向流洁净室的送风,对5级以上的单向流洁净室送风就不太经济合理了。
一、AHU全新风的净化空调送风方案(直流系统)
全新风净化空调送风方案是用于特殊的不允许回风的洁净室的送风方案中。如:洁净室内工艺生产类别为甲、乙类火灾危险等级或工艺过程产生有剧毒等有害物不允许回风的洁净送风系统中。其原理图和焓湿图如下。

二、AHU 一次回风的净化空调送风方案
一次回风的送风方案多用在洁净室内的发热量或产湿量很大,消除室内余热或余湿的送风量大于、等于或近于净化送风量的低洁净度等级的非单向流洁净室中。此方案的原理图和焓湿图如下:

四、MAU+RAU的净化空调送风方案
此方案多用于多个洁净室其洁净度,温、湿度要求不同,室内的产热量和产湿量也不尽相近,为了确保每个洁净室的洁净度,温、湿度及其精度的要求,就要设置多个循环机组,循环机组的送风量是净化送风量,并且在机组内设置必要的热、湿处理设备,用来补充新风机组热、湿处理的不足和保证该洁净室温、湿度精度的微调节。
由于循环机组设在洁净室的吊顶上面,循环机组的送风余压相对都较小,机组体积和机组噪声、振动也较小,送回风管也比较短小;但是,要注意循环机组的凝结水排放问题,往往这种方案的问题都出在凝结水排放的处理上。此方案的新风机组设在空调机房内,这些洁净室所需的新风全部由新风机组(MAU)进行净化和热湿的集中处理。然后分配到每一个循环机组内与其回风混合。
新风机组的新风量不仅仅要补充各洁净室的排风还要保证每个洁净室的正压。新风机组的热湿处理最好到某洁净室空气的机械*点露**上,如果将新风热湿处理点低于洁净室的机械*点露**作到新风不仅承担新风本身的湿负荷,而且还将洁净室的湿负荷也消除掉,此时循环机组内的表冷器可为干式表冷器。此方案的原理图和焓湿图如下:

净化送风和空调送风分离的方案,此方案通常被称作半集中式或分散式的送风方案。
为了大大地节省运行时的能耗,将消除洁净室内余热、余湿的空调送风量(通常大大地小于洁净室的净化送风量),由设在空调机房内的新风机组(MAU)进行必要的净化和热湿处理,而将占总送风量50~90%的保证洁净室洁净度的净化送风量由设在洁净室附近的循环机组进行净化和补充的热、湿处理,或直接采用吊顶上的FFU(风机过滤器机组)和干盘管来解决洁净室的洁净度等级和温度的微调节。
此种净化送风与空调送风相分离的送风方案,不仅可节省运行的能耗,而且大大地减少了空调机房面积,省掉了庞大的送、回风管道,降低了洁净室的空间高度。此种净化空调送风方案又可分为:空调机组(AHU)加风机过滤器机组(FFU)方案,新风机组(MAU)加循环机组(RAU)加(FFU)方案;新风机组(MAU)加风机过滤器机组(FFU)加干冷盘管(DC)方案等三种送风方案。
一、空调机组AHU(MAU)加风机过滤器机组(FFU)的净化空调送风方案:
此方案中净化空调系统的全部热、湿负荷(洁净室内产生的热、湿负荷及新风的热、湿负荷)全部由设在空调机房内的空调机组来负担。此时,空调机组的送风量是消除本系统余热、余湿的空调送风量(其中包括全部新风和部分回风,但远远小于保证洁净室洁净度等级的净化送风量),它应能确保洁净室内的温度和相对湿度的恒定。
而该洁净室的洁净度由设在洁净室吊顶上的风机过滤器机组(FFU)将净化送风量就地循环过滤来保证。此方案中应该注意的是,FFU运行过程中所产生的热量也应由空调机组来承担。此方案更适合用于在大面绩非单向流洁净室内有局部的垂直单向流的混合流洁净室中。
其送风原理图和焓湿图如下:

二、新风机组(MAU)加循环机组(RAU)加风机过滤器单元(FFU)净化空调送风方案
此方案多用于多个洁净室其洁净度,温、湿度要求不同,室内的产热量和产湿量也不尽相近,为了确保每个洁净室的洁净度,温、湿度及其精度的要求,就要设置多个循环机组,循环机组的送风量是净化送风量,并且在机组内设置必要的热、湿处理设备,用来补充新风机组热、湿处理的不足和保证该洁净室温、湿度精度的微调节。
由于循环机组设在洁净室的吊顶上面,循环机组的送风余压相对都较小,机组体积和机组噪声、振动也较小,送回风管也比较短小;但是,要注意循环机组的凝结水排放问题,往往这种方案的问题都出在凝结水排放的处理上。
此方案的新风机组设在空调机房内,这些洁净室所需的新风全部由新风机组(MAU)进行净化和热湿的集中处理。然后分配到每一个循环机组内与其回风混合。新风机组的新风量不仅仅要补充各洁净室的排风还要保证每个洁净室的正压。
新风机组的热湿处理最好到某洁净室空气的机械*点露**上,如果将新风热湿处理点低于洁净室的机械*点露**作到新风不仅承担新风本身的湿负荷,而且还将洁净室的湿负荷也消除掉,此时循环机组内的表冷器可为干式表冷器。
当多个洁净室中有若干个1级、10级、100级等高净化级别的垂直单向流洁净室时,为了减少循环机组(RAU)的负担和送、回风管道的断面,此时循环机组仅解决该单向流洁净室的空调送风量,以保证洁净室的温度、相对湿度和洁净室的正压,而占90%以上的绝大部分送风量有设在洁净室吊顶上的FFU来负担,以保证洁净室的高洁净度级别。此方案的原理图和焓湿图如下:

三、新风机组(MAU)加风机过滤器机组(FFU)加干冷盘管(DC)的净化空调送风方案
此方案是新风机组将新风处理到洁净室热湿比线与相对湿度95%线交点以下,新风机组不仅将本身的湿负荷去掉,而且还负担洁净室内产生的湿负荷,新风机组要确保洁净室所需要的相对湿度。而新风机组热处理不足部分的干冷负荷将由设在洁净室吊顶上(或夹道内)的干表冷器来补充。因干表冷器是设在FFU循环空气通过的吊顶上或夹道内,因此,干表冷所弥补的干冷负荷被循环空气带到洁净室内。
由新风机组处理过的新风用管道以最能与FFU循环空气均匀混合的方式送到洁净室的送风静压箱内。
FFU布置在洁净室的吊顶上,与新风混合的循环风经FFU被高效过滤器过滤后送到洁净室内,以保证洁净室的洁净度。FFU的规格以1200mm×600mm和1200mm×1200mm居多,其断面风速应为≥0.45m/s,余压应≥120Pa,噪声应≤50dB(A)为好。FFU的风机风量应可调,高效过滤器应可更换。
干冷盘管一般由双排组成,为了减小阻力铝翅片间距≥3mm,阻力损失应为30~40Pa,循环风通过干盘管的面风速<2m/s,最好为1.5m/s。进入干盘管冷水的进水温度应高于洁净室*点露**温度2℃,通常称为中温冷冻水。虽然叫干盘管,但在起始运行时还可能有凝结水产生,因此干盘管还应有凝结水滴水盘和排水措施。
此方案中,洁净室的相对湿度由新风机组(MAU)来保证,洁净室的温度由干冷盘管来保证,洁净室的洁净度由FFU来保证。
这种MAU加FFU加DC的净化空调送风方案,目前在我国和外国的微电子(集成电路)工业、光电子(TFT-LCD、LCD、LED等)工业等大面积、高洁净度等级的洁净厂房中得以广泛应用,它具有调节方便,节能显著,适应工艺的更新换代,又大大地节省了非生产面积和非生产空间的优点。而且,随着洁净技术和洁净设备的不断发展和进步,FFU风机的效率不断提高,耗电量不断降低,整体价格不断下降,其初投资也与其他类型的送风方案基本持平,但运行费却大大节省。MAU加FFU加DC方案的原理图和焓湿图如下。

本文来源于互联网,作者未注明。暖通南社整理编辑。未完待续。