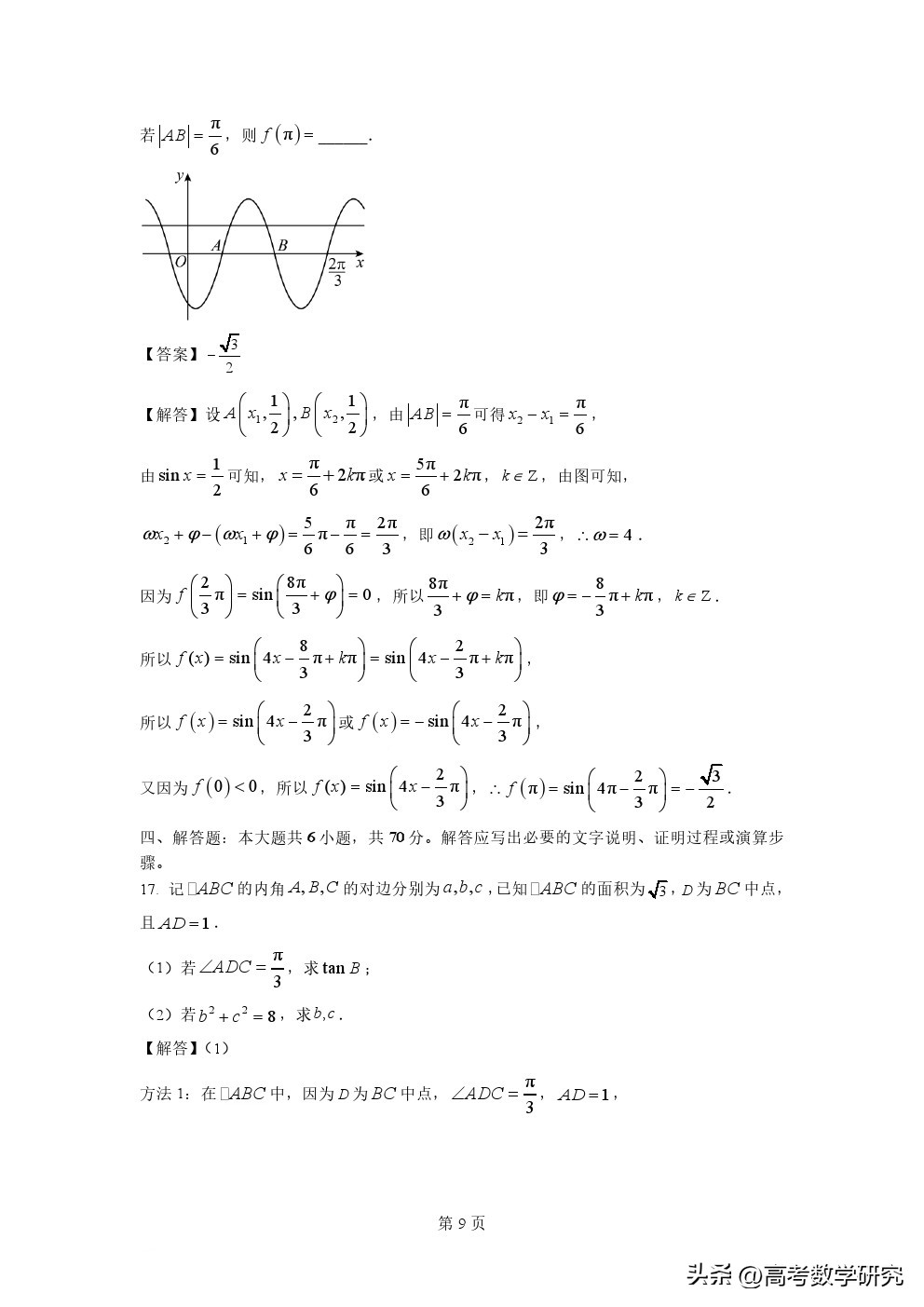
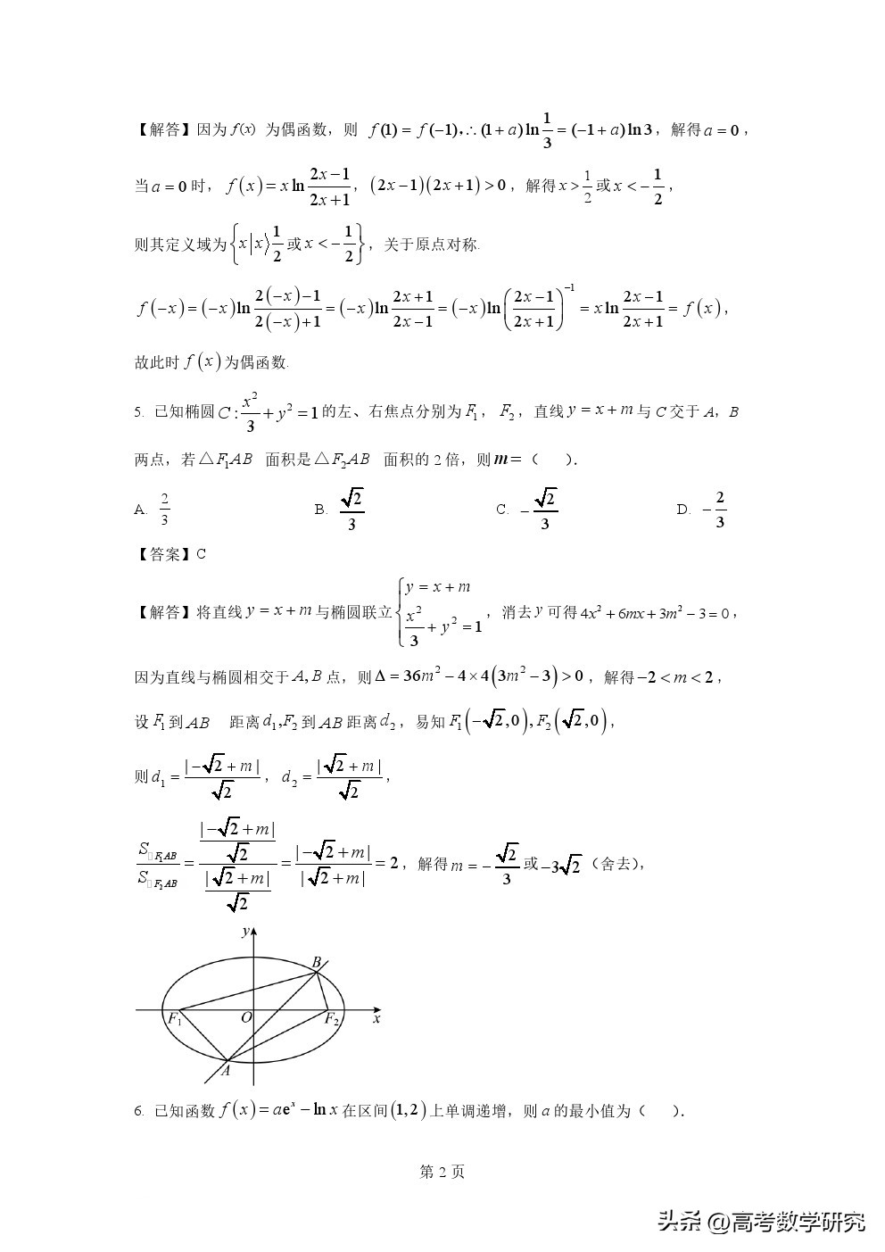
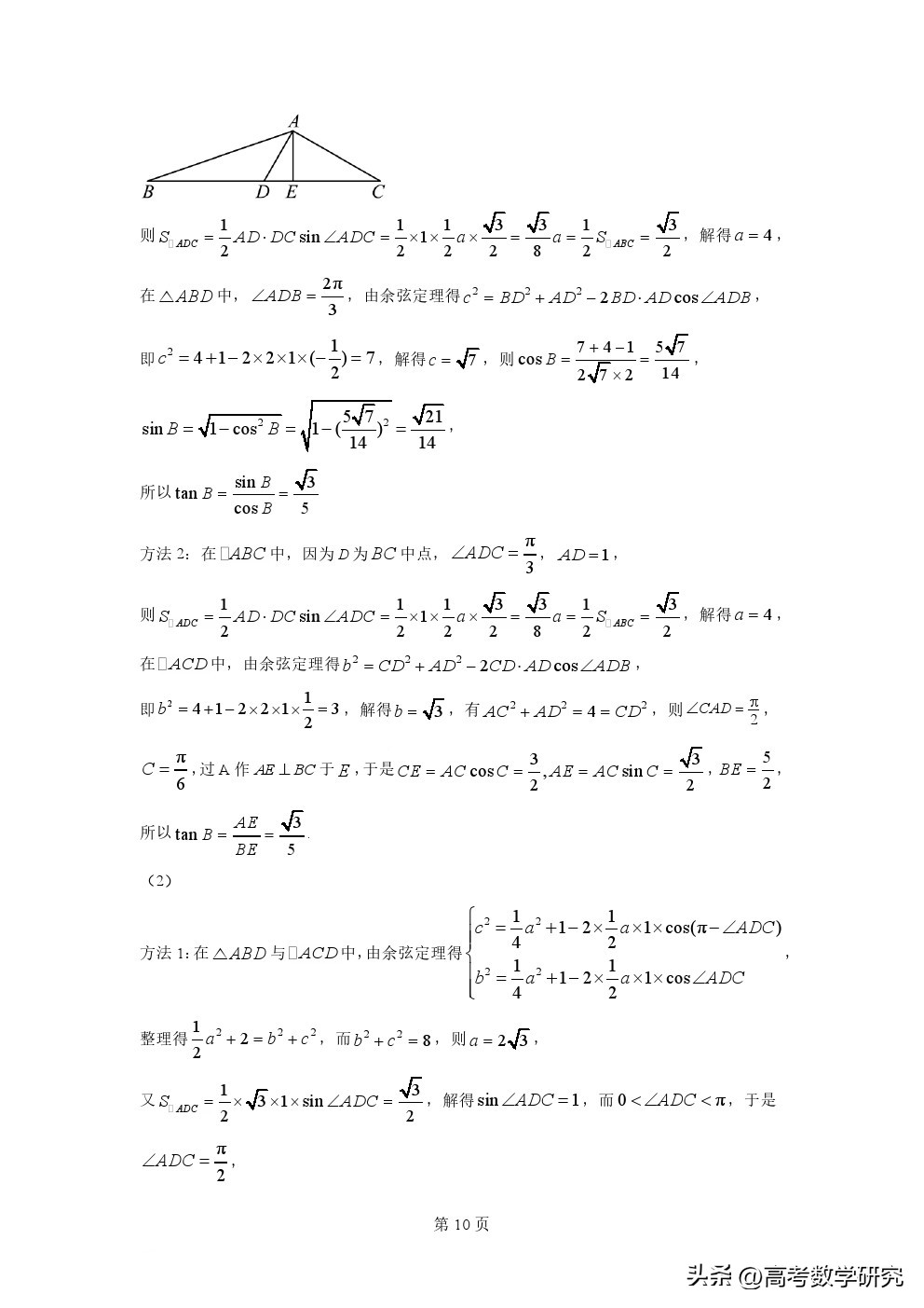
2023年高考数学乙卷试卷及答案 (2023年高考数学2卷试卷及答案解析)

2023年高考数学2卷试题及答案解析,2023年高考数学全国乙卷试题

2023年高考数学2卷试题及答案解析,2023年高考数学全国乙卷试题

2023年高考数学2卷试题及答案解析,2023年高考数学全国乙卷试题

2023年高考数学2卷试题及答案解析,2023年高考数学全国乙卷试题

2023年高考数学2卷试题及答案解析,2023年高考数学全国乙卷试题

2023年高考数学2卷试题及答案解析,2023年高考数学全国乙卷试题

2023年高考数学2卷试题及答案解析,2023年高考数学全国乙卷试题

2023年高考数学2卷试题及答案解析,2023年高考数学全国乙卷试题

2023年高考数学2卷试题及答案解析,2023年高考数学全国乙卷试题

2023年高考数学2卷试题及答案解析,2023年高考数学全国乙卷试题

2023年高考数学2卷试题及答案解析,2023年高考数学全国乙卷试题

2023年高考数学2卷试题及答案解析,2023年高考数学全国乙卷试题

2023年高考数学2卷试题及答案解析,2023年高考数学全国乙卷试题

2023年高考数学2卷试题及答案解析,2023年高考数学全国乙卷试题

2023年高考数学2卷试题及答案解析,2023年高考数学全国乙卷试题

2023年高考数学2卷试题及答案解析,2023年高考数学全国乙卷试题

2023年高考数学2卷试题及答案解析,2023年高考数学全国乙卷试题