同学们大家好,今天吴老师为大家讲解一下圆锥的表面积与体积。圆锥的表面积与体积是一个难点比较不好理解,希望同学们认真学习,仔细思考。
圆锥的表面积与体积
以直角三角形的直角边所在直线为旋转轴,其余两边旋转而形成的曲面所围成的几何体叫做圆锥。圆锥的高h:圆锥的顶点到圆锥的底面圆心之间的最短距离叫做圆锥的高;圆锥母线l:圆锥的侧面展开形成的扇形的半径或底面圆周上任意一点到顶点的距离。

(一)、圆锥的表面积等于圆锥底面圆面积加圆锥侧面扇形面积。
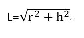
圆锥的底面是一个圆,底面圆的面积用π可以求出。圆锥的侧面展开后是一个扇形,因为这个扇形的半径(圆锥母线l)与圆锥的高h和圆锥的底面圆半径r可以组成一个直角三角形,所以圆锥侧面扇形的半径(圆锥母线l)可以用勾股定理求出,即:

。
要想求出圆锥侧面扇形的面积首先需要知道求扇形面积的方法,扇形面积的计算公式方法常用的有两种:

方法一:用扇形占其所在圆面积的比例计算出扇形的面积。
首先用圆锥侧面扇形的半径(圆锥母线l)可求出扇形所在圆的面积π。再求出圆锥侧面扇形的弧长(即:圆锥的底面圆周长2πr)与圆锥侧面扇形所在圆的周长2πl之比,因为圆锥侧面扇形的弧长与圆锥侧面扇形所在圆的周长之比等于圆锥侧面扇形面积与其所在圆面积之比,这样就可以求出圆锥侧面扇形的面积。然后把圆锥的底面圆面积加上圆锥侧面扇形的面积就可以求出圆锥的表面积。公式为:

方法二:用扇形面积的计算公式求圆锥侧面扇形的面积。
扇形面积=扇形弧长×扇形半径÷2

在知道扇形面积的计算公式且就可以计算圆锥侧面扇形的面积,出圆锥侧面扇形的弧长L等于圆锥的底面圆周长2πr,圆锥侧面扇形的半径R等于圆锥母线l。

这时我们会发现通过以上两种方法计算得出的圆锥侧面扇形的面积公式最后都为:S圆锥侧面=πrl,最终我们得出圆锥的表面积计算公式为:


(二)、圆锥的体积等于同底等高圆柱体体积的三分之一。






圆锥的表面积与体积今天就为同学们讲到这里,下节课为大家讲解圆台的表面积与体积。
同学们有什么问题可以私信吴老师,我会第一时间为大家解答!