环比折年率是 月度(或季度) 统计中一个十分重要的统计指标,由 环比增速 推算得到,用于 反映经济的 发展速度 与 趋势变化 。环比折年率与同比增速相比具有 对趋势变化灵敏度高 的优点,在统计分析、趋势预测等领域有着广泛应用。
一、环比折年率的基本概念
在月度或季度统计中,统计指标的增长速度按照对比基期的不同,可以分为同比增速和环比增速。同比增速的对比基期是上年同期,环比增速的对比基期是相邻的上一个时期。环比折年率的含义就是,如果按当月或者当季环比速度增长, 在未来一年中这一指标的增长趋势。环比增速和环比折年率可以相互推导得出。
二、环比折年率的主要作用
使用环比折年率的必要性是相对于 同比增速 而言的。在经济分析中得到广泛使用的同比增长率有明显的不足, 不能及时地反映经济的最新变化 ,尤其是在经济快速变动时期和经济转折点附近,这一缺陷显得更为突出,甚至趋势都有可能与实际情况相背离。 环比折年率则正好可以弥补这一不足,一个月或一个季度后就可以观察到经济变化,反映经济变化的敏感性远高于同比增长率。
但是,正是因为环比折年率的敏感性更高,这使得季度间的环比折年率数据波动较大,而且受环比数据影响,其修订频率也比同比数据高。因此,短期内对数据实际趋势变化的判断还需要结合同比数据进行详细分析,而不能仅凭一两期环比折年率数据简单定论。
三、如何计算环比折年率
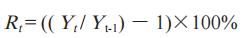
记Yt为统计指标原始时间序列, Rt为环比发展速度,其基本公式为:

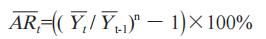
环比折年率是指以当期测算的环比统计指标的发展速度,折算为年度发展速度。若记ARt 为环比折年率,则计算公式如下:

其中,若环比统计数据是月度数据, n 取 12;若环比统计数据是季度数据, n 取 4。
由于大多数原始数据序列含有季节因素,不同月份或季度的季节因素差异较大,因此直接计算的环比增速大多是不可用的,需要通过数学方法消除季节因素的影响,称为季节调整。消除季节因素后,各月(或季)之间都是可比的,记Yt 为季节调整后的时间序列,则经过季节调整的环比折年率为:

四、示例
下表为 2012 年 1 季度至 2019 年 4 季度的我国季度 GDP 同比增速和经季节调整后的环比折年率数据。通过对比我们可以发现,环比折年率序列相较于同比增速序列具有更强的敏感性与波动性。

来源:国家统计局