上一期写过了指数运算法则和指数函数之后,这一期写一下对数的运算法则和对数函数性质。(对数与指数是互为反函数,现在国内高中高一好像也没有要求反函数,不知道反函数的省略这句话,可以看接下来的转化。)

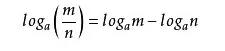
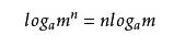
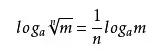
一.对数函数运算法则:




这四个公式可以由指数幂的运算和上面的指数对数转化的关系来得到,有兴趣的读者可以推导一下。
二.对数函数的性质:
一般地,函数y=logaX(a>0,且a≠1)叫做对数函数,也就是说以幂(真数)为自变量,指数为因变量,底数为常量的函数,叫对数函数。

区别:对数函数的底数a>1时,图像单调递增,当x趋于0时,函数值趋于负无穷;底数0<a<1时,图像单调递减,当x趋于0时,函数值趋于正无穷。(这个单调性的区别和指数函数相同,不同的是定义域和值域,下一条讲到。)
相同点:图像都位于y轴右边,即对数函数的定义域是(0,+∞);所有对数函数都过定点(1,0)。