正如我在索尼135GM内容里提到的那样,人像镜头最重要的两个设计目的是锐度与细节都足够高的焦内,和干净柔和的焦外虚化,而在当前的设计工具和玻璃材料支持下,这两点恰恰都是中长焦大光圈镜头更容易实现的区域,这也是为什么近年来涌现出好几款100mm左右F1.4光圈镜头的原因,其中比较经典的案例就是适马105mm F1.4 ART。

从个头来看不难发现这可是个大家伙,重量是惊悚的1.6公斤!比佳能85mm F1.2重了600多克,与它最般配的机身是1DX2这种自带手柄的速度旗舰,如果是5D4、6D2等机身与之搭配就显得有一丢丢滑稽的感觉……

先来分析一下它的设计吧,无论适马105mm F1.4 ART、尼康105mm F1.4E、索尼135mm F1.8GM,甚至刚刚发布的蔡司Otus 100mm F1.4,它们的共同特点就是都基于Sonnar这个大框架修改而来,Sonnar本身在1930年代就是以打开中长焦大光圈镜头设计而闻名,当然那时候的大光圈还停留在卡尔蔡司180mm F2.8/150mm F4、徕卡Tele-Elmar 135mm F4、尼康Nikkor-P 10.5cm F2.5这种级别上,随着光学设计方式和材料的进步,才有了我们现在的这些F1.4级别中长焦镜头。以我手里这颗适马105mm F1.4 ART为例,它的光学设计如下:

结构上来说有一些可能存在的顾虑,比如第3、4片,也就是整个系统第7、8面的曲面半径很接近,相对会比较容易导致眩光,事实上确实如此:

上为炫光实拍样张,下为从出射卡口内窥的眩光形态

而且第6、12、13、16片中心非常薄,这对冷加工是一个比较大的挑战,特别是最后2个胶合组,应力释放时比较容易产生面型变化,当然,落到最后就是影响成本的问题,以适马目前的加工装配水平来说应该是比较有信心。
可以看到17片镜片里,使用了3片FLD低色散、2片SLD特殊低色散镜片以及1个非球面的设计,这个用料比尼康105mm F1.4E更奢华,整个光路呈葫芦形,第三片FLD处于光线转向位置,利于校正像差,而第1-4和第9-12设计思路十分接近,最后那片非球面的位置感觉不太理想,放到光阑后双胶合面效果会更好,而且考虑到它内部有相当多的双胶合和微小间隙双分离镜组,即便没有非球面,也能通过选择正确光焦度组合的普通材料来实现消球差。当然,它的总体用料仍算是不失理智,特别是对比14片有10片为特殊玻璃的蔡司Otus 100mm F1.4时:

事实上两者还有不少共通之处,而这里可以引发一个思考:为什么要用这么多特殊玻璃,这些玻璃究竟特殊在哪里?
接下来的部分会以光学基础知识为主,可酌情阅读,不想看数学和推算可以直接跳到本段最末的加粗文字部分。
光学玻璃有一个基本特性:同一块玻璃的折射率随波长减短而变大,一般来说将486.1nm波长的F线折射率,减去656.3nm波长的C线折射率,也即nF-nC作为光学材料的平均色散,我们一般说的折射率主要是位于F线和C线中间的587.56nm波长d线,也即nd,它也基本位于我们人眼可见光波长的中间位置。一般来说,nd值越大,也就是标准折射率越大的材料, nF-nC平均色散也越大,换言之即是蓝色光线与红色光线的折射差会明显变大,因此无论适马的SLD、FLD或其他品牌的UD、ED,本质上就是低折射率、低平均色散的光学材质,它们最基本的应用目的就是降低系统色差。除此之外还有一个比较重要的名词:阿贝数,也叫平均色散系数,它的值vd=(nd-1)/(nF-nC),阿贝数越低,色散就越明显。
事实上,针对两个波长消色差的设计其实已经非常成熟,色差分为轴向色差(主要影响焦外)和倍率色差(主要影响焦内)两种,理想近轴光学系统的轴向色差系数是:

作为空间不变线性系统,多个镜片的色差值以连加的形式呈现,h为光线高度,φ为光焦度,v是阿贝数,系统里光线入射高度较大的镜片会贡献更多的色差,这也进一步揭示了为什么小像场系统,比如手机,相对更少出现色差的原因(倍率色差也是如此),校正轴向色差的条件就是φ/v=0,而一个双胶合或只有微小空气间隙的双分离透镜组还应该结合总光焦度来求解,可得两块镜片的光焦度值分别为:


从上可得,如果光组为正,就需要一片低折射率的凸镜搭配一片高折射率的凹镜,如果光组为负,则是一片高折射率的凸镜搭配一片低折射率的凹镜,这样的组合就能比较好的校正两个波长的轴向色差,而这两片镜片的间隔越大,消色差解所需的光焦度会明显增大,相对设计会更复杂一点。事实上倍率色差同样受入射光线高度的影响,校正条件也是φ/v=0,过程就不推演了,所以即便是普通镜片,在双胶合或位置非常贴近的情况下可以同时校正轴向和倍率色差。对于当代镜头来说,佳能的BR光敏注胶材料也是借由一个胶合组合来实现短波长折射率的增加,从而便于校正短波长端轴向色差,减少蓝绿光晕出现,是一个一组顶多组的典型方案。

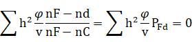
但对于数字成像来说,整个可将光谱甚至超出的部分都得考虑进来,传统的双胶合只能校正其中两个波长的色差,它们的公共焦点或像点相对于中间色光,比如d线的焦点或像点依然存在偏离,所以最终输出依然会有色差,而这种偏离即为二级光谱。行业内针对二级光谱校正的设计也就是大家应该耳熟能详的APO,在这里就假设一个系统针对C线和F线光校正轴上色差后,它们所形成的公共焦点与d线焦点的距离,也就是二级光谱值为:

(nF-nd/(nF-nC)是F线与d线之间的部分分散比,用P Fd来表示,因此,校正二级光谱的条件就是:

结合消色差条件φ/v=0比较可知,二级光谱的校正需要各片玻璃有相同的相对色散,但阿贝数又要相差较大,然而遗憾的是,世上并不存在这种镜片,这正是校正二级光谱有较大难度的原因,而将前面提到的双胶合消色差解代入到上式,可得双胶合或间隙很小的双透镜镜组二级光谱具体数值如下:

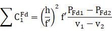
写了这么多终于重点!把注意力放在上式最后的分数部分,简单来说,二级光谱的数值仅由玻璃材料的部分分散比与阿贝数之间的比值所决定,而这个比值对于绝大多数玻璃材料来说几乎呈线性关系,也就是说对于胶合设计来说,二级光谱量与结构没有关系,不同普通玻璃材料组合得到的结果也基本是一个常量,d线相对F线的二级光谱约为0.00052f’。这也正是为什么要使用大量特殊玻璃的原因!对于色差校正来说,特殊的地方在于它们的部分分散比与阿贝数之间的比值并没有遵循线性关系,而是存在一定程度的偏离,而这种偏离就叫异常分散性,异常分散性高的玻璃材料非常有利于校正二级光谱,即便是在非胶合的镜组当中,这种特殊镜片的作用也很重要(事实上现代镜头得益于材料的快速发展,设计上并不再特别提倡胶合),因为这大光圈系统意味着入射光线高度较高,所以适马105mm F1.4 ART等镜头一定会在前组就用上大尺寸的高异常分散性镜片来降低影响,成本是高了点,但物有所值:

上图为100%放大,会看到一定程度的轴向色差,但倍率色差收敛得很不错。但别忘了这是100%放大,在铺满4K显示器观看时,适马105mm F1.4 ART的总体色差控制能力相当不错,即便是在有75mm入瞳孔径的情况下,能达到这种水平已经很不容易。
需要注意的是,正确的材料需要配合正确的设计才能获得最佳效果,单纯的堆料并不一定代表成像素质出色,最好的例子就是奥林巴斯那几颗F1.2镜头,用了非常夸张的设计但像差表现却不尽如人意(但从专利来看那几颗也是适马代设计的,这个嘛……)。而且二次光谱的校正会随离轴程度和孔径变化,往往只能对一个带区进行校正,一般是选择具有最大剩余球差的0.707带光,所以色差的变化往往会比较复杂。
色差控制较好也意味着适马105mm F1.4 ART的颜色会相对更为准确(当然,最终还是得靠机身解马赛克猜色),无论焦内焦外,像点扩散的分布形式除了最基本的衍射之外,也还受镜头像差的影响,其中比较大的一个项目是球差,球差校正幅度不同,前后景点扩散会分别呈中心密集或边缘密集的情况,非球面的引入则会因具体的研磨精度,可能产生一圈圈的“洋葱圈”式分布形态,适马105mm F1.4 ART的光斑正是如此:

同时可以看到几乎没有因轴向色差而出现带色光环,而且9片光阑叶片很圆,整体来说适马105mm F1.4 ART的虚化是相当给力的,特别是在主体与前后景有较长纵深的情况下,根据弥散圆计算公式:

假设背景点光源物距Ub=20米,对焦于Ua=2米,N=F1.4全开,f=105mm,可得弥散圆尺寸C为3.55mm左右,物方对角线有0.85米左右,是半身人像的理想覆盖范围。作为对比,在物方对角线长相同的情况下,如果换用135mm F2则需要将对焦距离增加到2.7米左右,此时再计算弥散圆C=2.93mm。如果继续换成85mm F1.2,对焦距离为1.7米,C=3.23mm,也就是说在主体占比相同的情况下,适马105mm F1.4 ART的虚化强度要大于原厂135L和85mm F1.2。调整到适马105mm F1.4 ART的最短对焦距离1米,物方对角线0.42米左右,比较适合拍特写,虚化光斑也能达到7.48mm左右。
因为轴外光束不能全部通过系统,弥散圆会随离轴幅度增大而呈猫眼状口径蚀,程度与入瞳和像场面积直接关系,几乎所有大光圈镜头都会受此影响,即便是前组都已经做到105mm的适马105mm F1.4 ART:

但事实上这个口径蚀已经算控制得很不错,收到F2.8就基本上看不到口径蚀了:

总体来说适马105mm F1.4 ART的虚化效果是目前佳能系统中长焦段的唯一选择(原厂没有这个焦段镜头),而且效果相当出色,较好的像差校正也意味着它能够很大幅度减小跑焦的几率,配合1DX2的AF-C,环境光条件比较好的情况下出片率还不错。
焦内方面,因中长焦镜头视场角相对更小,受轴外像差的影响也明显没有那么大,再加之此前鲜有超大光圈设计,所以比较容易做到比较平整的MTF,即便是价格没那么高,或相对有些年代的也是如此,佳能“1996年双雄”135L和180L就是比较好的例子。而适马105mm F1.4 ART的全开光圈MTF中心部分很出彩,具备较强的反差呈现能力,细节表现也比较出色,实拍反馈也是如此:

中心部分100%截图,上为F1.4,下为F4,可以看到非常细微的对比度差别,但几乎是可以忽略的。

不过在边缘有较明显的下滑,径向切向有大幅度的偏差,表示全开时边缘会明显受像散影响导致结像不实,作为对比,F4时就会明显好转很多:

上图F1.4,下图F4,边缘部分100%放大

但考虑到这是一颗人像镜头,边缘往往早就被虚化成高斯都认不出来的模样,所以影响不算很大,如果是旅途中偶尔拍拍风光,收缩到F5.6就很OK了,所以从人像焦内表现来说毫无疑问是顶级水平。
对焦速度方面,适马105mm F1.4 ART采用的是从第5片开始整个后组全部移动对焦的设计,涉及到足足12片镜片,所以它在大幅切换对焦点位置时速度不算特别快,配合1DX2这种高电压机身时会比5D4、6D2等机身更快一点,但总体来说配合AF-C抓拍人像的压力不大。
要说关于适马105mm F1.4 ART的遗憾,较大的体重是一个,没有带防抖是另一个,体重是为大孔径校正像差不得已而为之,而中长焦大光圈定焦不带防抖在以前算是默认的设计*规则潜**,其中的原因在于入瞳径的增大必然使入射光束直径变大,进而同样需要有较大尺寸的光学防抖镜片和驱动结构,35mm F2只需要单片就能搞定,到百微就需要厚度和口径明显更大的镜片,且数量达到3片才可实现,佳能最新的85mm F1.4镜片尺寸进一步加大的情况下数量也有3片,到400mm F2.8的时候就更是4片的组合,而且这已经是将防抖模块设计在光路较窄的后组的前提下,可参看下面的对比图:

不难想象到105mm F1.4需要使用多大尺寸的防抖组件才能实现设计目的,对本身就已经相当庞大的体型来说不算一个好消息,这也是为什么在无反领域各大品牌会以机身防抖为主要方向的原因之一。

好在目前的全画幅单反几乎都有着相当不错的底噪控制/降噪涂抹技术,高ISO下F1.4即便在室内手持出片率也不算太低,觉得端太久受不了的话可以上独脚架稳一稳,适马105mm F1.4 ART是标配脚架环的。至少对于佳能EF卡口单反,适马105mm F1.4 ART是目前独此一家的人像之选,从设计到实战输出都算是优明显大于劣,比较适合有85mm F1.8甚至135L的朋友们升级。
对了,为了回馈头条的朋友们(无论你有没有怼过我),我决定近期搞个小抽奖,奖品可能是键盘鼠标之类的,礼轻情意重,有空就关注一下我的微头条吧,谢谢各位。