如果你正在学习线性代数,给你一个等式x=4,请你画出一个与等式在线性代数上相关联的矩形,该怎么办呢?
在上一篇文章趣味线性代数(一),从二元一次方程组开始带你轻松入门线性代数里,我们讲过,求多元一次方程组的解,即是为n维向量找一个新的正交向量,需要增加一个空间维度。
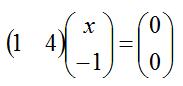
那么,我们暂且将x=4看作是未解的一元一次方程,并给它换一个形式表达:1*x+4*(-1)=0,就从一维变成二维了。然后用矩阵的形式写出来:

很明显x=4喽,那好,把它代入到矩阵方程里,就有:

因为内积为0,所以向量(1,4)和(4,-1)是垂直的,既然两条垂直的线段有了,那要求的矩形是不是也就有了?如下图:

我们将两个向量组成一个行列式,然后对角相乘再相减,算出结果如下:

忽略负号,只看17,它跟图中矩形的面积是相等的。这个计算相对简单,我们略过,继续往高维空间拓展。
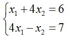
把行列式里的两行元素作为系数,构建一个二元一次方程组,如下:

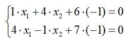
变换一下形式:

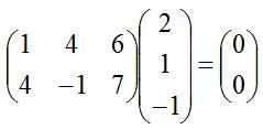
容易算出,x1=2,x2=1,写出矩阵方程,并将已知解代入,有:

因为内积为0,所以向量(1,4,6)和(4,-1,7)分别与向量(2,1,-1)垂直。将三个向量合在一起,组成一个新的行列式:

这样,维度由二维上升到三维,同时,我们得到一个棱柱体,为什么不是立方体呢?因为向量(1,4,6)和(4,-1,7)之间的夹角不是90度,如下图:

图形失真,向量(2,1,-1)和另两个向量其实是垂直的
讲到这里,我们基本清楚行列式是什么了,一行代表一个向量,一列代表一个空间维度,每个元素,对应一个空间坐标。
那么,行列式为什么要计算呢?回头看上面的二阶行列式,它的计算结果是-17,而对应向量所围合的矩形的面积是17,两者相等。这是巧合吗?
假设两者是有关联的,即二阶行列式的计算结果与对应向量围合的矩形面积相等,那三阶行列式的计算结果会不会与对应向量围合的棱柱体的体积相等?
那我们就来算一下吧。先计算行列式:

然后,再计算由向量(1,4,6)、(4,-1,7)和(2,1,-1)围合的棱柱体的体积。因为向量(2,1,-1)与另两个向量垂直,我们用它来做棱柱体的高,用向量(1,4,6)和(4,-1,7)围合的平行四边形做底面。
那么棱柱体的高为:

平行四边形的面积用三角函数面积公式S=1/2ab sinc来求,先用向量的内积除以向量长度的乘积,求其夹角的余弦:

平行四边形面积等于两倍的三角形面积,即:

那么棱柱体的体积为:

这个结果和行列式的计算结果是一样的。根据上面的两个例子,我们可以粗略地(因为没有严格证明)下一个结论:行列式的计算结果即是对应向量所围合的空间体量。这一点在对角行列式上最明显,每个维度上,只有一个非零数值,截取三维空间上的一部分,恰好是一个立方体。
这样我们就好理解,为什么行列式要斜着相乘了。因为不同维度相乘才对其空间体量有意义,这就好比求面积要长X宽,求体积要长X宽X高。
至于行列式各项的乘积法则反而不重要,因为我们不需要每项都算。回头看上面的行列式计算,行列式变换前后是等价的,所以我们可以把行列式化简到最简单的形式,再计算。

基于上述的内容,有下面几个结论:
1、一个行列式可以有无穷多种变形,对应的无穷多的向量空间在体量上是等价的。就像水一样,在不同的容器里,形状会变,体积不变。
行列转置也是变形的一种,不影响计算结果。
2、行列式可以提取公约数,对应的向量空间体量等比例缩小,从图形上大约也能看出来,如下图:

互换了Y和Z轴,但不影响结果
3、行列式的计算结果并不重要,更多的时候,我们只需要判断它为不为零。有一种行列式计算结果为零的情况,就是行列式的两行或两列元素完全相同。我们想像一下,如果两行元素完全相同,是不是相同于在当前的向量空间里,有两条线是完全重叠的。
这就好比纸箱压成了纸片,体积可不就是零嘛!
所以,当行列式的计算结果为零时,说明至少有一个维度里,是没有向量的。所以,我们用行列式来判定向量空间的饱满度。后面要学到的向量组的线性相关与线性无关,说白了就是向量空间饱满度的问题。
比如在我们生活的现实世界里,一个纸箱以它的长、宽、高为三组向量,相对于三维空间,纸箱的向量空间就是饱满的,我们没法再找到一个向量(或直线)与它的长、宽、高同时垂直,那么长、宽、高就是线性无关的。一张纸片以它的长、宽为两组向量,相对于三维空间,纸片的向量空间是不饱满的,我们可以用一条竖直向量(或直线)与它的长、宽同时垂直,那么长、宽就是线性相关的。这些都可以从行列式的计算结果里找到答案。