振动传感器运用于工业现场的各个领域,存在动态频率范围广、安装方便、工艺成熟等优点。在本文中主要介绍振动传感器的分类以及传感器的各种指标。
传感器原理
振动主要用于将机械量转换成电量的一种装置。振动传感器根据不同的分类方法可以有不同的划分。
机电接收原理
传感器按照机电接收的原理可划分为相对式和惯性式传感器。
相对式传感器一般是固定在不动的参考体上,测量的是被测物体相对于参考体的相对振动。
惯性式传感器一般值得是外壳固定在参考体上,外壳随着参考体进行运动,测量的是质量块与外壳的相对运动。

机电变换原理
电动传感器:电动传感器一般是根据电磁感应原理,通过导体在固定的磁场中切割磁感线产生感应电动势。电动式传感器具有灵敏度高、输出功率大、性能稳定、输出阻抗低的优点。
压电传感器:压电传感器是利用压电晶体的正压电效应,通过压电陶瓷、石英晶体等在一定方向的外力或承受变形时产生电荷。压电传感器具有频带宽、灵敏度高、信噪比高、结构简单、工作可靠、重量轻等优点。
电阻应变式传感器:电阻应变式传感器是利用惠斯通电桥,通过应变片等弹性元件产生变形,从而引起电阻阻值的变化从而得到电学量。这种传感器有量程大、体积小、低功耗等特点,用于汽车碰撞、设备振动监测等领域,但是受温度影响较大
电涡流式传感器:一般用于表面可产生电磁感应的物体或者在表面贴上铁片等,通过交变电流线圈产生电磁感应,调整不同的距离产生不同的电涡流。电涡流传感器具有频率范围宽、线性工作范围大、灵敏度高以及非接触式测量等优点。
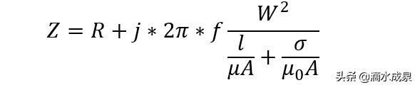
电感式传感器:该原理主要根据公式:

表示的是线圈的直流电阻,表示工作电压的频率,为线圈的匝数,代表铁心的工作长度,代表的是气隙的工作长度,和为铁心和空气的磁导率,代表的是可变导磁面积。电感式传感器一般是利用电感的可变间隙或者可变导磁面积从而引起电感的阻抗变化。电感传感器具有结构简单、可靠,灵敏度高、测量精确度高、输出功率大等优点。
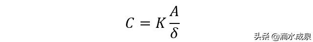
电容式传感器:该原理公式:

电容式传感器是通过更改公共面积或者极板间的距离从而引起电容量的变化。它具有灵敏度高、零频响应、受温度影响小等优点,但其输入输出非线性对应、量程小、需接条例电路改善高阻抗信号输出。
所测机械量划分
传感器根据测量机械量的不同可分为测量加速度、速度、位移、力、应变、扭振、转矩传感器
输出形式划分
传感器根据输出的形式可以划分为电荷、IEPE(ICP)、电压。
电压可直接将信号量转换成电压信号进行处理。
电荷输出的一般是电荷量,一般需要通过外置电荷放大器或者控制仪的内置调制电路将电荷量转换成电压量进行处理。电荷传感器具有高耐温的优点,但由于容易受干扰,所以对测试环境、连接线缆的要求较高。
IEPE传感器,有些也称为ICP传感器,一般需要提供恒流源,将传感器信号输入到高阻抗的前置放大器中,经过阻抗变换,将电流量转换成电压量进行处理,IEPE传感器有信号质量好、噪声小、抗干扰能力强、测量距离远的优势。
性能指标
一般来说,当我们接收到一个传感器以后,都会得到一个关于传感器的性能指标。某厂家的传感器性能检验报告为例:
动态性能指标
电荷灵敏度:一般表明该传感器是利用压电效应产生电学量,一般单位是,此时控制仪应该选择电荷通道。但是该例子中,单位,表明该传感器内部具有转换电路,该传感器在电学参数中具有工作电压和工作电流参数,此时应该选择IEPE通道,如果选择电压通道,一般传感器具有外部供电电源。加速度传感器灵敏度电压量输出时可以是,也可以是,1代表的是9.8。
灵敏度测试条件:指的是上图中的电荷灵敏度在频率(160Hz),幅值,在23摄氏度,湿度80%的条件下测得该传感器的灵敏度。
横向灵敏度:一般来说指的是传感器的主轴方向即传感器的运动方向是一致的,当传感器在主轴方向运动时,传感器垂直于主轴的平面方向仍具有传感器的电学量输出,此时垂直于主轴方向的传感器的输出即为横向灵敏度。图中Z轴代表主轴方向,此时垂直于主轴上即X,Y方向上合成的最大输出值与Z轴的比值即最大横向灵敏度。

频率范围:指的是该传感器的正常工作频率范围,以及该频率范围内的传感器测量误差在10%。一般来说传感器具有幅频特性曲线,该曲线一般是频率为X轴,灵敏度幅值为Y轴。Y轴一般是以分贝为单位,分贝的底一般是前面测试条件下测得的灵敏度幅值,也有部分情况Y轴是具体灵敏度数值。在传感器校准中,一般除了幅频特性曲线,还一般会作线性特性曲线和相频特性曲线,。相频特性曲线是关于传感器的相位为Y轴,频率为X轴的曲线,一般不在说明书上进行显示。线性测试一般是同频率下不同幅值下对灵敏度进行校准,主要是对传感器灵敏度线性度进行测试,一般来说传感器的输入和输出成正比,该测试表示该值离测试灵敏度的偏离程度。
安装谐振频率:一般来说传感器可作为一个单自由度系统,该系统的一阶固有频率称为该传感器的谐振频率。一般来说传感器质量越小,谐振频率越高。在谐振频率下传感器的灵敏度以0分贝显示,当靠近谐振频率时,灵敏度会越来越高。一般来说传感器的工作频率在谐振频率的1/3左右。
环境指标:
密封性能:一般指的是传感器的密封材料,如密封胶、微晶蜡、环氧树脂等,传感器的故障来源很多是潮气腐蚀、器件氧化引起的,密封技术的提升可显著提高传感器的可靠性。图中该传感器是利用环氧密封进行封闭。
量程:指的是传感器可测量的最大范围。
温度范围:传感器的温度范围一般指的是传感器可工作的温度范围。一般来说传感器厂商还会提供传感器的温度响应曲线。一般来说不同温度会影响传感器的内部参数,此时传感器的灵敏度也会不同。该曲线表明的是在不同温度下的传感器灵敏度曲线。
电参数:
工作电压、工作电流:该传感器正常工作时需要的工作电压或者工作电流。一般来说有源传感器需激励电压/电流才能工作,一般的ICP(IEPE)传感器需要提供18到30v工作电压, 2到20mA的工作电流,现在一般常规的控制器都有IEPE通道,提供24V的工作电压和4mA的工作电流。
输出幅度:指的是传感器的最大输出电压。
极性:指的传感器正向运动时输出的电压极性。
外形结构:
输出接头:指的是传感器输出接头形式。具有顶端L5输出、TNC顶端输出,侧端L5输出等。下图是典型的输出形式。传感器接头一般不使用Q9(BNC口),因为该接口一般没有螺纹连接,会影响传感器的高频特性。

重量:指的是传感器的重量。当运动时,传感器被认为是整个系统的附加质量,会影响整个系统的运动状态。当传感器的质量与被测物体的动态质量相同时,其被测物体的振动肯定会受到影响而明显减弱。当传感器安装在一些大型重量结构,但是其安装的位置局部也会受到传感器质量的影响。因此一般传感器的质量需要远小于传感器安装点的动态质量。
设定传感器的质量为,传感器的安装点的质量为,加速度为,降低的加速度:
材料:传感器外壳的材料。
敏感元件:传感器产生电学量的结构。压电传感器的敏感元件一般是PZT、压电晶体、压电聚合物。压电陶瓷的常用材料有PZT-2、PZT-4、PZT-5A、PZT-5H、PZT-8等。每种类型都具有独特的特性。
元件结构:传感器的安装基本结构有剪切、压缩、弯曲等各种类型。剪切和压缩性的区别是受力方向的区别。下图是剪切型传感器的受力,当传感器运动时,其运动方向和受力方向是不同的,其收到剪切力的作用,该传感器是剪切性传感器,剪切性分为三角剪切式、环形剪切式、平面剪切式。

压缩型指的是受力方向和运动方向是一致。压缩传感器可大致分为垂直式、反向式、绝缘式三种。
弯曲式指的是通过自身惯性力作用导致压电元件的弯曲变形。

安装螺纹:指的是传感器用于固定在夹具或者台面上,一般存在M5、M6、M12等,主要用于传感器固定。
加速度传感器的安装方式
螺钉安装
使用螺钉安装,又称刚性安装,它的使用频率响应可近似于原标定的频率响应,可通过安装螺纹进行安装。
粘贴安装
在台面无法提供螺钉安装时可通过502胶水、环氧树脂、双面胶、橡皮泥等进行安装。使用502与环氧树脂和通过刚性安装的性能相同。而使用双面胶和橡皮泥一般用于低频现场,且会使被测频率远远降低,这两种方式不适合冲击测量。
磁座安装
磁座的优点是不破坏被测物体,移动方便,但是磁座安装会使加速度传感器的使用频率范围下降。使用时需在被测物上安装磁座,再拧上传感器或者二者轻轻吸附。
云母片/四氟膜安装
云母片安装具有隔热和绝缘的作用。在高温状态下,使用厚度小于0.1mm的云母片垫置,传感器的使用频率范围会降低。但是当试件与传感器绝缘时,云母片或四氟膜是最优选择。
传感器安装事项
传感器安装平面时需要使安装平面保持整洁、平整,平面上不能有胶膜、毛刺、尖点等,安装面上的底座面积应小于传感器的安装面积。
传感器与台面的接触最好涂一层硅脂,用于提升表面的刚度,从而使传感器的使用频率范围得到提高。
传感器如需悬浮,可采取具有绝缘材料的安装转接快,使传感器与被测物体绝缘或者采用绝缘性产品。
在潮湿处安装,需将接线插头部位进行密封措施,以保证传感器的绝缘良好。