一,瞬变过程概述
变压器从一种状态过渡到另一种状态的全过程叫做过渡过程。由于过渡过程所需的时间很短,所以过渡过程也叫瞬变过程。例如变压器由无磁状态过渡到空载状态;由正常电压状态过渡到大气雷电冲击过电压状态;由正常负载状态过渡到突发短路状态等,都是变压器的瞬变过程。
变压器在瞬变过程中,各电磁参数发生显著的变化。有些瞬变过程可能是导致变压器损坏的主要原因。
空载合闸是每台投入运行的变压器都必须经历的一种瞬变过程。这种瞬变过程是不可避免的。
二,单相变压器的合闸电流
由于变压器在空载合闸时二次绕组处于开路状态,因此对一次电路电路可以写出下列瞬时电压方程式:

我们首先来研究铁芯不饱和的情况。这时一次绕组的空载电流与铁心磁通成正比。即


上式是一个线性微分方程式,它的解包括一般解和特殊解两部分,即


为方程式的特殊解,它表示稳定磁通;

为方程式的一般解,它表示暂态磁通。由法拉第电磁感应定律可知,稳态磁通滞后外施电压90°,所以

暂态磁通是下列方程式的解

解此方程式,得出

上式中的系数C可由起始条件求出。在合闸起始瞬时,即当t=0时,铁心中的磁通或者等于零,或者有一定的剩磁

。如果铁心有剩磁,那么当t=0时

从而求出

将上式代入式(1.7-4)中,得出

将式(1.7-4)和(1.7-5)代入式(1.7-3)中,得出瞬变过程的合成磁通

下面来讨论这个解。当

时,上式可以写成

上式表明,当铁心无剩磁且在外施电压达峰值合闸时,合成磁通中无暂态分量,这是最理想的空载合闸条件。
又当

时,式(1.7-6)可以写成

上式表明,当铁心有剩磁且在外施电压过零合闸时,合成磁通中暂态分量最大。这是最不利的空载条件。图1.7-1表示在这种条件下,空载合闸时的磁通曲线。



由此看来,在外施电压过零合闸时,铁心磁通可达额定磁通的2倍左右。由于我们假定铁心不饱和,所以空载电流也将为额定空载电流的2倍左右。
现在来研究铁心饱和时变压器的空载合闸。在这种情况下,空载电流i与铁心磁通Φ不成正比,而是铁心磁化曲线的关系,即非线性关系。但是在式(1.7-1)中,一次绕组电阻压降比感应电压小很多,所以忽略一次绕组电感L的变化,不会引起很大的误差。所以可以近似地认为式(1.7-1)~(1.7-7)亦适合于铁心饱和的情况。但在铁心饱和的情况下,空载电流将增至额定空载电流的几十倍,有时会大大超过额定电流。
为了确定在最不利条件下的合闸电流,设铁心有效截面积为

而按一次绕组内径所计算的面积为,那么被一次绕组所包围的磁通最大值

空气中的磁场强度H近似等于绕组的总磁势与绕组高度h之比,而铁心磁密最高为2.2T,所以

由上式可得出

按上式即可确定在最不利的条件下合闸时的空载电流。由于铁心饱和,所以当铁心磁通增大一倍左右时,合闸电流可达稳定空载电流的80~100倍,很有可能超过额定电流。
由式(1.7-5)可以看出,暂态磁通的大小和衰减速度取决于R/L。为了减小静态磁通并加速其衰减过程,应增大R并减小L。为此可在空载合闸时在一次绕组中串联保护电阻。此外,由式(1.7-8)可以看出,如果一次绕组是外部绕组的话,那么空载合闸电流将比一次绕组是内部绕组时小很多。
三,三相变压器的空载合闸电流
上面我们研究了单相变压器空载合闸情况。现在来研究三相变压器空载合闸时的一些特性。首先来研究铁心为三心柱式的三相变压器的空载合闸。
当一次绕组联结成三角形时,各相绕组所施加的电压均为线电压,而且各相绕组的电流仅在自身绕组中流过。因此空载合闸相电流的变化规律与单相变压器完全相同。但是由于各相绕组的外施电压在相位上相差120°,所以在合闸的起始瞬时,只有一相绕组的外施电压瞬时值可能为零值。这就是说,只有一个心柱可能出现严重饱和,而且也只有这一相绕组的空载合闸相电流可能达到最大值,其值可按式(1.7-8)计算。另两个心柱的饱和程度很低,空载合闸的电流很小。因此,空载合闸电流的最大值实际上与空载合闸相电流几乎相差无几。
当一次绕组联结成星形时,每两相绕组被施加以线电压,而且各相绕组的电流除了流过自身绕组之外,还流过另两相绕组。由于三心柱式铁心的零序磁通是以铁心的非铁磁介质为回路的,其值很小,所以可以认为每相绕组所施加的电压等于相电压。在合闸起始瞬时,只有一相绕组的相电压瞬时值可能为零值,也只有该相心柱的饱和程度与单相变压器空载合闸时的饱和程度是完全相同的。如果假定与该铁心饱和程度相对应的单相空载合闸电流为i,那么它的最大值可按式(1.7-8)计算。
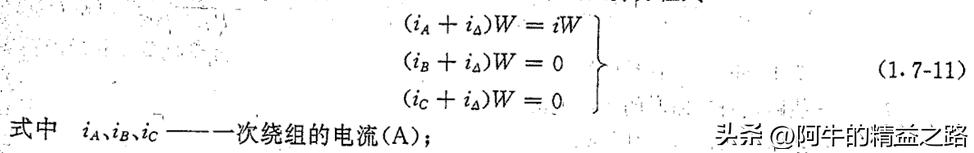
假定A相心柱饱和,那么B、C相心柱将不饱和。如果心柱A的励磁磁势为iW,那么心柱B、C的励磁磁势将近似等于零。据此可以写出下列磁势方程式。

此外,由于一次绕组联结成星形,所以

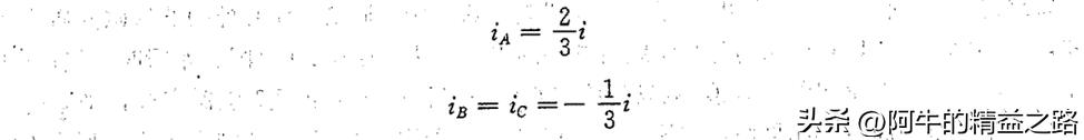
解联立方程式(1.7-9)和(1.7-10),得出

因此,一次绕组联结成星形的三相变压器空载合闸电流的最大值

式中符号的意义与式(1.7-8)完全相同。
现在来研究由三台单相变压器组成的三相组的空载合闸。前面已经指出,对于三相组来说,从来都不采用YY联结组合。所以,如果一次绕组联结成星形,那么二次绕组一定要联结成三角形。在空载合闸的过程中,二次绕组内将流过一个与一次电流的零序分量相对应的零序电流。此外,三角形联结的绕组对相电压的对称性起稳定作用,所以可以认为每相绕组所施加的电压等于相电压。在空载合闸的起始瞬时,只有一相绕组的相电压瞬时值可能为零值,也只有该相心柱的饱和程度与单相变压器空载合闸时的饱和程度时完全相同的。如果假定与该心柱饱和程度相对应的空载合闸电流为i,那么它的最大值可按式(1.7-8)计算。
假定A相心柱饱和,那么B、C相心柱将不饱和。如果心柱A的励磁磁势为iW,那么心柱B、C的励磁磁势将近似等于零。据此,可以写出下列磁势方程式


解联立方程式(1.7-10)和(1.7-11),得出

结果与一次绕组联结成星形的三心柱式三相变压器完全相同。