
有石CAD自动下单排版软件
点击了解:有石CAD自动下单排版软件,让你的团队更专业更高效
图1中的线条大量应用在天花与方柱的柱脚与柱顶的装饰上,这种线条被称为三维线条,加工中最麻烦的是在切角工序上,生产加工时生产员工就怕这种线条的切角,弄不好就切错了,导致产品的报废。这种线条切角工艺被称为三维切角。
图2是这种线条的CAD图表示方法。

图1

图2
三维线条的切角也没什么可怕,只要弄明白了相拼接线条之间的拼接关系,采用适当的切角方法就可以正确地切出符合加工要求的角。
三维切角方法有两种:立式切角法与水平切角法。
所谓的立式切角法就是将线条立起来的切角方法,见图3、图4。

图3

图4
图5与图6是立式切角法定位模制作实操图。定位模制作时特别注意图3中的两个关键参数a(水平长度)、b(垂直高度),这两个参数的准确决定了切角的精度。
定位模制作好后,用夹具固定牢固,避免切角过程中因为定位模的移动影响切角精度。

图5

图6
所谓的水平切角法就是将线条放水平切角的方法,见图7、图8。
与立式切角方法相比,笔者认为水平切角法更简单,方便,不需要象立式切角法要制作定位模,太麻烦了。 但是水平切角法对切角的机器有相应的要求,要求工作台或机头可准确旋转任意角度,同时机头架还可以倾斜摆角,机器不具备这两种功能就不能以水平放置的方式完成切角,从图8可以看出切角面处与线条的底面还有个倾斜的角。虽然这两年有国产的电子桥切机,只有少数石材加工企业有这种机器,但远远不够,因此还有非常多的石材加工企业不能完成水平放置切角,只可以以立式切角的方法完成三维线条的切角。不过用立式切角法切三维线条的角,当立起的高度超过300mm时,立式切角法就不能用了,或切角时会相当麻烦,因为国产的桥切机大多不能过300mm的高度。

图7

图8
图9这种电子桥切机是三维线条水平放置切角法理想的机器。

图9
水平放置切角法的两个重要切角参数:摆角与斜角,只要计算出这两个参数就可以方便完成三维线条的切角了。
图10为水平放置法切三维线条的“摆角”与“斜角”图。
图中字母α为刀架与工作台垂直线的夹角,即刀架的摆角或叫扳角。
β为切角面与三维线条端面的夹角;
θ为三维线条的倾斜角。
α、β、θ三角之间的关系:
α=arctgEF/CE,其中AC=BC=a,BD=b,当∠CAB=45°,一般也是切45°角。
α=arctgb/

①
β=arccos/

②
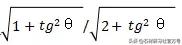
把a,b消掉,用θ表示,得α=arctgθ/

,
β=arccos/

在=45°,α=30°,β=35°。
当∠CAB≠45°时,需要另行依据图10计算α,β值。但∠CAB≠45°的情况极少,通常都是∠CAB=45°。
按 ①公式切角时要注意待切斜面角是撇底还是撇面。
先左右各试切一件,试拼后没问题再批量加工。

图10
搞明白了三维线条切角水平放置切角的工艺,从此三维线条切角再没难度了!
作者晏辉
未经授权请勿转载