求三角形面积
在三角形ABC中,AB = 13, BC = 14, AC = 15。设D是BC的中点,E是角BAC的平分线与BC的交点。求三角形ADE的面积。

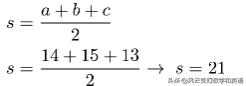
解法1:
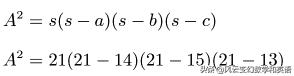
利用海伦定理,求三角形ABC的面积,

因此面积的平方为:

A=84
已知D是BC的中点BD=CD=7,
根据角分线定理(角分线的两边之比等于被分角对应边长被分割的线段之比,可用正弦定理证明)

而三角形的面积之比,由于高相等,就是底边之比:

ED=CE-CD=7.5-7=1/2
所以

解法2:

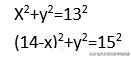
如图做三角形ABC底边BC的高AH, H是垂足, 令BH=x, 则CH=14-x, 同时设AH=y,
根据勾股定理在直角三角形ABH和直角三角形ACH中分别有:

解这个方程组,x=5, y=12,
再次利用角平分线定理:

解得BE=13/2
根据D是中点,有BD=7,
所以DE=BD-BE=7-6.5=1/2,
利用三角形面积公式S=ah/2=0.5x12/2=3.
后记:在上面两种解法中两次用到了角的平分线定理,这是一个非常容易证明的定理,读者可结合下列图可清楚地证得。

因为:

由于等式右边的比值由于角被平分相等和互补的角的正弦相等,所以比值相等
因此:
