超越数是不能满足任何整系数代数方程的实数。定义恰与代数数相反。两个著名的例子:圆周率π=3.1415926535…|自然对数的底e=2.718281828…可以证明超越数有无穷多个。在实数中除了代数数外,其余的都是超越数。实数可以作如下分类:实数分为实代数数、实超越数。所有超越数构成的集是一个不可数集。这暗示超越数远多于代数数。可是,现今发现的超越数极少,因为要证明一个数是超越数或代数数是十分困难的。
| 值 | 名称 | |
|---|---|---|
| π | ≈ 3.14159 26535 89793 23846 26433 83279 50288 | 圆周率 |
| e | ≈ 2.71828 18284 59045 23536 02874 71352 66249 | 自然对数的底 |
| φ | ≈ 0.61803 39887 49894 84820 45868 34365 63811 | 黄金比 |
| √2 | ≈ 1.41421 35623 73095 04880 16887 24209 69807 | 毕达哥拉斯常数 |
| γ | ≈ 0.57721 56649 01532 86060 65120 90082 40243 | 欧拉常数 |
φ
把一条线段分割为两部分,使其中一部分与全长之比等于另一部分与这部分之比。其比值是一个无理数,取其前三位数字的近似值是0.618。由于按此比例设计的造型十分美丽,因此称为黄金分割,也称为中外比。这是一个十分有趣的数字,我们以0.618来近似,通过简单的计算就可以发现:
1/0.618=1.618
(1-0.618)/0.618=0.618
做一个RT三角形ABC,直边AC的长度是斜边BC的一半,以C为圆心,AC为半径,做圆交BC于D,以B为圆心,BD为半径做圆交AB于E,BE与EA之比即为黄金分割。笔直可计算出,为
[5^(1/2)-1]/2≈0.618
这个数值的作用不仅仅体现在诸如绘画、雕塑、音乐、建筑等艺术领域,而且在管理、工程设计等方面也有着不可忽视的作用。
让我们首先从一个数列开始,它的前面几个数是:1、1、2、3、5、8、13、21、34、55、89、144…..这个数列的名字叫做"斐波那契数列",这些数被称为"菲斐波那契数"。特点是除前两个数(数值为1)之外,每个数都是它前面两个数之和。
菲波那契数列与黄金分割有什么关系呢?经研究发现,相邻两个菲波那契数的比值是随序号的增加而逐渐趋于黄金分割比的。即f(n)/f(n-1)-→0.618…。由于菲波那契数都是整数,两个整数相除之商是有理数,所以只是逐渐逼近黄金分割比这个无理数。但是当我们继续计算出后面更大的菲波那契数时,就会发现相邻两数之比确实是非常接近黄金分割比的。
一个很能说明问题的例子是五角星/正五边形。五角星是非常美丽的,我们的*旗国**上就有五颗,还有不少国家的*旗国**也用五角星,这是为什么?因为在五角星中可以找到的所有线段之间的长度关系都是符合黄金分割比的。正五边形对角线连满后出现的所有三角形,都是黄金分割三角形。
由于五角星的顶角是36度,这样也可以得出黄金分割的数值为2Sin18 。
黄金分割奇妙之处,在于其比例与其倒数是一样的。例如:1.618的倒数是0.618,而1.618:1与1:0.618是一样的。 确切值为根号5减1再除以2.
现在科学研究表明,0.618的位置经常成为自然界乃至生活的最佳状态。
有趣的是,人们认为乐曲也有“黄金分割”。数学家对莫扎特的乐曲做过分析:莫扎特的每一段钢琴协奏曲都可以分成两大部分,显示部和展开——再现部。如果计算一下节拍次数,其第一部分和第二部分节拍数的比几乎与黄金分割完全一致。
0.618也可以用于健康长寿方面。人的正常体温为37℃,与0.618的乘积为22.8℃,因此人在环境温度为22℃至24℃时感觉最舒适,这时肌体的新陈代谢、生理节奏和生理功能处于最佳状态。人的动与静也应该保持0.618的比例关系,大致四分动、六分静,这是最佳的养生和长寿之道。
这个数字在自然界和人们生活中到处可见:人们的肚脐是人体总长的黄金分割点,人的膝盖是肚脐到脚跟的黄金分割点。大多数门窗的宽长之比也是0.618…;有些植茎上,两张相邻叶柄的夹角是137度28’,这恰好是把圆周分成1:0.618……的两条半径的夹角。据研究发现,这种角度对植物通风和采光效果最佳。

建筑师们对数字0.618…特别偏爱,无论是古埃及的金字塔,还是巴黎的圣母院,或者是近世纪的法国埃菲尔铁塔,都有与0.618…有关的数据。人们还发现,一些名画、雕塑、摄影作品的主题,大多在画面的0.618…处。艺术家们认为弦乐器的琴马放在琴弦的0.618…处,能使琴声更加柔和甜美。
数字0.618…更为数学家所关注,它的出现,不仅解决了许多数学难题(如:十等分、五等分圆周;求18度、36度角的正弦、余弦值等),而且还使优选法成为可能。优选法是一种求最优化问题的方法。如在炼钢时需要加入某种化学元素来增加钢材的强度,假设已知在每吨钢中需加某化学元素的量在1000—2000克之间,为了求得最恰当的加入量,需要在1000克与2000克这个区间中进行试验。通常是取区间的中点(即1500克)作试验。然后将试验结果分别与1000克和2000克时的实验结果作比较,从中选取强度较高的两点作为新的区间,再取新区间的中点做试验,再比较端点,依次下去,直到取得最理想的结果。这种实验法称为对分法。但这种方法并不是最快的实验方法,如果将实验点取在区间的0.618处,那么实验的次数将大大减少。这种取区间的0.618处作为试验点的方法就是一维的优选法,也称0.618法。实践证明,对于一个因素的问题,用“0.618法”做16次试验就可以完成“对分法”做2500次试验所达到的效果。因此大画家达·芬奇把0.618…称为黄金数。
π
π是第十六个希腊字母的小写。 π这个符号,亦是希腊语 περιφρεια (表示周边,地域,圆周等意思)的首字母。1706年英国数学家威廉•琼斯(William Jones ,1675-1749)最先使用“π”来表示圆周率 。1736年,瑞士大数学家欧拉也开始用 π表示圆周率。从此,π便成了圆周率的代名词。圆周率(Pi)是圆的周长与直径的比值,是一个在数学及物理学中普遍存在的数学常数。π也等于圆形之面积与半径平方之比。 在分析学里,π可以严格地定义为满足sin x = 0的最小正实数x。

对于圆周率探索的历史可以追溯到古埃及时期。建造于公元前2500年左右的胡夫金字塔就和圆周率有关,金字塔的周长和高度之比等于圆周率的两倍,正好等于圆的周长和半径之比。
公元263年,中国数学家刘徽用“割圆术”计算圆周率,他先从圆内接正六边形,逐次分割一直算到圆内接正192边形。他说“割之弥细,所失弥少,割之又割,以至于不可割,则与圆周合体而无所失矣。”,包含了求极限的思想。
人们对圆周率精确值的探索一直以来孜孜不倦,以前的人计算圆周率,是要探究圆周率是否循环小数。自从1761年兰伯特证明了圆周率是无理数,1882年林德曼证明了圆周率是超越数后,圆周率的神秘面纱就被揭开了。
割圆到1536边形,求出3072边形的面积,得到令自己满意的圆周率 :3927/1250 ≈3.1416;
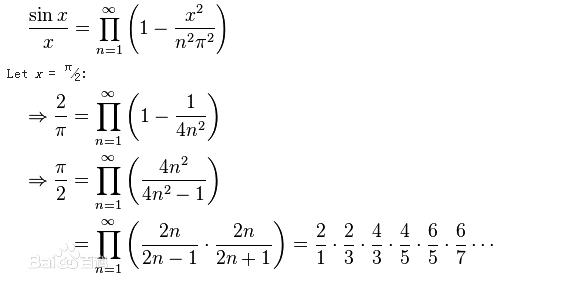
Leibniz定理:

wallis公式:

e
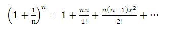
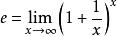
自然常数e就是lim(1+1/x)^x,x→+∞或lim(1+z)^(1/z),z→0,其值约为2.71828,是一个无限不循环小数。为超越数。
当我们利用公比稍大于1的等比数列来构造对数时,e这个值就出现了,由此可以得到表达式

其中n是一个很大的整数,n越大,这个式子越接近一个特定的数e。

或
其中0!=1
自然常数经常在公式中做对数的底。比如,对指数函数和对数函数求导时,就要使用自然常数。函数y=f(x)=a^x的导数为f’(x)=a^x*ln(a)。函数y=f(x)=loga(x)的导数为f’(x)=loga(e)/x。
自然常数也和质数分布有关。有某个自然数a,则比它小的质数就大约有a/ln(a)个。在a较小时,结果不太正确。但是随着a的增大,这个定理会越来越精确。这个定理叫素数定理,由高斯发现。
e在自然科学中的应用并不亚于π值。像原子物理和地质学中考察放射性物质的衰变规律或考察地球年龄时便要用到e。
在用齐奥尔科夫斯基公式计算火箭速度时也会用到e,在计算储蓄最优利息及生物繁殖问题时,也要用到e。
同π一样,e也会在意想不到的地方出现,例如:“将一个数分成若干等份,要使各等份乘积最大,怎么分?”要解决这个问题便要同e打交道。答案是:使等分的各份尽可能接近e值。如,把10分成10÷e≈3.7份,但3.7份不好分,所以分成4份,每份为10÷4=2.5,这时2.5^4=39.0625乘积最大,如分成3或5份,乘积都小于39。e就是这样神奇的出现了。
1792年,15岁的高斯发现了素数定理:“从1到任何自然数N之间所含素数的百分比,近似等于N的自然对数的倒数;N越大,这个规律越准确。”这个定理到1896年才由法国数学家阿达玛和几乎是同一时期的比利时数学家布散所证明。以e为底还有很多优越性。如以e为底编制对数表最好;微积分公式也具有最简的形式。这是因为只有e^x导数就是其自身,即d/dx(e^x)=e^x。
The End