主成分分析基本数学原理 (pca主成分分析怎么分析)

很多机器学习算法的复杂度和数据的维数有着密切关系,甚至与维数呈指数级关联,因此数据降维是数据挖掘绕不开的步骤。

降维一般可能会导致信息的丢失,不过鉴于实际数据本身常常存在的相关性,我们可以想办法在降维的同时将信息的损失尽量降低。一般使用两种方法:

1.特征选择是从特征中选择其中的一个子集来作为新的特征。最佳子集是以最少的维贡献最大的正确率,丢弃不重要的维度。

2.特征提取是指将高纬度的特征经过某个函数映射至低纬度作为新的特征。

常用的特征抽取方法就是PCA(主成分分析)。

1,PCA的作用

PCA 用于对一组连续正交分量中的多变量数据集进行方差最大方向的分解。是一种常用的线性降维数据分析方法,其实质是在能尽可能好的代表原特征的情况下,将原特征进行线性变换、映射至低纬度空间中。也就是将n维特征映射到k维空间上k<n,这k维特征是线性无关的。

注意:这是重新构造出来的k维特征,而不是简单地从n维特征中去除其余n−k维特征,因为有可能是某些新特征可能是几个原特征经过变换而来的;这也是特征选择和特征提取的根本区别。

2,PCA的数学原理

数据降维使用到矩阵变换,如果要想搞清楚,可能需要回去翻高等代数了,但是课本上讲的又晦涩难懂,不太友好。幸好,偶然间发现了一篇文章以简洁的形式表述了矩阵变换背后的数学原理。

参考如下:http://blog.codinglabs.org/articles/pca-tutorial.html

2.1我们先从向量说起

2.1.1內积和投影

在高中的时候我们就学过向量的內积,定义如下:

(a1,a2,a3,…,an)*( b1,b2,b3,…,bn)= a1b1+a2b2+……+anbn

内积运算将两个向量映射为一个实数, 我们分析内积的几何意义。假设A和B是两个n维向量,我们知道n维向量可以等价表示为n维空间中的一条从原点发射的有向线段,为了简单起见我们假设A和B均为二维向量,则

主成分分析基本数学原理,PCA主成分分析代码

则在二维平面上A和B可以用两条发自原点的有向线段表示,见下图:

主成分分析基本数学原理,PCA主成分分析代码

我们从A点向B所在直线引一条垂线。我们知道垂线与B的交点叫做A在B上的投影,再设A与B的夹角是a,则投影的矢量长度为

主成分分析基本数学原理,PCA主成分分析代码

,其中

主成分分析基本数学原理,PCA主成分分析代码

是向量A的模,也就是A线段的标量长度。

注:标量长度总是大于等于0,值就是线段的长度;而矢量长度可能为负,其绝对值是线段长度,而符号取决于其方向与标准方向相同或相反。

到这里还是看不出内积和这东西有什么关系,不过如果我们将内积表示为另一种我们熟悉的形式:

主成分分析基本数学原理,PCA主成分分析代码

现在事情似乎是有点眉目了:A与B的内积等于A到B的投影长度乘以B的模。再进一步,如果我们假设B的模为1,即让|B|=1|B|=1,那么就变成了:

主成分分析基本数学原理,PCA主成分分析代码

也就是说,设向量B的模为1,则A与B的内积值等于A向B所在直线投影的矢量长度这就是内积的一种几何解释

2.1.2基坐标

主成分分析基本数学原理,PCA主成分分析代码

如上图,我们一般说这个向量表示为(3,2),其实这样说也对也不对,更准确的说是,这个向量是以x轴和y轴上正方向并且长度为1的向量为基准的向量,也就是说,在这个基坐标下,这个向量才表示为(3,2),它在x轴投影为3而y轴的投影为2。注意投影是一个矢量,所以可以为负。

更正式的说,向量(x,y)实际上表示线性组合:x(1,0)+y(0,1)。

此处(1,0)和(0,1)叫做二维空间中的一组基坐标。

所以,要准确描述向量,首先要确定一组基,然后给出在基所在的各个直线上的投影值,就可以了。只不过我们经常省略第一步,而默认以(1,0)和(0,1)为基。

例如,(1,1)和(-1,1)也可以成为一组基。一般来说,我们希望基的模是1,因为从内积的意义可以看到,如果基的模是1,那么就可以方便的用向量点乘基而直接获得其在新基上的坐标了!实际上,对应任何一个向量我们总可以找到其同方向上模为1的向量,只要让两个分量分别除以模就好了。例如,上面的基可以变为

主成分分析基本数学原理,PCA主成分分析代码

现在,我们想获得(3,2)在新基上的坐标,即在两个方向上的投影矢量值,那么根据内积的几何意义,我们只要分别计算(3,2)和两个基的内积,不难得到新的坐标为

主成分分析基本数学原理,PCA主成分分析代码

主成分分析基本数学原理,PCA主成分分析代码

这里要注意的是,我们列举的例子中基是正交的(即内积为0,或直观说相互垂直),但可以成为一组基的唯一要求就是线性无关,非正交的基也是可以的。不过因为正交基有较好的性质,所以一般使用的基都是正交的。

2.1.3基变换的矩阵表示

下面我们找一种简便的方式来表示基变换。还是拿上面的例子,想一下,将(3,2)变换为新基上的坐标,就是用(3,2)与第一个基做内积运算,作为第一个新的坐标分量,然后用(3,2)与第二个基做内积运算,作为第二个新坐标的分量。实际上,我们可以用矩阵相乘的形式简洁的表示这个变换:

主成分分析基本数学原理,PCA主成分分析代码

其中矩阵的两行分别为两个基,乘以原向量,其结果刚好为新基的坐标。可以稍微推广一下,如果我们有m个二维向量,只要将二维向量按列排成一个两行m列矩阵,然后用"基矩阵"乘以这个矩阵,就得到了所有这些向量在新基下的值。例如(1,1),(2,2),(3,3),想变换到刚才那组基上,则可以这样表示:

主成分分析基本数学原理,PCA主成分分析代码

于是一组向量的基变换被干净的表示为矩阵的相乘。

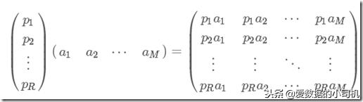
一般的,如果我们有M个N维向量,想将其变换为由M个R维向量表示的新空间中(R<N),那么首先将R个基按行组成矩阵A,然后将向量按列组成矩阵B,那么两矩阵的乘积AB就是变换结果,其中AB的第m列为A中第m列变换后的结果。

数学表示为:

主成分分析基本数学原理,PCA主成分分析代码

其中Pi是一个行向量,表示第i个基,aj是一个列向量,表示第j个原始数据记录。

特别要注意的是,R决定了变换后数据的维数。也就是说,我们可以将N维数据变换到更低维度的空间中去,变换后的维度取决于基的数量。因此这种矩阵相乘的表示也可以表示降维变换。

最后,上述分析同时给矩阵相乘找到了一种物理解释:两个矩阵相乘的意义是将右边矩阵中的每一列列向量变换到左边矩阵中每一行行向量为基所表示的空间中去。更抽象的说,一个矩阵可以表示一种线性变换。很多同学在学线性代数时对矩阵相乘的方法感到奇怪,但是如果明白了矩阵相乘的物理意义,其合理性就一目了然了。

2.2 优化目标

上面我们讨论了选择不同的基可以对同样一组数据给出不同的表示,而且如果基的数量少于向量本身的维数,则可以达到降维的效果。但是我们还没有回答一个最最关键的问题:如何选择基才是最优的。或者说,如果我们有一组N维向量,现在要将其降到K维(K小于N),那么我们应该如何选择K个基才能最大程度保留原有的信息?

要完全数学化这个问题非常繁杂,这里我们用一种非形式化的直观方法来看这个问题。

为了避免过于抽象的讨论,我们仍以一个具体的例子展开。假设我们的数据由五条记录组成,将它们表示成矩阵形式:

主成分分析基本数学原理,PCA主成分分析代码

其中每一列为一条数据记录,而一行为一个字段。为了后续处理方便,我们首先将每个字段内所有值都减去字段均值,其结果是将每个字段都变为均值为0(这样做的道理和好处后面会看到)。

我们看上面的数据,第一个字段均值为2,第二个字段均值为3,所以变换后:

主成分分析基本数学原理,PCA主成分分析代码

我们可以看下五条数据在平面直角坐标系内的样子:

主成分分析基本数学原理,PCA主成分分析代码

现在问题来了:如果我们必须使用一维来表示这些数据,又希望尽量保留原始的信息,你要如何选择?

通过上一节对基变换的讨论我们知道,这个问题实际上是要在二维平面中选择一个方向,将所有数据都投影到这个方向所在直线上,用投影值表示原始记录。这是一个实际的二维降到一维的问题。

那么如何选择这个方向(或者说基)才能尽量保留最多的原始信息呢?一种直观的看法是:希望投影后的投影值尽可能分散。

以上图为例,可以看出如果向x轴投影,那么最左边的两个点会重叠在一起,中间的两个点也会重叠在一起,于是本身四个各不相同的二维点投影后只剩下两个不同的值了,这是一种严重的信息丢失,同理,如果向y轴投影最上面的两个点和分布在x轴上的两个点也会重叠。所以看来x和y轴都不是最好的投影选择。我们直观目测,如果向通过第一象限和第三象限的斜线投影,则五个点在投影后还是可以区分的。

下面,我们用数学方法表述这个问题。

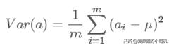
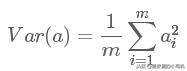
2.3 方差

上文说到,我们希望投影后投影值尽可能分散,而这种分散程度,可以用数学上的方差来表述。此处,一个字段的方差可以看做是每个元素与字段均值的差的平方和的均值,即:

主成分分析基本数学原理,PCA主成分分析代码

由于上面我们已经将每个字段的均值都化为0了,因此方差可以直接用每个元素的平方和除以元素个数表示:

主成分分析基本数学原理,PCA主成分分析代码

于是上面的问题被形式化表述为:寻找一个一维基,使得所有数据变换为这个基上的坐标表示后,方差值最大。

2.4 协方差

对于上面二维降成一维的问题来说,找到那个使得方差最大的方向就可以了。不过对于更高维,还有一个问题需要解决。考虑三维降到二维问题。与之前相同,首先我们希望找到一个方向使得投影后方差最大,这样就完成了第一个方向的选择,继而我们选择第二个投影方向。

如果我们还是单纯只选择方差最大的方向,很明显,这个方向与第一个方向应该是"几乎重合在一起",显然这样的维度是没有用的,因此,应该有其他约束条件。从直观上说,让两个字段尽可能表示更多的原始信息,我们是不希望它们之间存在(线性)相关性的,因为相关性意味着两个字段不是完全独立,必然存在重复表示的信息。

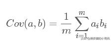
数学上可以用两个字段的协方差表示其相关性,由于已经让每个字段均值为0,则:

主成分分析基本数学原理,PCA主成分分析代码

可以看到,在字段均值为0的情况下,两个字段的协方差简洁的表示为其内积除以元素数m。

当协方差为0时,表示两个字段完全独立。为了让协方差为0,我们选择第二个基时只能在与第一个基正交的方向上选择。因此最终选择的两个方向一定是正交的。

至此,我们得到了降维问题的优化目标:将一组N维向量降为K维(K大于0,小于N),其目标是选择K个单位(模为1)正交基,使得原始数据变换到这组基上后,各字段两两间协方差为0,而字段的方差则尽可能大(在正交的约束下,取最大的K个方差)

2.5 协方差矩阵

上面我们导出了优化目标,但是这个目标似乎不能直接作为操作指南(或者说算法),因为它只说要什么,但根本没有说怎么做。所以我们要继续在数学上研究计算方案。

我们看到,最终要达到的目的与字段内方差及字段间协方差有密切关系。因此我们希望能将两者统一表示,仔细观察发现,两者均可以表示为内积的形式,而内积又与矩阵相乘密切相关。于是我们来了灵感:

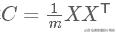
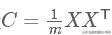
假设我们只有a和b两个字段,那么我们将它们按行组成矩阵X:

主成分分析基本数学原理,PCA主成分分析代码

然后我们用X乘以X的转置,并乘上系数1/m:

主成分分析基本数学原理,PCA主成分分析代码

奇迹出现了!这个矩阵对角线上的两个元素分别是两个字段的方差,而其它元素是a和b的协方差。两者被统一到了一个矩阵的。

根据矩阵相乘的运算法则,这个结论很容易被推广到一般情况:

设我们有m个n维数据记录,将其按列排成n乘m的矩阵X,设

主成分分析基本数学原理,PCA主成分分析代码

,则C是一个对称矩阵,其对角线分别个各个字段的方差,而第i行j列和j行i列元素相同,表示i和j两个字段的协方差

2.6 协方差矩阵对角化

根据上述推导,我们发现要达到优化目前,等价于将协方差矩阵对角化:即除对角线外的其它元素化为0,并且在对角线上将元素按大小从上到下排列,这样我们就达到了优化目的。这样说可能还不是很明晰,我们进一步看下原矩阵与基变换后矩阵协方差矩阵的关系:

设原始数据矩阵X对应的协方差矩阵为C,而P是一组基按行组成的矩阵,设Y=PX,则Y为X对P做基变换后的数据。设Y的协方差矩阵为D,我们推导一下D与C的关系:

主成分分析基本数学原理,PCA主成分分析代码

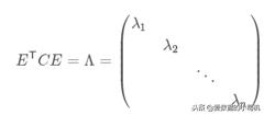
现在事情很明白了!我们要找的P不是别的,而是能让原始协方差矩阵对角化的P。换句话说,优化目标变成了寻找一个矩阵P,满足

主成分分析基本数学原理,PCA主成分分析代码

是一个对角矩阵,并且对角元素按从大到小依次排列,那么P的前K行就是要寻找的基,用P的前K行组成的矩阵乘以X就使得X从N维降到了K维并满足上述优化条件

现在所有焦点都聚焦在了协方差矩阵对角化问题上,有时,我们真应该感谢数学家的先行,因为矩阵对角化在线性代数领域已经属于被玩烂了的东西,所以这在数学上根本不是问题。

由上文知道,协方差矩阵C是一个是对称矩阵,在线性代数上,实对称矩阵有一系列非常好的性质:

1)实对称矩阵不同特征值对应的特征向量必然正交。

2)设特征向量λ重数为r,则必然存在r个线性无关的特征向量对应于λ,因此可以将这r个特征向量单位正交化。

由上面两条可知,一个n行n列的实对称矩阵一定可以找到n个单位正交特征向量,设这n个特征向量为

主成分分析基本数学原理,PCA主成分分析代码

我们将其按列组成矩阵:

主成分分析基本数学原理,PCA主成分分析代码

则对协方差矩阵C有如下结论:

主成分分析基本数学原理,PCA主成分分析代码

其中Λ为对角矩阵,其对角元素为各特征向量对应的特征值(可能有重复)。

以上结论不再给出严格的数学证明,对证明感兴趣的朋友可以参考线性代数书籍关于"实对称矩阵对角化"的内容。

到这里,我们发现我们已经找到了需要的矩阵P:

主成分分析基本数学原理,PCA主成分分析代码

P是协方差矩阵的特征向量单位化后按行排列出的矩阵,其中每一行都是C的一个特征向量。如果设P按照Λ*特中**征值的从大到小,将特征向量从上到下排列,则用P的前K行组成的矩阵乘以原始数据矩阵X,就得到了我们需要的降维后的数据矩阵Y。

2.7 算法过程及实例

总结一下PCA的算法步骤:

设有m条n维数据。

1)将原始数据按列组成n行m列矩阵X

2)将X的每一行(代表一个属性字段)进行零均值化,即减去这一行的均值

3)求出协方差矩阵

主成分分析基本数学原理,PCA主成分分析代码

4)求出协方差矩阵的特征值及对应的特征向量

5)将特征向量按对应特征值大小从上到下按行排列成矩阵,取前k行组成矩阵P

6)Y=PX 即为降维到k维后的数据

这里以上文提到的

主成分分析基本数学原理,PCA主成分分析代码

为例,我们用PCA方法将这组二维数据其降到一维。

因为这个矩阵的每行已经是零均值,这里我们直接求协方差矩阵:

主成分分析基本数学原理,PCA主成分分析代码

然后求其特征值和特征向量,具体求解方法不再详述,可以参考相关资料。求解后特征值为:

主成分分析基本数学原理,PCA主成分分析代码

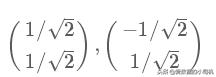
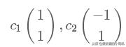
其对应的特征向量分别是:

主成分分析基本数学原理,PCA主成分分析代码

其中对应的特征向量分别是一个通解,c1和c2可取任意实数。那么标准化后的特征向量为:

主成分分析基本数学原理,PCA主成分分析代码

因此我们的矩阵P是:

主成分分析基本数学原理,PCA主成分分析代码

可以验证协方差矩阵C的对角化:

主成分分析基本数学原理,PCA主成分分析代码

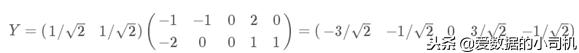
最后我们用P的第一行乘以数据矩阵,就得到了降维后的表示:

主成分分析基本数学原理,PCA主成分分析代码

降维投影结果如下图:

主成分分析基本数学原理,PCA主成分分析代码

3 进一步讨论

PCA本质上是将方差最大的方向作为主要特征,并且在各个正交方向上将数据"离相关",也就是让它们在不同正交方向上没有相关性。

它是无监督学习,完全无参数限制的。在PCA的计算过程中完全不需要人为的设定参数或是根据任何经验模型对计算进行干预,最后的结果只与数据相关。

用PCA技术可以对数据进行降维,同时对求出的主成分向量的重要性进行排序,可以达到降维从而简化模型,同时最大程度的保持了原有数据的信息。

PCA对象非常有用, 但对大型数据集有一定的限制。最大的限制是PCA仅支持批处理,这意味着所有要处理的数据必须适合主内存。当要分解的数据集太大而无法装入内存时,通常使用增量主成分分析(IPCA)代替主成分分析(PCA)。

IPC对象使用不同的处理形式使之允许部分计算, 这一形式几乎和 以小型批处理方式处理数据的方法完全匹配;IPCA使用与输入数据样本数量无关的内存量,为输入数据建立低秩近似。它仍然依赖于输入数据特性,但是更改批处理大小允许控制内存使用。这就是为什么内存使用取决于每个批次的样本数,而不是数据集中要处理的样本数。

如此繁琐的计算过程,仅仅看一遍就有点眼花缭乱了,不过还好,python已经为我们提供了PCA算法模块,在 scikit-learn中,PCA被实现为一个变换对象, 通过 fit方法可以降维成 n 个成分, 并且可以将新的数据分解到这些成分中。