中考数学压轴题求三角形相似 (中考数学必考知识点相似三角形)

中考数学冲刺复习之抛物线相似三角形精讲解析+精练

#大有学问#​

中考初中几何模型

¥65.9

购买

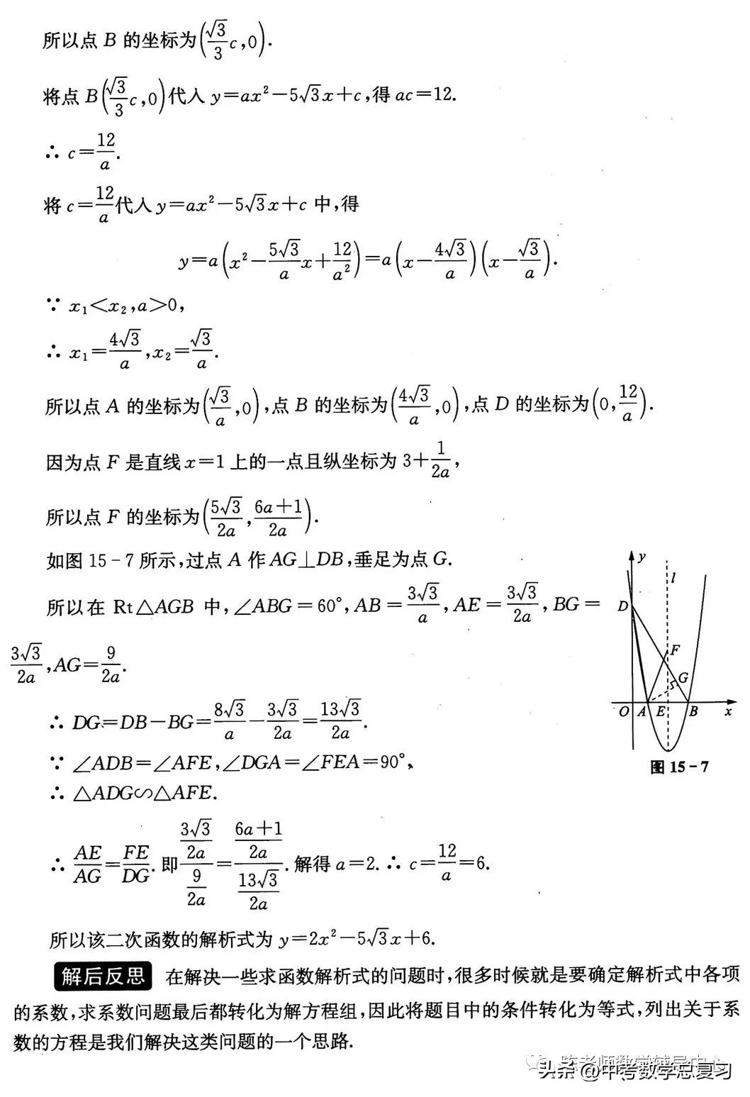
抛物线三角形相似问题,中考数学相似三角形综合题训练

抛物线三角形相似问题,中考数学相似三角形综合题训练

抛物线三角形相似问题,中考数学相似三角形综合题训练

抛物线三角形相似问题,中考数学相似三角形综合题训练

抛物线三角形相似问题,中考数学相似三角形综合题训练

抛物线三角形相似问题,中考数学相似三角形综合题训练

抛物线三角形相似问题,中考数学相似三角形综合题训练

抛物线三角形相似问题,中考数学相似三角形综合题训练

抛物线三角形相似问题,中考数学相似三角形综合题训练

抛物线三角形相似问题,中考数学相似三角形综合题训练

抛物线三角形相似问题,中考数学相似三角形综合题训练

抛物线三角形相似问题,中考数学相似三角形综合题训练

抛物线三角形相似问题,中考数学相似三角形综合题训练

抛物线三角形相似问题,中考数学相似三角形综合题训练

抛物线三角形相似问题,中考数学相似三角形综合题训练

抛物线三角形相似问题,中考数学相似三角形综合题训练

抛物线三角形相似问题,中考数学相似三角形综合题训练