
高中函数复习题集,希望对高中数学有困惑的同学提供更优质的帮助!
我们目前已经制作了3套有效的高中数学训练体系:《初中衔接高中知识》、《高中函数题型分析》、《高中三角函数题型分析》,也希望同学们多多捧场订购,私信联系!
目录:
- 指对数比较题目展示;
- 指对数比较视频截图分析;(视频文件请独立观看)
指对数比较题目展示







高中函数复习题集:第五部分:指对数比较(1)

同学们可以慢慢来学习,指对数运算比较的题目最主要要求我们能在掌握指对数运算的基础上,随题而变,学会分析理解题目的要求,进行解答分析。
第23题中,a、b、c分别为3个指数形态,这就要求我们能灵活运用指数次幂的概念,把3个数转换为同指数幂的形态,这样数值之间的比较显得异常简单化。
第24题中,一道最经典的指对数混合出题的类型题目,该种题型可以借助0,1两个为非常特殊的数值进行过渡,利用数轴可以很好区分开来,只要同学们能掌握好指对数运算中的特殊值与基本单调性分析可以,如底数a>1时,指数函数、对数函数都是单调递增的,底数0<a<1时,指数函数、对数函数都是单调递减的,还有0=a的0次幂,0=以a为底1的对数,1=以a为底a的对数。
指对数值大小的比较,需要同学们多加训练指对数的基础运算,慢慢训练借助特殊进行过渡分析。
高中函数复习题集:第五部分:指对数比较(2)

第25、26题,都是经典的指数指对数混合出题的类型题目,该种题型可以借助0,1两个为非常特殊的数值进行过渡,利用数轴可以很好区分开来的题型,也是我们平时考试经常出现的。
对于利用0=a的0次幂,0=以a为底1的对数,1=以a为底a的对数等特殊运算的题目,同学们一定要多加进行训练,因为这样我们平时在考查指对数运算非常重要的点。
高中函数复习题集:第五部分:指对数比较(3)

第27题,明显加大了指对数运算的难度,利用数值0、1,不能运算该题的结果。这样就需要同学们在掌握经典题型的基础上,提高对指对数运算的思考。加入了换底公式的分析,还是1/2这个特殊进行区分比较,像这样的题目须建立在同学们对于指对数基础运算的基础上,更深一层去思考。换底公式作为对数运算中的难点,也是重点,其变换模式虽然固定,但很巧,所以同学们必须通过适当多的换底公式训练,才能掌握准备。
第28题,纯对算运算的比较,换底公式再次出现,同学们要注意,对于不同底数的对数,换底公式的出现是必然性,所以换底公式必须一定熟悉。
高中函数复习题集:第五部分:指对数比较(4)

第29、30题是两道非常特殊的题目,利用代值排除选项,而且代值情况下是非常具备特殊性的,因为涉及指对数运算中,特殊值是非常好用的。
以上两道题目,我们同时用了a=4,b=2,c=1/2或c=-2,在某中层次上是非常具备针对性的,也为我们排除选项可以提高准确率。像该种代值排除选项的题目,盲目代值会让题目难度增加,不代值直接让题目难度无限增加,所以代特殊的有关联的值是非常有必要的一个解题手段。
高中函数复习题集:第五部分:指对数比较(5)

第31题,是往年的高考题目,这样一类题目出现,其实也是考查指对数运算,尤其这道题目只考查对数运算,但其“隐性”思维非常强,同学们必须自行掌握数值a、b的大小问题,这样这道题目的入手思路。后续随题而变,借助选项的+号,选用换底公式,可以达到同底数相加的对数运算,也为这道题目的顺利分析找明思路。
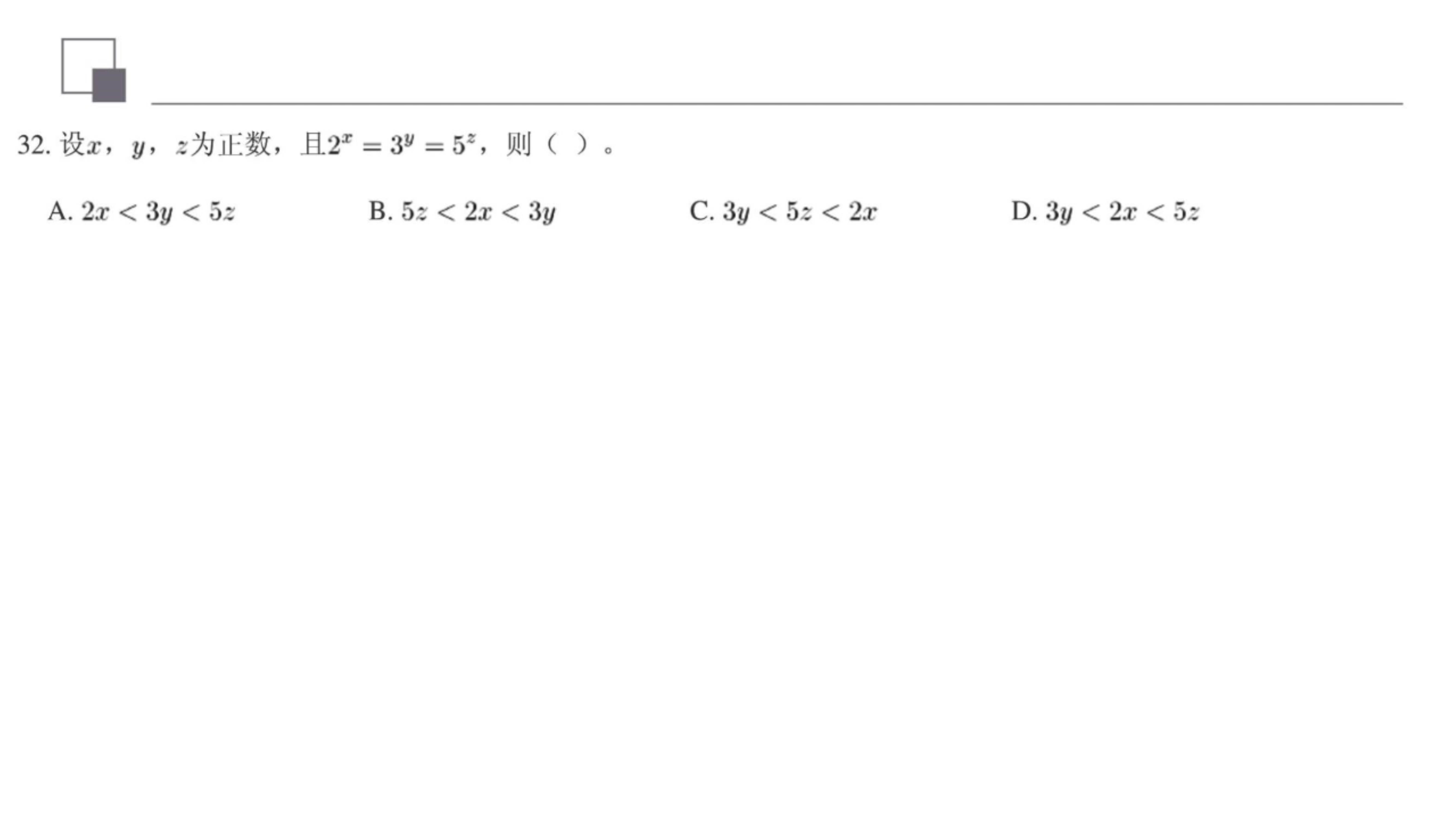
高中函数复习题集:第五部分:指对数比较(6)

第32题,也是往年的高考题目,这道题目首先考查了指数与对数的转换思路,而且选项非常特殊,不是单纯的指数幂问题,还是需要同学们发觉赋值技巧。
而且赋值时,一旦赋值数据不明确,会明显提高题目的难度系数,对该题目同学们一定好好想想我们赋值“2”的原因,同学们可以自行赋其他值,看看解题过程中的区别,也为以后碰到该种题型做好心理准备。
总结
1、指数运算、对数运算必须强化基础,尤其对数运算的换底公式必须加强训练;
2、学会转换数据,纯指数比较,掌握同底数,或同指数进行比较;
3、指对数运算混合比较,掌握0,1的价值性,借助数轴分析;
3、难点指对数运算混合,有时得借助换底公式进行分析,还有借助其他特殊值分析,如中点;
4、纯对数运算比较,对数换底公式的出现几乎是必然的,一定要注意运用到位;
5、指对数转换时,学会赋值转换,这样可以更有效的分析;
6、代值性的指对数不等式分析,注意代值要具备整式性,可以很好为指对数服务;
7、综合运用的题型,切记要注意题目自身的“隐性”条件的分析,这是入手题目非常重要的手段。

我们的作品
联系方式:微信,私信回复。名称:高中数学题型分析:三角函数与解三角形。页数:236页。题量:820道。销售方式:彩色纸质版邮寄。价格:120元微信支付,包邮。目录:总共25种题型高中数学题型分析:角的定义与弧度制高中数学题型分析:同角三角函数值高中数学题型分析:诱导公式高中数学题型分析:三角函数的周期性高中数学题型分析:三角函数的奇偶性和对称性高中数学题型分析:三角函数的图象平移伸缩高中数学题型分析:三角函数的图象求解析式高中数学题型分析:正弦函数的单调性高中数学题型分析:余弦函数的单调性高中数学题型分析:正切函数的单调性高中数学题型分析:正弦函数的值域高中数学题型分析:余弦函数的值域高中数学题型分析:正切函数的值域高中数学题型分析:三角恒等两角和差公式高中数学题型分析:三角恒等二倍角公式高中数学题型分析:三角恒等辅助角公式高中数学题型分析:解三角形正弦定理高中数学题型分析:解三角形余弦定理高中数学题型分析:解三角形面积公式高中数学题型分析:换元法求三角函数值域高中数学题型分析:三角函数定义域及其延伸高中数学题型分析:确定区间分析未知数高中数学复习系列:三角函数高中数学复习系列:解三角形高中数学复习系列:三角函数与解三角形大题