IGBT是一种综合了功率场效应晶体管(MOSFET)和双极型功率晶体管(MOSFET)和双极型功率晶体管(BJT)结构的复合型功率半导体器件,具有输入阻抗高、开关速度快、驱动功率小、饱和压降低、控制电路简单及承受电流大等优点。自20世纪80年代出现以来,涵盖了600~6500V的电压范围和1~3600A的电流范围,在低功耗、高可控性方面取得了巨大进步,被广泛应用于各种中、大功率电力电子装置中,是目前应用最为广泛的全控型电力电子器件。随着在交流调速、风力发电、高速电力机车等场合的应用日益广泛,IGBT的工作电压、电流等级也越来越高,同时工作环境更加恶劣,使用条件日益苛刻,对可靠性也提出了越来越严格的要求。为提高IGBT工作的可靠性,需要查明IGBT失效的内部机理,从而采取相应的措施,在设计阶段尽量做到合理安排与优化设计。
根据失效的部位不同,可将IGBT失效分为芯片失效和封装失效两类。引发IGBT芯片失效的原因有很多,如电源或负载波动、驱动或控制电路故障、散热装置故障、线路短路等,但最终的失效都可归结为电击穿和热击穿两种,其中电击穿失效的本质也是温度过高的热击穿失效。目前对IGBT芯片失效的研究主要集中在对引起失效的各种外部因素,如过电压、过电流、过温等进行分析上,而对失效的内部机理及过程仍缺乏深入的研究。
在现有的电力电子装置中,一般是基于经验和器件厂商提供的参数与曲线来进行IGBT安全工作区的设计,并且在应用中为了保证可靠性通常都留有较大的裕量。IGBT根据开通和关断两个过程分别定义了正偏和反偏安全工作区,其中主要由器件自身特性决定的最大工作电流和最大工作电压通常可由器件手册得到,而最大功耗极限由于与外部散热装置和器件自身热阻、动静态性能有关,器件手册给出在极端壳温、结温下的最大功耗值是一种理想的极限值,难以反映实际应用工况,若直接移植可能会造成设计不当。因此,基于对IGBT热失效机理和失效过程的准确认识,研究在工程应用中IGBT的极限功耗以指导器件脉冲电流、占空比、开关频率和散热装置等的准确设计。
目前,国内外对IGBT极限功耗研究的基本思想是基于稳态热阻计算公式,通过手册给定的最大结温以及适当降额来计算。国内方面,根据最大结温、热阻和极限功耗的关系研究了IGBT工作极限,属于极限功耗的指导应用;对通态极限电流和通态极限功耗进行了分析,指出通态极限功耗为最大结温所对应的功耗。国外方面,对IGBT的安全工作区进行了分析和无损测试;通过最大结温和安全区对IGBT电流极限进行了探讨,指出IGBT极限功耗对电流极限进行了限制;通过对IGBT开关功耗和导通功耗的简化计算采用热阻公式对结温进行了估算,并从最大结温角度分析了功耗的极限。综合现有国内外文献,对极限功耗的研究主要存在如下两点问题:①最大结温由器件手册给定,不能反应IGBT热失效本质;②器件热阻由器件手册或实验提取,几乎没有考虑稳态热阻随温度变化的效应,会给极限功耗带来较大的误差。
本文基于IGBT功耗以及结-壳稳态热阻的温度特性,联立IGBT功耗曲线与结-壳传热曲线进行热平衡分析得到了结温的稳定点、非稳定点以及临界点,得到了在临界点时IGBT极限功耗,分析了在非稳定点时IGBT热失效过程和失效机理,最后进行了实验验证。
1. 理论分析
IGBT热失效的原因有多种,比如散热装置不良、电流过大、浪涌电流冲击、短路电流冲击等,各种原因造成的IGBT热失效机理和失效模式并不相同。浪涌电流冲击和短路电流冲击是由于电流冲击产生的热量使芯片发生瞬时热过载,局部结温快速上升并达到丝化温度Tf而发生失效,通常由一个或若干个冲击周期内功耗引起的结温升与丝化温度的关系决定;散热不良和电流过大是由于产生的热量不能被完全散发出去而在内部形成热量累积使芯片温度持续上升,最终也是局部到达丝化温度Tf时发生失效,通常由连续周期内产生的功耗与耗散的功耗决定。本文以散热不良和电流过大的热失效作为分析对象,从热平衡角度得到IGBT极限功耗以及热失效机理。
1.1 IGBT热失效条件
单个IGBT芯片是由数以千计的元胞并联而成的,这些元胞具有共同的P+发射区和N-基区,但各自的栅极与P+集电区均相互独立。图1中点划线框内为穿通(PT)或场终止(FS)平面栅型IGBT的一个元胞结构,非穿通(NPT)型IGBT去掉了图中的N+缓冲层或场终止层,沟槽栅型将IGBT栅极垂直向下延伸到N-基区。
由IGBT工作机理可知,其开关和导通过程是通过载流子在基区不断的运动与复合形成的电子、空穴电流,产生的热量主要在J2结的N-外延层,即IGBT的有源基区。
在实际的反向PN结曲线中,由于空间电荷区的产生电流和表面漏电流的影响,反向电流会随着反向电压的增大而略有增大,表现出不饱和特性,且反向电流会随着温度的上升呈指数特征增加。当PN结反向偏压增加时,反向电流引起的热损耗导致结温上升,结温的升高又导致反向电流增大,如果冷却装置不能及时将热量传递出去,结温上升和反向电流的增加将会交替循环下去,最终PN结发生击穿,这种击穿是由热效应引起,称为热击穿。同样的原理,IGBT热失效机理也可从产生的热量与所能耗散的热量间的热平衡关系来进行分析。

图1 PT或FS型IGBT元胞结构
如果Pheat是IGBT产生的功率损耗,Pcool是可以通过封装和散热器最大限度的功率耗散,则IGBT发生热击穿条件的表达式为

如果该条件在一个固定的工作点上实施,结温会以指数规律快速升高,导致IGBT发生热击穿。
1.2 IGBT功耗的温度特性
IGBT通常工作于脉冲开关模式,其产生的功耗由导通功耗、开关功耗和断态功耗三部分组成。由于IGBT集电极漏电流在常温下很小,因此通常将断态功耗忽略不计,这在低温阶段时不会有问题,但在高温时会带来较大的计算误差。由于集电极漏电流在IGBT热击穿失效中起关键作用,下面对其进行分析。
从图1所示的IGBT元胞结构可以看出,集电极漏电流可以用J2结的反向电流来表示。考虑外加阻断电压和温度的影响,以及IGBT基区载流子热平衡时的大注入效应,IGBT集电极漏电流包含产生电流和扩散电流两部分,可表示为

式中,A为硅芯片有效发热结面积;q为电子电荷量;ni为本征载流子浓度;Dp为空穴扩散系数;NB为基区掺杂浓度;τp为基区少子空穴的寿命;τsc为空间电荷区中额外载流子的产生寿命;W为空间电荷区宽度。式中第一项是扩散电流,第二项是产生电流,均与ni有关,扩散电流由于与ni的二次方成正比,随温度的变化更为剧烈。
IGBT集电极漏电流与温度关系的典型曲线如图2所示。

图2 IGBT集电极漏电流与温度的关系
从图2可以看出,IGBT集电极漏电流在低温阶段很小且随温度变化也很小,几乎可以忽略不计,而在温度上升到某一拐点时开始明显增大,且随着温度的继续升高,表现为指数特征上升。这是由于随着温度的上升,IGBT集电极漏电流从以产生电流为主转为以扩散电流为主。
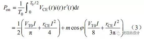
对于工程应用中常见的正弦脉宽双极调制的两电平H桥逆变电路,IGBT部分的导通功耗为

式中,τ´(t)为逆变桥输出的占空比(导通时为1,关断时为0);T0为负载电流周期;m为调制比;cosϕ为负载功率因数;I为负载电流峰值;VCE(t)=VT0+rCEi(t)为IGBT导通压降的线性化表示;VT0为门槛电压;rCE为导通时的斜率电阻,通常在工作电流点附近选取。
由于VT0和rCE与温度近似呈线性关系,可认为导通功耗随温度近似呈线性关系增加。
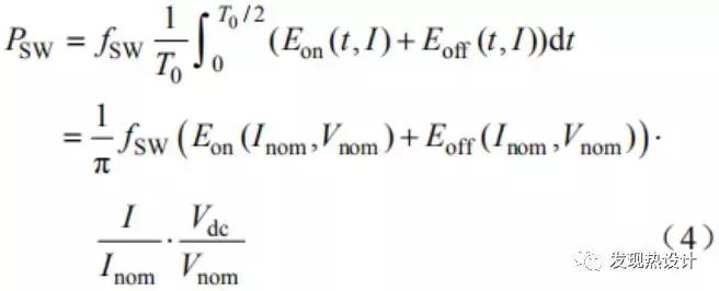
IGBT部分的开关功耗为

式中,fsw为开关频率;Eon(Inom,Vnom)和Eoff(Inom,Vnom)为器件手册中给定电流Inom、电压Vnom条件下的开通能量和关断能量;Vdc为直流电压。
由于开通和关断能量在常用工作点附近与温度近似呈线性关系,可认为开关功耗随温度近似呈线性关系增加。
IGBT部分的断态功耗为

由IGBT集电极漏电流的温度特性,可知断态功耗在低温阶段很小,几乎可以忽略不计,而在高温阶段随温度呈指数关系上升,因此不可忽略。
将式(3)~式(5)相加并考虑温度的影响,得到IGBT功耗为

综上分析,IGBT功耗在低温阶段主要由导通功耗和开关功耗组成而与温度近似呈正线性关系,而在高温阶段加上断态功耗后随温度呈指数特征上升。
1.3 IGBT传热特性分析
IGBT一般采用模块封装的形式,加上散热装置的剖面,其结构如图3所示。

图3 IGBT模块结构剖面
IGBT模块封装中各物理层是由多种不同材料组成,从芯片到管壳的结-壳热阻由IGBT热网络传热模型得到[20],每层等效材料的热阻可表示为

式中,di为垂直热传导方向层的厚度;Ai为上一层通过热传导流过该层的有效传热面积;λi为材料的导热系数。
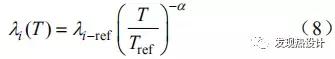
导热系数是温度的函数,与温度存在关系表示为

式中,λi-ref为参考温度Tref对应的导热系数;α为材料的物性系数,由材料本身决定,对硅材料α=4/3。
各种材料的导热系数与温度的关系一般为二次方或三次方关系,工程上为计算方便,将曲线关系回归成线性关系。对实验中型号为GD50HFL120C1S的IGBT模块,将不同温度时各层导热系数代入式(7)得到各层材料的热阻,取各层热阻之和得到在几个温度点下IGBT模块结-壳稳态热阻估算值见表1。由表1可知,结-壳稳态热阻随温度升高而增大。
表1 不同温度时IGBT模型结-壳材料热阻估算值

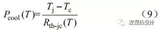
IGBT开关工作时,其内部硅芯片产生的热量大部分经过芯片下方的直接覆铜层(DBC)传递到基板,再通过散热装置向周围环境传递出去。当散走的热量与产生的热量相等时,系统达到热平衡状态,各部分温度保持稳定。对于一个由IGBT模块、散热装置和冷却介质构成的确定组合,其稳态传热功耗可表示为

式中,Rth-jc(T)为结-壳稳态热阻;Tj为结温;Tc为壳温。
式(9)的前提条件是系统已进入热平衡状态,各部分已建立稳态的温度分布。如果功率耗散发生变化的时间小于建立稳态所需的时间,即还未到达热平衡状态时,热容便会影响热量的传导,此时必须要用瞬态热阻抗来描述结温的变化。由于瞬态热阻抗小于稳态热阻抗,且随着时间的变化逐渐逼近稳态热阻抗,因此瞬时壳温也总是小于稳态时的壳温,且随着时间的变化逐渐逼近稳态值,当到达热平衡状态后,各部分温度基本保持不变。
1.4 IGBT热平衡分析
将IGBT功耗曲线和结-壳传热曲线绘制在同一坐标系下如图4所示,其中Pheat为IGBT功耗的温度曲线,Pcool为IGBT结-壳传热功耗的温度曲线,横坐标为温度,纵坐标为功耗。

图4 IGBT热平衡分析示意图
从图4可以看出,随着温度的升高,IGBT功耗曲线Pheat由线性上升变为呈指数特征上升,而结-壳传热功耗曲线Pcool的斜率1/Rth-jc逐渐变小。因此,两条曲线随温度的变化趋势不同,表现出背对背的关系。当由IGBT电气条件发生改变引起功耗发生变化时,曲线Pheat将上下移动;当由散热装置发生改变引起壳温发生变化时,曲线Pcool将左右移动。
联立IGBT功耗曲线Pheat和结-壳传热功耗曲线Pcool进行热平衡分析。假设散热装置能力的下降引起Tc增大,到达热平衡时的传热曲线Pcool向Tj轴正方向平移,分别与IGBT功耗曲线Pheat相交、相切和无交点。
若Pheat与Pcool相交于A和B两点,则有:
(1)在第一个交点A以下,有Pheat>Pcool,表示IGBT功耗大于散热装置所能带走的功耗,Tj将持续上升至A点,此时Pheat=Pcool,IGBT达到热平衡并将保持温度稳定,A点为热稳定点。
(2)在A点和第二个交点B之间,有Pcool>Pheat,表示IGBT功耗小于散热装置所能带走的功耗,Tj将下降回到平衡点A。
(3)在B点以上,有Pheat>Pcool,表示IGBT功耗大于散热装置所能带走的功耗,Tj将上升且无法再次达到热平衡。
因此,A点为IGBT结温的稳定工作点,B点为IGBT结温的非稳定点。
若将Pcool曲线向Tj轴正方向平移到与Pheat曲线相切时,A点与B点重合于C点,此时系统处于临界热平衡状态,C点对应的功耗值Pheat即为在壳温Tc下的IGBT极限功耗点。
IGBT极限功耗与外部散热装置密切相关,而在进行IGBT模块的热设计时,通常是以监测壳温Tc为手段,一般会设计一个最大壳温值,当达到预设值时会报警动作。因此,如果已知最大壳温值,
就可得到结-壳稳态传热的温度曲线Pcool。而IGBT功耗通常由具体的电气条件来计算,包括直流电压、负载电流、负载功率因数、调制比、开关频率、负载电流频率等,在已知若干条件对某一参数进行设计时,即可采用IGBT极限功耗。首先,对未知参数进行初始赋值计算得到IGBT功耗的温度特性曲线;其次,联立在极限壳温时结-壳稳态传热的温度曲线Pcool(Tc-max)进行热平衡分析;再次,根据热平衡分析结果调整未知参数赋值,直到两条曲线发生相切,得到相切时IGBT极限功耗以及参数设计的极值;最后,考虑器件自身参数极限以及可靠性对参数进行合理设计。
若将Pcool曲线继续向Tj轴正方向平移到与Pheat曲线无交点时,表示没有可稳定工作的结温点,即不能到达热平衡状态,IGBT结温将持续上升直至发生热击穿失效。
1.5 IGBT热失效机理
由图4热平衡分析可知,T1为IGBT可稳定工作的结温点,T2为热非稳定点,均与IGBT的功耗、热阻以及散热条件等有关。当IGBT结温在T1点附近波动时,由IGBT功耗与传热功耗的温度曲线关系,IGBT均能再次达到热平衡并保持结温稳定。而一旦结温波动达到或超出非稳定点T2,IGBT结温将会上升使得IGBT功耗与传热功耗间的不平衡关系进一步加剧,结温和功耗将进入持续上升的正反馈状态,这种现象称为热奔。随着IGBT结温的持续上升,芯片内宽基区PN结的局部电流密度增大,电流被吸取到这个温度最高的区域中,当某一点的温度到达丝化温度Tf时,局部的载流子产生率就很容易增大几个数量级,于是IGBT芯片内部PN结就会被一块称为中等离子体的细丝状高电导本征半导体有效旁路,导致芯片发生局部热击穿失效。
热奔的存在为IGBT设定了工作条件上的限制,为能保持热平衡状态,除了要求Pheat=Pcool外,还要求IGBT产生的功耗随温度的增量必须小于结-壳传热的增量,即

式中,Tjc表示结-壳温度差。
因此,IGBT热失效机理为:当IGBT产生的热量增量大于所能散发的热量增量时,在芯片有源区将形成热量累积导致结温上升,结温上升又会导致热非平衡状态加剧,结温和热量之间形成一种正反馈关系,结温持续上升导致局部发生热击穿。
2. 实验验证
实验验证的方法:在IGBT连续脉冲工作模式下,通过调节散热装置的能力得到发生热失效时的壳温;再分别计算IGBT的导通功耗、开关功耗和断态功耗随温度的变化关系,相加得到IGBT功耗的温度曲线,然后联立结-壳传热的温度曲线进行热平衡分析,得到两条曲线发生相切时的壳温,最后将该壳温与实验得到的壳温进行比较。
所选IGBT型号为GD50HFL120C1S,其额定电压和直流电流分别为1200V和50A,是一种软穿通型的两单元半桥模块。实验采用两电平单相H桥逆变电路,负载为阻感负载。通过前期实验电路调整以及散热装置实际情况,为达到实验目的和较好的效果,最终选定电路条件为:直流电压600V,负载电流有效值75A,负载功率因数0.9,调制比0.9,开关频率5kHz,负载电流频率20Hz。IGBT功耗的温度曲线由式(6)考虑温度的影响得到。
实验中,将IGBT模块固定在可大范围调节水流速度的水冷散热底板上,测量壳温的热电偶布置在工作芯片的垂直正下方。初始采用大的水流速度,IGBT工作一段时间后到达热平衡状态,壳温上升到最大值后保持稳定。然后调节减小水流速度,壳温会上升并重新到达稳定。继续调节减小水流速度,稳定后的壳温值逐渐升高,直到IGBT发生失效。记录发生失效时的壳温,得到壳温的极限值。重复多组实验得到发生失效时的平均壳温为97℃。
将IGBT功耗的温度曲线与结-壳传热功耗的温度曲线绘制在同一坐标下如图5所示,其中传热功耗曲线中实线对应的壳温Tc1为IGBT发生失效时的实验值,虚线对应的壳温Tc2为与IGBT功耗曲线相切时的计算值。

图5 IGBT热平衡分析曲线
在图5中,两条曲线相切时的壳温计算值Tc2约为101℃,略大于壳温实验值Tc1=97℃,误差产生的原因主要有:
(1)结-壳传热功耗曲线只计算了基板传导散热,实际上还有引线传热及对流与辐射散热。
(2)IGBT处于热平衡状态时,结温并不是保持恒定,而是围绕平均结温作等幅波动,峰值结温可先达到热非稳定点。
(3)热偶测量壳温具有延时性,测量值实际上是失效前一时刻所对应的壳温,要略低于实际发生失效时刻的壳温。
(4)在温度处理过程中IGBT功耗的误差。因此,由实验得到的发生失效时壳温基本与理论计算得到的临界壳温相一致,验证了IGBT热平衡分析的失效机理。
3. 结论
1)IGBT极限功耗由IGBT功耗的温度曲线与结-壳稳态传热功耗的温度曲线相切时的切点,即临界点对应的功耗得到,由此可对IGBT电气参数进行合理优化设计。
2)IGBT可在结温稳定点附近保持热平衡状态,一旦到达非稳定点,IGBT结温和功耗会形成正反馈导致结温持续上升,直至发生热击穿失效。